基于卷积神经网络的天基预警雷达杂波抑制方法

段克清 李想 行坤 王永良

段克清, 李想, 行坤, 等. 基于卷积神经网络的天基预警雷达杂波抑制方法[J]. 雷达学报, 2022, 11(3): 386–398. doi: 10.12000/JR21161
引用本文: 段克清, 李想, 行坤, 等. 基于卷积神经网络的天基预警雷达杂波抑制方法[J]. 雷达学报, 2022, 11(3): 386–398. doi: 10.12000/JR21161
DUAN Keqing, LI Xiang, XING Kun, et al. Clutter mitigation in space-based early warning radar using a convolutional neural network[J]. Journal of Radars, 2022, 11(3): 386–398. doi: 10.12000/JR21161
Citation: DUAN Keqing, LI Xiang, XING Kun, et al. Clutter mitigation in space-based early warning radar using a convolutional neural network[J]. Journal of Radars, 2022, 11(3): 386–398. doi: 10.12000/JR21161

基于卷积神经网络的天基预警雷达杂波抑制方法

DOI: 10.12000/JR21161 CSTR: 32380.14.JR21161
基金项目: 国家自然科学基金(61871397)
详细信息
    作者简介:

    段克清(1981–),男,河北石家庄人,2010年获国防科技大学信号与信息处理专业博士学位,现为中山大学电子与通信工程学院副教授。获国家技术发明二等奖和部委科技进步一等奖各1项,在IEEE Transaction on AES, IEEE Transaction on AC和中国科学等期刊与会议发表论文80余篇(SCI收录28篇)。IEEE会员,中国电子学会高级会员。主要研究方向包括空时自适应处理、机载/星载雷达信号处理和阵列信号处理等

    李 想(1997–),男,广东茂名人,现为中山大学电子与通信工程学院在读硕士生。主要研究方向包括阵列信号处理、空时自适应处理和深度学习等

    行 坤(1980–),男,陕西西安人,2006年获西安电子科技大学信号与信息处理专业硕士学位,现为中国科学院空天信息创新研究院副研究员,中国科学院大学硕士生导师。主要研究方向包括机载多功能雷达、地基监视雷达系统总体设计与性能仿真和动目标检测与跟踪技术等

    王永良(1965–),男,浙江嘉兴人,中国科学院院士,空军预警学院教授、博士生导师。主要研究方向包括空时自适应处理、雷达信号处理和阵列信号处理等

    通讯作者:

    王永良 ylwangkjld@163.com

  • 责任主编:廖桂生 Corresponding Editor: LIAO Guisheng
  • 中图分类号: TN957.51

Clutter Mitigation in Space-based Early Warning Radar Using a Convolutional Neural Network

Funds: The National Natural Science Foundation of China (61871397)
More Information
  • 摘要: 利用天基预警雷达实现动目标指示具有重要的军事应用价值。对于天基预警雷达,其平台高速运动及受地球自转影响导致杂波复杂非平稳性,更大的波束照射区域带来更严重的杂波非均匀性,从而导致适用于机载预警雷达的传统空时自适应处理(STAP)方法无法直接应用。针对上述问题,该文分析了天基预警雷达杂波分布特性,并构建了基于卷积神经网络(CNN)超分辨谱估计的STAP处理框架。首先,利用雷达系统和卫星轨道参数,仿真随机生成不同纬度、距离门、阵元误差、杂波起伏和地貌散射系数的回波数据集;然后,设计并调优了含5个权重层的二维CNN,实现由小样本所估低分辨杂波谱到高分辨谱的非线性映射;最后,基于高分辨空时谱构造空时滤波器实现杂波抑制和目标检测。仿真实验验证所提方法在小样本条件下可实现次最优杂波抑制性能,同时所需在线运算量远低于现有稀疏超分辨类方法,因此适用于天基预警雷达实际应用。

     

