2024年 13卷 第5期
2024, 13(5): 941-954.
摘要:
三维合成孔径雷达在测绘制图、防灾减灾等诸多领域有应用潜力,已经成为SAR的重要研究方向。为减少三维SAR的观测次数或天线阵元数量,推动三维SAR的应用和发展,中国科学院空天信息创新研究院牵头研制了微波视觉三维SAR实验系统,旨在为微波视觉SAR三维成像提供实验平台和数据。该文针对微波视觉三维SAR实验系统及其全极化数据处理方法进行介绍,涵盖了极化校正、极化相干增强、极化约束三维成像、三维融合可视化等全流程的关键步骤。基于发布的SAR微波视觉三维成像全极化数据集,给出了三维成像结果示例,验证了微波视觉三维SAR实验系统的全极化性能以及处理方法的有效性。该文发布的数据集将为SAR三维成像研究提供良好的数据条件。 三维合成孔径雷达在测绘制图、防灾减灾等诸多领域有应用潜力,已经成为SAR的重要研究方向。为减少三维SAR的观测次数或天线阵元数量,推动三维SAR的应用和发展,中国科学院空天信息创新研究院牵头研制了微波视觉三维SAR实验系统,旨在为微波视觉SAR三维成像提供实验平台和数据。该文针对微波视觉三维SAR实验系统及其全极化数据处理方法进行介绍,涵盖了极化校正、极化相干增强、极化约束三维成像、三维融合可视化等全流程的关键步骤。基于发布的SAR微波视觉三维成像全极化数据集,给出了三维成像结果示例,验证了微波视觉三维SAR实验系统的全极化性能以及处理方法的有效性。该文发布的数据集将为SAR三维成像研究提供良好的数据条件。
三维合成孔径雷达在测绘制图、防灾减灾等诸多领域有应用潜力,已经成为SAR的重要研究方向。为减少三维SAR的观测次数或天线阵元数量,推动三维SAR的应用和发展,中国科学院空天信息创新研究院牵头研制了微波视觉三维SAR实验系统,旨在为微波视觉SAR三维成像提供实验平台和数据。该文针对微波视觉三维SAR实验系统及其全极化数据处理方法进行介绍,涵盖了极化校正、极化相干增强、极化约束三维成像、三维融合可视化等全流程的关键步骤。基于发布的SAR微波视觉三维成像全极化数据集,给出了三维成像结果示例,验证了微波视觉三维SAR实验系统的全极化性能以及处理方法的有效性。该文发布的数据集将为SAR三维成像研究提供良好的数据条件。 三维合成孔径雷达在测绘制图、防灾减灾等诸多领域有应用潜力,已经成为SAR的重要研究方向。为减少三维SAR的观测次数或天线阵元数量,推动三维SAR的应用和发展,中国科学院空天信息创新研究院牵头研制了微波视觉三维SAR实验系统,旨在为微波视觉SAR三维成像提供实验平台和数据。该文针对微波视觉三维SAR实验系统及其全极化数据处理方法进行介绍,涵盖了极化校正、极化相干增强、极化约束三维成像、三维融合可视化等全流程的关键步骤。基于发布的SAR微波视觉三维成像全极化数据集,给出了三维成像结果示例,验证了微波视觉三维SAR实验系统的全极化性能以及处理方法的有效性。该文发布的数据集将为SAR三维成像研究提供良好的数据条件。
2024, 13(5): 955-973.