  • 图  1  天基预警雷达几何坐标系

    Figure  1.  Space-based early warning radar viewing geometry

    图  2  天基预警雷达杂波分布曲线

    Figure  2.  Clutter distribution of space-based early warning radar

    图  3  所提CNN模型结构

    Figure  3.  Structure of our CNN

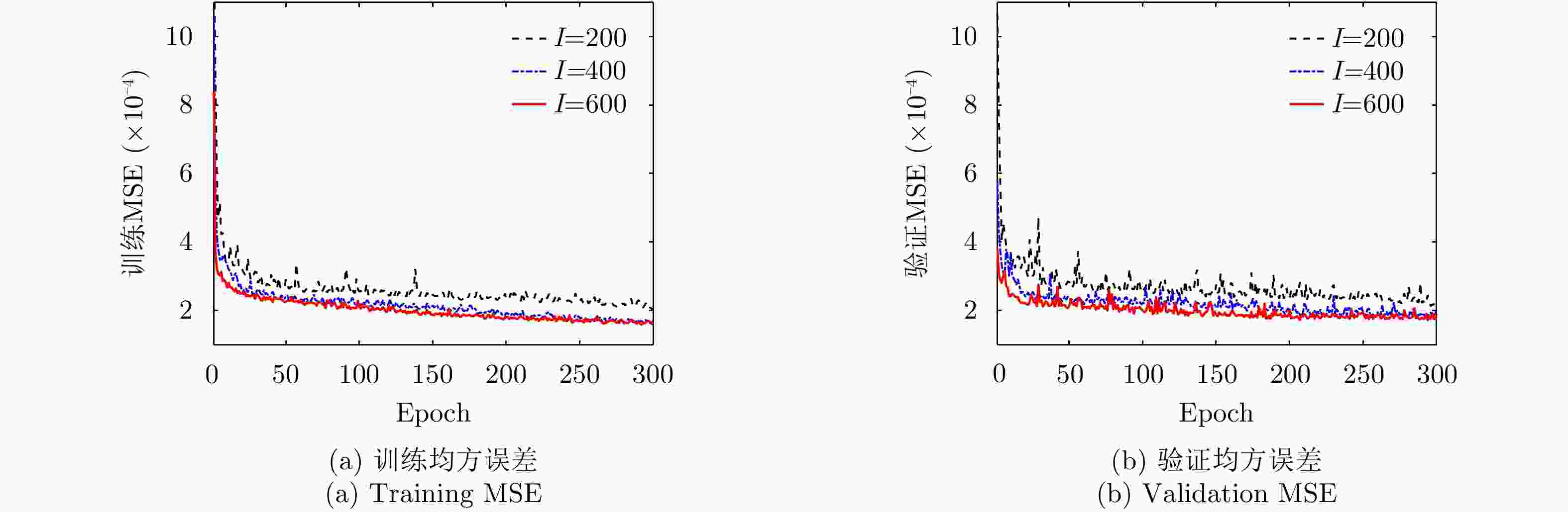
    图  4  网络训练收敛性分析

    Figure  4.  Convergence analysis of our CNN

    图  5  高分辨空时谱对比结果

    Figure  5.  Comparison of high-resolution angle-Doppler spectra

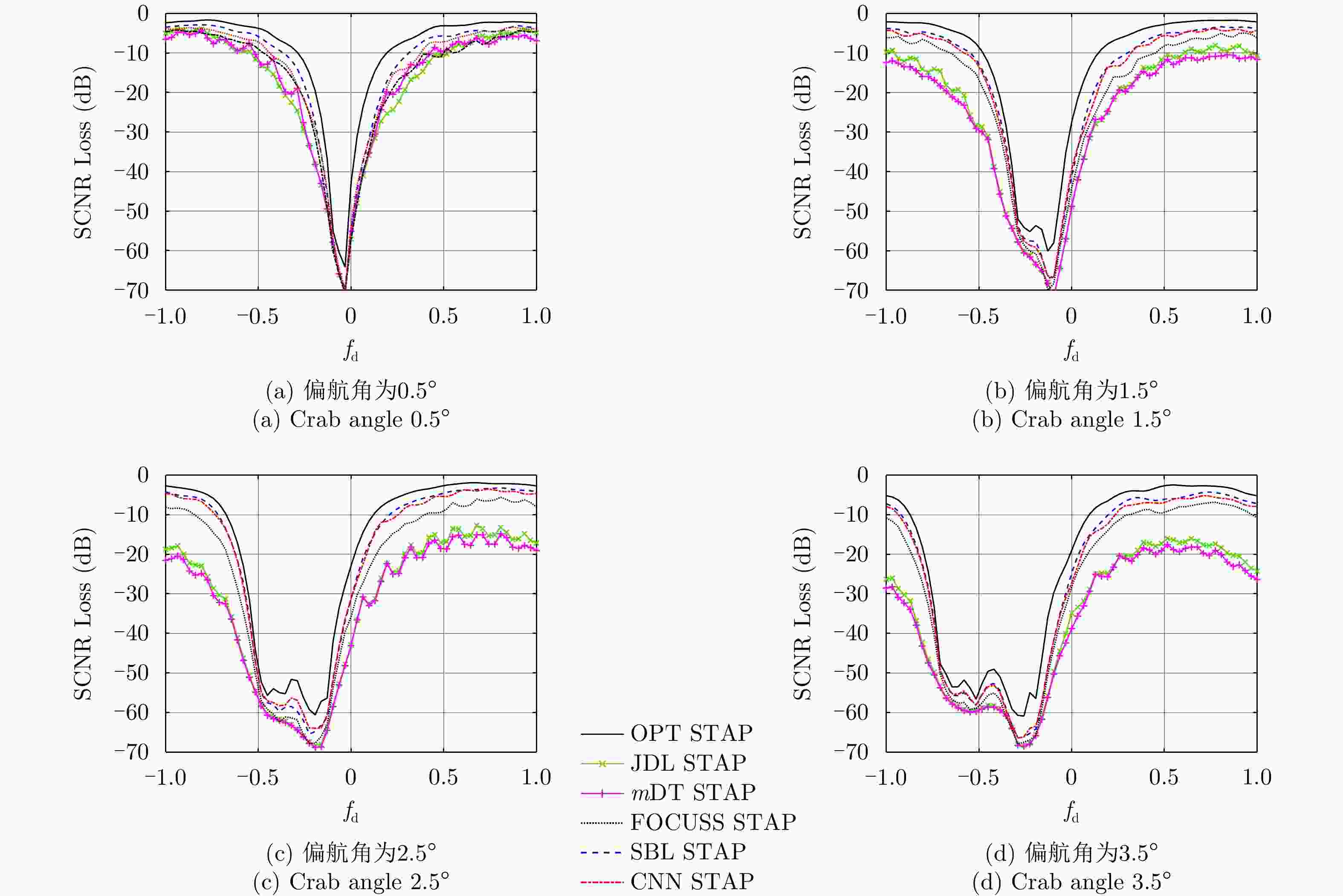
    图  6  各方法信杂噪比损失曲线对比

    Figure  6.  Comparison of SCNR Loss curves

    图  7  相对平均SCNR Loss对比结果

    Figure  7.  Comparison of relative average SCNR Loss

    图  8  运算复杂度对比结果

    Figure  8.  Comparison of computational complexity

    表  1  仿真参数

    Table  1.   Parameters of simulation

    参数数值
    卫星轨道506 km
    卫星轨道倾角70o
    卫星速度7610 m/s
    天线尺寸50 m×2 m
    阵元数384×12
    合成通道数32×1
    工作频率1250 MHz
    带宽3 MHz
    主波束方位角90o
    主波束俯仰角–30o
    脉冲重复频率10000 Hz
    相参脉冲数16
    峰值辐射功率25 kW
    系统损耗8 dB
    下载: 导出CSV

    表  2  稳定性分析

    Table  2.   Stability analysis

    方法 ≤1 dB≤3 dB≤5 dB≤7 dB≤9 dB
    FOCUSS STAP5.4%35.0%70.0%87.0%94.8%
    SBL STAP44.0%85.2%90.0%97.8%98.0%
    CNN STAP32.2%73.6%84.8%92.0%96.3%
    下载: 导出CSV