摘要:
距离徙动校正(RCMC)是合成孔径雷达(SAR)实现运动目标参数估计和聚焦成像的关键环节。当目标或平台运动复杂时,传统低阶RCMC方法将不再适用,而现有基于参数化的高阶RCMC方法易存在模型失配和计算复杂度高的问题、现有非参数化方法在低信噪比下性能也将大幅下降。对此,该文借助扩展卡尔曼滤波(EKF)对造成RCM的相位进行追踪,进而构建RCM补偿函数实现RCMC。所提方法不依赖于RCM的具体模型,追踪得到的相位包含高阶分量,因此可以实现SAR运动目标的高阶RCMC。此外,EKF在进行相位追踪的同时能对信号进行滤波处理,可有效降低所提方法的信噪比(SNR)门限。与传统方法相比,该方法适用性广,计算量适中,且能校正不可忽略的高阶残余距离徙动。该文详细阐释了所提方法的原理及数学模型,并通过多组仿真和实测数据处理验证了所提方法的有效性和优越性。 距离徙动校正(RCMC)是合成孔径雷达(SAR)实现运动目标参数估计和聚焦成像的关键环节。当目标或平台运动复杂时,传统低阶RCMC方法将不再适用,而现有基于参数化的高阶RCMC方法易存在模型失配和计算复杂度高的问题、现有非参数化方法在低信噪比下性能也将大幅下降。对此,该文借助扩展卡尔曼滤波(EKF)对造成RCM的相位进行追踪,进而构建RCM补偿函数实现RCMC。所提方法不依赖于RCM的具体模型,追踪得到的相位包含高阶分量,因此可以实现SAR运动目标的高阶RCMC。此外,EKF在进行相位追踪的同时能对信号进行滤波处理,可有效降低所提方法的信噪比(SNR)门限。与传统方法相比,该方法适用性广,计算量适中,且能校正不可忽略的高阶残余距离徙动。该文详细阐释了所提方法的原理及数学模型,并通过多组仿真和实测数据处理验证了所提方法的有效性和优越性。
距离徙动校正(RCMC)是合成孔径雷达(SAR)实现运动目标参数估计和聚焦成像的关键环节。当目标或平台运动复杂时,传统低阶RCMC方法将不再适用,而现有基于参数化的高阶RCMC方法易存在模型失配和计算复杂度高的问题、现有非参数化方法在低信噪比下性能也将大幅下降。对此,该文借助扩展卡尔曼滤波(EKF)对造成RCM的相位进行追踪,进而构建RCM补偿函数实现RCMC。所提方法不依赖于RCM的具体模型,追踪得到的相位包含高阶分量,因此可以实现SAR运动目标的高阶RCMC。此外,EKF在进行相位追踪的同时能对信号进行滤波处理,可有效降低所提方法的信噪比(SNR)门限。与传统方法相比,该方法适用性广,计算量适中,且能校正不可忽略的高阶残余距离徙动。该文详细阐释了所提方法的原理及数学模型,并通过多组仿真和实测数据处理验证了所提方法的有效性和优越性。 距离徙动校正(RCMC)是合成孔径雷达(SAR)实现运动目标参数估计和聚焦成像的关键环节。当目标或平台运动复杂时,传统低阶RCMC方法将不再适用,而现有基于参数化的高阶RCMC方法易存在模型失配和计算复杂度高的问题、现有非参数化方法在低信噪比下性能也将大幅下降。对此,该文借助扩展卡尔曼滤波(EKF)对造成RCM的相位进行追踪,进而构建RCM补偿函数实现RCMC。所提方法不依赖于RCM的具体模型,追踪得到的相位包含高阶分量,因此可以实现SAR运动目标的高阶RCMC。此外,EKF在进行相位追踪的同时能对信号进行滤波处理,可有效降低所提方法的信噪比(SNR)门限。与传统方法相比,该方法适用性广,计算量适中,且能校正不可忽略的高阶残余距离徙动。该文详细阐释了所提方法的原理及数学模型,并通过多组仿真和实测数据处理验证了所提方法的有效性和优越性。
2024, 13(5): 974-984.