    表  3  运算复杂度分析

    Table  3.   Analysis of computational complexity

    方法 运算复杂度
    FOCUSS STAP$\begin{aligned} & {O}\left(\left(NM{N}_{\mathrm{s} }{N}_{\mathrm{d} }+{\left(NM\right)}^{3}+2{\left(NM\right)}^{2}{N}_{\mathrm{s} }{N}_{\mathrm{d} }\right.\right.\\& \left.\left.+NM{\left({N}_{\mathrm{s} }{N}_{\mathrm{d} }\right)}^{2}\right){k}_{\mathrm{F}\mathrm{O}\mathrm{C} }\right)\end{aligned}$
    SBL STAP$\begin{aligned} & {O}\left(\left(NM{N}_{\mathrm{s} }{N}_{\mathrm{d} }+{\left(NM\right)}^{3}+3{\left(NM\right)}^{3}{N}_{\mathrm{s} }{N}_{\mathrm{d} }\right.\right.\\& \left.\left.+2NM{\left({N}_{\mathrm{s} }{N}_{\mathrm{d} }\right)}^{2}\right){k}_{\mathrm{S}\mathrm{B}\mathrm{L} }\right)\end{aligned}$
    CNN STAP${O}\left(28777{N}_{\mathrm{s} }{N}_{\mathrm{d} }\right)$
    下载: 导出CSV

    表  4  运行时间比较

    Table  4.   Comparison of running time

    方法离线时间(s)在线时间(s)
    FOCUSS STAP030.84
    SBL STAP033.02
    CNN STAP54810.013
    下载: 导出CSV
  • [1] 林幼权, 武楠. 天基预警雷达[M]. 北京: 国防工业出版社, 2017: 1–2.

    LIN Youquan and WU Nan. Space Based Early Warning Radar[M]. Beijing: National Defense Industry Press, 2017: 1–2.
    [2] HOVANESSIAN S A, JOCIC L B, and LOPEZ J M. Spaceborne radar design equations and concepts[C]. 1997 IEEE Aerospace Conference, Snowmass, USA, 1997: 125–136. doi: 10.1109/AERO.1997.574402.
    [3] DAVIS M E. Technology challenges in affordable space based radar[C]. Record of the IEEE 2000 International Radar Conference, Alexandria, USA, 2000: 18–23. doi: 10.1109/RADAR.2000.851798.
    [4] ROSEN P A and DAVIS M E. A joint space-borne radar technology demonstration mission for NASA and the air force[C]. 2003 IEEE Aerospace Conference Proceedings, Big Sky, USA, 2003: 1–444. doi: 10.1109/AERO.2003.1235073.
    [5] 左群声, 林幼权, 王友林. 天基预警雷达探测系统的发展[J]. 电子科学技术评论, 2004(3): 20–22, 19. doi: 10.3969/j.issn.1673-5692.2004.03.004

    ZUO Qunsheng, LIN Youquan, and WANG Youlin. The development of space-based early warning radar system[J]. Review of Electronics Science and Technology, 2004(3): 20–22, 19. doi: 10.3969/j.issn.1673-5692.2004.03.004
    [6] 朱庆明, 金术玲, 孟祥玲. 国外天基预警雷达系统发展现状及关键技术[J]. 电讯技术, 2012, 52(6): 1054–1058. doi: 10.3969/j.issn.1001-893x.2012.06.047

    ZHU Qingming, JIN Shuling, and MENG Xiangling. Current developments and key technologies of foreign space-based warning radars[J]. Telecommunication Engineering, 2012, 52(6): 1054–1058. doi: 10.3969/j.issn.1001-893x.2012.06.047
    [7] 陈荣. 美国天基预警雷达系统发展[J]. 国防科技, 2014, 35(2): 76–83. doi: 10.3969/j.issn.1671-4547.2014.02.019

    CHEN Rong. Study of American space-based warning radar system development[J]. National Defense Science &Technology, 2014, 35(2): 76–83. doi: 10.3969/j.issn.1671-4547.2014.02.019
    [8] 李青, 林幼权, 武楠. 美国天基预警雷达发展历程及现状分析[J]. 现代雷达, 2018, 40(1): 7–10. doi: 10.16592/j.cnki.1004-7859.2018.01.002

    LI Qing, LIN Youquan, and WU Nan. Analysis of development history and status for American space-base early warning radar[J]. Modern Radar, 2018, 40(1): 7–10. doi: 10.16592/j.cnki.1004-7859.2018.01.002
    [9] BRENNAN L E and REED L S. Theory of adaptive radar[J]. IEEE Transactions on Aerospace and Electronic Systems, 1973, AES-9(2): 237–252. doi: 10.1109/TAES.1973.309792
    [10] KOGON S M, RABIDEAU D J, and BARNES R M. Clutter mitigation techniques for space-based radar[C]. 1999 IEEE International Conference on Acoustics, Speech, and Signal Processing, Phoenix, USA, 1999: 2323–2326. doi: 10.1109/ICASSP.1999.758403.
    [11] SCHUMAN H M, LI P G, SZCZEPANSKI W, et al. Space-time adaptive processing for space based radar[C]. 2004 IEEE Aerospace Conference Proceedings, Big Sky, USA, 2004: 1904–1910. doi: 10.1109/AERO.2004.1367973.
    [12] PILLAI S, HIMED B, and LI Keyong. Effect of earth’s rotation and range foldover on space-based radar performance[J]. IEEE Transactions on Aerospace and Electronic Systems, 2006, 42(3): 917–932. doi: 10.1109/TAES.2006.248188
    [13] REED I D, MALLETT J D, and BRENNAN L E. Rapid convergence rate in adaptive arrays[J]. IEEE Transactions on Aerospace and Electronic Systems, 1974, AES-10(6): 853–863. doi: 10.1109/TAES.1974.307893
    [14] ZULCH P, DAVIS M, ADZIMA L, et al. The earth rotation effect on a LEO L-Band GMTI SBR and mitigation strategies[C]. 2004 IEEE Radar Conference, Philadelphia, USA, 2004: 27–32. doi: 10.1109/NRC.2004.1316390.
    [15] LI Keyong, MANGIAT S, ZULCH P, et al. Clutter impacts on space based radar GMTI: A global perspective[C]. 2007 IEEE Aerospace Conference, Big Sky, USA, 2007: 1–15. doi: 10.1109/AERO.2007.353071.
    [16] ZULCH P A, HANCOCK R H, MORAN W, et al. Transmit waveform diversity for space based radar[C]. 2016 IEEE Aerospace Conference, Big Sky, USA, 2006: 10–16. doi: 10.1109/AERO.2006.1655932.
    [17] PAGE D A, HIMED B, and DAVIS M E. Improving STAP performance in bistatic space-based radar systems using an efficient expectation-maximization technique[C]. 2005 IEEE International Radar Conference, Arlington, USA, 2005: 109–114. doi: 10.1109/RADAR.2005.1435803.
    [18] PAGE D A, HIMED B, and DAVIS M E. Higher order clutter mitigation in bistatic space-based radar systems using a knowledge-aided STAP approach[C]. 2006 IEEE Conference on Radar, Verona, USA, 2006: 459–464. doi: 10.1109/RADAR.2006.1631840.
    [19] 郁文贤, 张增辉, 胡卫东. 基于频率非均匀采样杂波谱配准的天基雷达STAP方法[J]. 电子与信息学报, 2009, 31(2): 358–362. doi: 10.3724/SP.J.1146.2007.01244