摘要:
深度监督学习在合成孔径雷达自动目标识别任务中的成功依赖于大量标签样本。但是,在大规模数据集中经常存在错误(噪声)标签,很大程度降低网络训练效果。该文提出一种基于损失曲线拟合的标签噪声不确定性建模和基于噪声不确定度的纠正方法:以损失曲线作为判别特征,应用无监督模糊聚类算法获得聚类中心和类别隶属度以建模各样本标签噪声不确定度;根据样本标签噪声不确定度将样本集划分为噪声标签样本集、正确标签样本集和模糊标签样本集,以加权训练损失方法分组处理训练集,指导分类网络训练实现纠正噪声标签。在MSTAR数据集上的实验证明,该文所提方法可处理数据集中混有不同比例标签噪声情况下的网络训练问题,有效纠正标签噪声。当训练数据集中标签噪声比例较小(40%)时,该文所提方法可纠正98.6%的标签噪声,并训练网络达到98.7%的分类精度。即使标签噪声比例很大(80%)时,该文方法仍可纠正87.8%的标签噪声,并训练网络达到82.3%的分类精度。 深度监督学习在合成孔径雷达自动目标识别任务中的成功依赖于大量标签样本。但是,在大规模数据集中经常存在错误(噪声)标签,很大程度降低网络训练效果。该文提出一种基于损失曲线拟合的标签噪声不确定性建模和基于噪声不确定度的纠正方法:以损失曲线作为判别特征,应用无监督模糊聚类算法获得聚类中心和类别隶属度以建模各样本标签噪声不确定度;根据样本标签噪声不确定度将样本集划分为噪声标签样本集、正确标签样本集和模糊标签样本集,以加权训练损失方法分组处理训练集,指导分类网络训练实现纠正噪声标签。在MSTAR数据集上的实验证明,该文所提方法可处理数据集中混有不同比例标签噪声情况下的网络训练问题,有效纠正标签噪声。当训练数据集中标签噪声比例较小(40%)时,该文所提方法可纠正98.6%的标签噪声,并训练网络达到98.7%的分类精度。即使标签噪声比例很大(80%)时,该文方法仍可纠正87.8%的标签噪声,并训练网络达到82.3%的分类精度。
深度监督学习在合成孔径雷达自动目标识别任务中的成功依赖于大量标签样本。但是,在大规模数据集中经常存在错误(噪声)标签,很大程度降低网络训练效果。该文提出一种基于损失曲线拟合的标签噪声不确定性建模和基于噪声不确定度的纠正方法:以损失曲线作为判别特征,应用无监督模糊聚类算法获得聚类中心和类别隶属度以建模各样本标签噪声不确定度;根据样本标签噪声不确定度将样本集划分为噪声标签样本集、正确标签样本集和模糊标签样本集,以加权训练损失方法分组处理训练集,指导分类网络训练实现纠正噪声标签。在MSTAR数据集上的实验证明,该文所提方法可处理数据集中混有不同比例标签噪声情况下的网络训练问题,有效纠正标签噪声。当训练数据集中标签噪声比例较小(40%)时,该文所提方法可纠正98.6%的标签噪声,并训练网络达到98.7%的分类精度。即使标签噪声比例很大(80%)时,该文方法仍可纠正87.8%的标签噪声,并训练网络达到82.3%的分类精度。 深度监督学习在合成孔径雷达自动目标识别任务中的成功依赖于大量标签样本。但是,在大规模数据集中经常存在错误(噪声)标签,很大程度降低网络训练效果。该文提出一种基于损失曲线拟合的标签噪声不确定性建模和基于噪声不确定度的纠正方法:以损失曲线作为判别特征,应用无监督模糊聚类算法获得聚类中心和类别隶属度以建模各样本标签噪声不确定度;根据样本标签噪声不确定度将样本集划分为噪声标签样本集、正确标签样本集和模糊标签样本集,以加权训练损失方法分组处理训练集,指导分类网络训练实现纠正噪声标签。在MSTAR数据集上的实验证明,该文所提方法可处理数据集中混有不同比例标签噪声情况下的网络训练问题,有效纠正标签噪声。当训练数据集中标签噪声比例较小(40%)时,该文所提方法可纠正98.6%的标签噪声,并训练网络达到98.7%的分类精度。即使标签噪声比例很大(80%)时,该文方法仍可纠正87.8%的标签噪声,并训练网络达到82.3%的分类精度。
2024, 13(5): 985-1003.