    YU Wenxian, ZHANG Zenghui, and HU Weidong. STAP method for space based radar based on spectrum registration with non-uniformed frequency samples[J]. Journal of Electronics &Information Technology, 2009, 31(2): 358–362. doi: 10.3724/SP.J.1146.2007.01244
    [20] HALE T B, TEMPLE M A, and WICKS M C. Clutter suppression using elevation interferometry fused with space-time adaptive processing[J]. Electronics Letters, 2001, 37(12): 793–794. doi: 10.1049/el:20010494
    [21] HALE T B, TEMPLE M A, RAQUET J F, et al. Localised three-dimensional adaptive spatial-temporal processing for airborne radar[J]. IEE Proceedings - Radar, Sonar and Navigation, 2003, 150(1): 18–22. doi: 10.1049/ip-rsn:20030075
    [22] MENG Xiangdong, WANG Tong, Wu Jianxin, et al. Short-range clutter suppression for airborne radar by utilizing prefiltering in elevation[J]. IEEE Geoscience and Remote Sensing Letters, 2009, 6(2): 268–272. doi: 10.1109/LGRS.2008.2012126
    [23] SHEN M, MENG X, and ZHANG L. Efficient adaptive approach for airborne radar short-range clutter suppression[J]. IET Radar, Sonar & Navigation, 2012, 6(9): 900–904. doi: 10.1049/iet-rsn.2011.0359
    [24] Wu J X, WANG Tong, Meng X D, et al. Clutter suppression for airborne non-sidelooking radar using ERCB-STAP algorithm[J]. IET Radar, Sonar & Navigatition, 2010, 4(4): 497–506. doi: 10.1049/iet-rsn.2009.0121.
    [25] DUAN Keqing, XU Hong, YUAN Huadong, et al. Reduced-DOF three-dimensional STAP via subarray synthesis for nonsidelooking planar array airborne radar[J]. IEEE Transactions on Aerospace and Electronic Systems, 2020, 56(4): 3311–3325. doi: 10.1109/TAES.2019.2958174
    [26] SARKAR T K, WANG Hong, PARK S, et al. A deterministic least-squares approach to space-time adaptive processing (STAP)[J]. IEEE Transactions on Antennas and Propagation, 2001, 49(1): 91–103. doi: 10.1109/8.910535
    [27] MELVIN W, WICKS M, ANTONIK P, et al. Knowledge-based space-time adaptive processing for airborne early warning radar[J]. IEEE Aerospace and Electronic Systems Magazine, 1998, 13(4): 37–42. doi: 10.1109/62.666835
    [28] BERGIN J S, TEIXEIRA C M, TECHAU P M, et al. Improved clutter mitigation performance using knowledge-aided space-time adaptive processing[J]. IEEE Transactions on Aerospace and Electronic Systems, 2006, 42(3): 997–1009. doi: 10.1109/TAES.2006.248194
    [29] WU Yong, TANG Jun, and PENG Yingning. On the essence of knowledge-aided clutter covariance estimate and its convergence[J]. IEEE Transactions on Aerospace and Electronic Systems, 2011, 47(1): 569–585. doi: 10.1109/TAES.2011.5705692
    [30] LI Jian, ZHU Xumin, STOICA P, et al. High resolution angle-Doppler imaging for MTI radar[J]. IEEE Transactions on Aerospace and Electronic Systems, 2010, 46(3): 1544–1556. doi: 10.1109/TAES.2010.5545209
    [31] SUN Ke, MENG Huadong, WANG Yongliang, et al. Direct data domain STAP using sparse representation of clutter spectrum[J]. Signal Processing, 2011, 91(9): 2222–2236. doi: 10.1016/j.sigpro.2011.04.006
    [32] SEN S. OFDM radar space-time adaptive processing by exploiting spatio-temporal sparsity[J]. IEEE Transactions on Signal Processing, 2013, 61(1): 118–130. doi: 10.1109/TSP.2012.2222387