摘要:
星载合成孔径雷达(SAR)系统常受到强电磁干扰而导致成像质量下降,但现有基于图像域的干扰抑制方法易造成图像失真、纹理细节信息丢失等难题。针对上述问题,该文提出了一种基于区域特征细化感知学习的星载SAR图像有源压制干扰抑制方法。首先,建立了星载SAR图像域有源压制干扰信号和图像模型;其次,设计一种基于区域特征感知的高精度干扰识别网络,利用高效通道注意力机制,提取SAR图像有源压制干扰图样特征,可以有效识别SAR图像干扰区域;然后,构建一种基于SAR图像和压制干扰特征联合学习的多元区域特征细化干扰抑制网络,将SAR图像切分为多元区域,采用多模块协同处理多元区域上的压制干扰特征,实现复杂场景条件下SAR图像有源压制干扰的精细化抑制。最后,构建SAR图像有源压制干扰仿真数据集,且采用哨兵1号实测数据进行实验验证分析。实验结果表明所提方法能有效识别和抑制星载SAR图像多种典型有源压制干扰。 星载合成孔径雷达(SAR)系统常受到强电磁干扰而导致成像质量下降,但现有基于图像域的干扰抑制方法易造成图像失真、纹理细节信息丢失等难题。针对上述问题,该文提出了一种基于区域特征细化感知学习的星载SAR图像有源压制干扰抑制方法。首先,建立了星载SAR图像域有源压制干扰信号和图像模型;其次,设计一种基于区域特征感知的高精度干扰识别网络,利用高效通道注意力机制,提取SAR图像有源压制干扰图样特征,可以有效识别SAR图像干扰区域;然后,构建一种基于SAR图像和压制干扰特征联合学习的多元区域特征细化干扰抑制网络,将SAR图像切分为多元区域,采用多模块协同处理多元区域上的压制干扰特征,实现复杂场景条件下SAR图像有源压制干扰的精细化抑制。最后,构建SAR图像有源压制干扰仿真数据集,且采用哨兵1号实测数据进行实验验证分析。实验结果表明所提方法能有效识别和抑制星载SAR图像多种典型有源压制干扰。
星载合成孔径雷达(SAR)系统常受到强电磁干扰而导致成像质量下降,但现有基于图像域的干扰抑制方法易造成图像失真、纹理细节信息丢失等难题。针对上述问题,该文提出了一种基于区域特征细化感知学习的星载SAR图像有源压制干扰抑制方法。首先,建立了星载SAR图像域有源压制干扰信号和图像模型;其次,设计一种基于区域特征感知的高精度干扰识别网络,利用高效通道注意力机制,提取SAR图像有源压制干扰图样特征,可以有效识别SAR图像干扰区域;然后,构建一种基于SAR图像和压制干扰特征联合学习的多元区域特征细化干扰抑制网络,将SAR图像切分为多元区域,采用多模块协同处理多元区域上的压制干扰特征,实现复杂场景条件下SAR图像有源压制干扰的精细化抑制。最后,构建SAR图像有源压制干扰仿真数据集,且采用哨兵1号实测数据进行实验验证分析。实验结果表明所提方法能有效识别和抑制星载SAR图像多种典型有源压制干扰。 星载合成孔径雷达(SAR)系统常受到强电磁干扰而导致成像质量下降,但现有基于图像域的干扰抑制方法易造成图像失真、纹理细节信息丢失等难题。针对上述问题,该文提出了一种基于区域特征细化感知学习的星载SAR图像有源压制干扰抑制方法。首先,建立了星载SAR图像域有源压制干扰信号和图像模型;其次,设计一种基于区域特征感知的高精度干扰识别网络,利用高效通道注意力机制,提取SAR图像有源压制干扰图样特征,可以有效识别SAR图像干扰区域;然后,构建一种基于SAR图像和压制干扰特征联合学习的多元区域特征细化干扰抑制网络,将SAR图像切分为多元区域,采用多模块协同处理多元区域上的压制干扰特征,实现复杂场景条件下SAR图像有源压制干扰的精细化抑制。最后,构建SAR图像有源压制干扰仿真数据集,且采用哨兵1号实测数据进行实验验证分析。实验结果表明所提方法能有效识别和抑制星载SAR图像多种典型有源压制干扰。
2024, 13(5): 1004-1018.
摘要:
在雷达有源干扰识别任务中,如何实现多域浅层特征与时频域深层网络特征的稳健联合,并在极端小样本下维持高干扰识别准确率是亟待解决的关键问题。针对此问题,该文提出一种多域浅层特征引导下雷达有源干扰多模态对比识别方法。在充分提取有源干扰多域浅层特征基础上,设计优选单元自动选择有效特征,生成对应含有隐式专家知识的文本模态。将文本模态与时频变换图像分别输入文本和图像编码器,构建多模态特征对并映射至模态对齐高维空间中,利用文本特征作为锚点,通过对比学习引导同类干扰的时频图像特征聚合,以优化图像编码器表征能力,实现干扰识别特征类内更聚集、类间更分离。实验结果表明,相较于已有深浅特征直接联合,所提引导式联合方法可以实现特征差异处理,从而提高识别特征判别力和泛化力。且在极端小样本条件(每类干扰训练样本为2~3个)下,所提识别方法较先进对比方法的准确率提升9.84%,证明了该文方法的有效性与鲁棒性。 在雷达有源干扰识别任务中,如何实现多域浅层特征与时频域深层网络特征的稳健联合,并在极端小样本下维持高干扰识别准确率是亟待解决的关键问题。针对此问题,该文提出一种多域浅层特征引导下雷达有源干扰多模态对比识别方法。在充分提取有源干扰多域浅层特征基础上,设计优选单元自动选择有效特征,生成对应含有隐式专家知识的文本模态。将文本模态与时频变换图像分别输入文本和图像编码器,构建多模态特征对并映射至模态对齐高维空间中,利用文本特征作为锚点,通过对比学习引导同类干扰的时频图像特征聚合,以优化图像编码器表征能力,实现干扰识别特征类内更聚集、类间更分离。实验结果表明,相较于已有深浅特征直接联合,所提引导式联合方法可以实现特征差异处理,从而提高识别特征判别力和泛化力。且在极端小样本条件(每类干扰训练样本为2~3个)下,所提识别方法较先进对比方法的准确率提升9.84%,证明了该文方法的有效性与鲁棒性。
在雷达有源干扰识别任务中,如何实现多域浅层特征与时频域深层网络特征的稳健联合,并在极端小样本下维持高干扰识别准确率是亟待解决的关键问题。针对此问题,该文提出一种多域浅层特征引导下雷达有源干扰多模态对比识别方法。在充分提取有源干扰多域浅层特征基础上,设计优选单元自动选择有效特征,生成对应含有隐式专家知识的文本模态。将文本模态与时频变换图像分别输入文本和图像编码器,构建多模态特征对并映射至模态对齐高维空间中,利用文本特征作为锚点,通过对比学习引导同类干扰的时频图像特征聚合,以优化图像编码器表征能力,实现干扰识别特征类内更聚集、类间更分离。实验结果表明,相较于已有深浅特征直接联合,所提引导式联合方法可以实现特征差异处理,从而提高识别特征判别力和泛化力。且在极端小样本条件(每类干扰训练样本为2~3个)下,所提识别方法较先进对比方法的准确率提升9.84%,证明了该文方法的有效性与鲁棒性。 在雷达有源干扰识别任务中,如何实现多域浅层特征与时频域深层网络特征的稳健联合,并在极端小样本下维持高干扰识别准确率是亟待解决的关键问题。针对此问题,该文提出一种多域浅层特征引导下雷达有源干扰多模态对比识别方法。在充分提取有源干扰多域浅层特征基础上,设计优选单元自动选择有效特征,生成对应含有隐式专家知识的文本模态。将文本模态与时频变换图像分别输入文本和图像编码器,构建多模态特征对并映射至模态对齐高维空间中,利用文本特征作为锚点,通过对比学习引导同类干扰的时频图像特征聚合,以优化图像编码器表征能力,实现干扰识别特征类内更聚集、类间更分离。实验结果表明,相较于已有深浅特征直接联合,所提引导式联合方法可以实现特征差异处理,从而提高识别特征判别力和泛化力。且在极端小样本条件(每类干扰训练样本为2~3个)下,所提识别方法较先进对比方法的准确率提升9.84%,证明了该文方法的有效性与鲁棒性。
2024, 13(5): 1019-1036.