    [33] YANG Xiaopeng, SUN Yuze, ZENG Tao, et al. Fast STAP method based on PAST with sparse constraint for airborne phased array radar[J]. IEEE Transactions on Signal Processing, 2016, 64(17): 4550–4561. doi: 10.1109/TSP.2016.2569471
    [34] YANG Zhaocheng, DE LAMARE R C, and LIU Weijian. Sparsity-based STAP using alternating direction method with gain/phase errors[J]. IEEE Transactions on Aerospace and Electronic Systems, 2017, 53(6): 2756–2768. doi: 10.1109/TAES.2017.2714938
    [35] DUAN Keqing, WANG Zetao, XIE Wenchong, et al. Sparsity-based STAP algorithm with multiple measurement vectors via sparse Bayesian learning strategy for airborne radar[J]. IET Signal Processing, 2017, 11(5): 544–553. doi: 10.1049/iet-spr.2016.0183
    [36] HINTON G E and SALAKHUTDINOV R R. Reducing the dimensionality of data with neural networks[J]. Science, 2016, 313(5786): 504–507. doi: 10.1126/science.1127647
    [37] HINTON G E, OSINDERO S, and TEH Y W. A fast learning algorithm for deep belief nets[J]. Neural Computation, 2006, 18(7): 1527–1554. doi: 10.1162/neco.2006.18.7.1527
    [38] KRIZHEVSKY A, SUTSKEVER I, and HINTON G E. ImageNet classification with deep convolutional neural networks[C]. The 25th International Conference on Neural Information Processing Systems, Lake Tahoe, USA, 2012: 1097–1105. doi: 10.5555/2999134.2999257.
    [39] DONG Chao, LOY C C, HE Kaiming, et al. Learning a deep convolutional network for image super-resolution[C]. The 13th European Conference on Computer Vision, Zurich, Switzerland, 2014: 184–199. doi: 10.1007/978-3-319-10593-2_13.
    [40] DONG Chao, LOY C C, HE Kaiming, et al. Image super-resolution using deep convolutional networks[J]. IEEE Transactions on Pattern Analysis and Machine Intelligence, 2016, 38(2): 295–307. doi: 10.1109/TPAMI.2015.2439281
    [41] RONNEBERGER O, FISCHER P, and BROX T. U-Net: Convolutional networks for biomedical image segmentation[C]. The 18th International Conference on Medical Image Computing and Computer-Assisted Intervention, Munich, Germany, 2015: 234–241. doi: 10.1007/978-3-319-24574-4_28.
    [42] JIN K H, MCCANN M T, FROUSTEY E, et al. Deep convolutional neural network for inverse problems in imaging[J]. IEEE Transactions on Image Processing, 2017, 26(9): 4509–4522. doi: 10.1109/TIP.2017.2713099
    [43] MELVIN W L and SHOWMAN G A. An approach to knowledge-aided covariance estimation[J]. IEEE Transactions on Aerospace and Electronic Systems, 2006, 42(3): 1021–1042. doi: 10.1109/TAES.2006.248216
    [44] 段克清, 袁华东, 许红, 等. 稀疏恢复空时自适应处理技术研究综述[J]. 电子学报, 2019, 47(3): 748–756. doi: 10.3969/j.issn.0372-2112.2019.03.033

    DUAN Keqing, YUAN Huadong, XU Hong, et al. An overview on sparse recovery space-time adaptive processing technique[J]. Acta Electronica Sinica, 2019, 47(3): 748–756. doi: 10.3969/j.issn.0372-2112.2019.03.033
    [45] 陆军, 郦能敬, 曹晨, 等. 预警机系统导论[M]. 2版. 北京: 国防工业出版社, 2011: 158–160.

    LU Jun, LI Nengjing, CAO Chen, et al. Introduction to Airborne Early Warning System[M]. 2nd ed. Beijing: National Defense Industry Press, 2011: 158–160.
  • 加载中
图(8) / 表(4)
计量
  • 文章访问数: 
  • HTML全文浏览量: 
  • PDF下载量: 
  • 被引次数: 0
出版历程
  • 收稿日期:  2021-10-30
  • 修回日期:  2021-12-18
  • 网络出版日期:  2022-01-11
  • 刊出日期:  2022-06-28

目录

    /

    返回文章
    返回