摘要:
间歇采样转发干扰(ISRJ)是一种脉内相参干扰,能在目标斜距前后形成多个逼真假目标来严重影响雷达检测,是当前电子反对抗的热点之一。针对这一问题,该文提出了一种基于脉内频率编码联合调频斜率捷变波形的抗ISRJ方法。首先,雷达发射脉内频率编码联合调频斜率捷变信号,通过子脉冲中心频率、调频斜率捷变提高子脉冲间相互掩护能力。之后依据发射信号子脉冲斜率变化时序将回波信号划分为多个切片。然后利用模糊C均值(FCM)算法对回波切片进行干扰识别。最后在分数阶域和时域对回波信号进行级联滤波。仿真结果表明,FCM方法在信噪比(SNR)大于-2.5 dB和干信比(JSR)大于5 dB时,能100%识别干扰机同步采样场景下回波中的受干扰回波切片。在较高JSR和低SNR下,所提方法能有效减少目标能量损失并抑制剩余干扰产生的距离旁瓣。在JSR为50 dB时,干扰抑制后的目标检测概率可达90%以上。 间歇采样转发干扰(ISRJ)是一种脉内相参干扰,能在目标斜距前后形成多个逼真假目标来严重影响雷达检测,是当前电子反对抗的热点之一。针对这一问题,该文提出了一种基于脉内频率编码联合调频斜率捷变波形的抗ISRJ方法。首先,雷达发射脉内频率编码联合调频斜率捷变信号,通过子脉冲中心频率、调频斜率捷变提高子脉冲间相互掩护能力。之后依据发射信号子脉冲斜率变化时序将回波信号划分为多个切片。然后利用模糊C均值(FCM)算法对回波切片进行干扰识别。最后在分数阶域和时域对回波信号进行级联滤波。仿真结果表明,FCM方法在信噪比(SNR)大于-2.5 dB和干信比(JSR)大于5 dB时,能100%识别干扰机同步采样场景下回波中的受干扰回波切片。在较高JSR和低SNR下,所提方法能有效减少目标能量损失并抑制剩余干扰产生的距离旁瓣。在JSR为50 dB时,干扰抑制后的目标检测概率可达90%以上。
间歇采样转发干扰(ISRJ)是一种脉内相参干扰,能在目标斜距前后形成多个逼真假目标来严重影响雷达检测,是当前电子反对抗的热点之一。针对这一问题,该文提出了一种基于脉内频率编码联合调频斜率捷变波形的抗ISRJ方法。首先,雷达发射脉内频率编码联合调频斜率捷变信号,通过子脉冲中心频率、调频斜率捷变提高子脉冲间相互掩护能力。之后依据发射信号子脉冲斜率变化时序将回波信号划分为多个切片。然后利用模糊C均值(FCM)算法对回波切片进行干扰识别。最后在分数阶域和时域对回波信号进行级联滤波。仿真结果表明,FCM方法在信噪比(SNR)大于-2.5 dB和干信比(JSR)大于5 dB时,能100%识别干扰机同步采样场景下回波中的受干扰回波切片。在较高JSR和低SNR下,所提方法能有效减少目标能量损失并抑制剩余干扰产生的距离旁瓣。在JSR为50 dB时,干扰抑制后的目标检测概率可达90%以上。 间歇采样转发干扰(ISRJ)是一种脉内相参干扰,能在目标斜距前后形成多个逼真假目标来严重影响雷达检测,是当前电子反对抗的热点之一。针对这一问题,该文提出了一种基于脉内频率编码联合调频斜率捷变波形的抗ISRJ方法。首先,雷达发射脉内频率编码联合调频斜率捷变信号,通过子脉冲中心频率、调频斜率捷变提高子脉冲间相互掩护能力。之后依据发射信号子脉冲斜率变化时序将回波信号划分为多个切片。然后利用模糊C均值(FCM)算法对回波切片进行干扰识别。最后在分数阶域和时域对回波信号进行级联滤波。仿真结果表明,FCM方法在信噪比(SNR)大于-2.5 dB和干信比(JSR)大于5 dB时,能100%识别干扰机同步采样场景下回波中的受干扰回波切片。在较高JSR和低SNR下,所提方法能有效减少目标能量损失并抑制剩余干扰产生的距离旁瓣。在JSR为50 dB时,干扰抑制后的目标检测概率可达90%以上。
2024, 13(5): 1037-1048.
摘要:
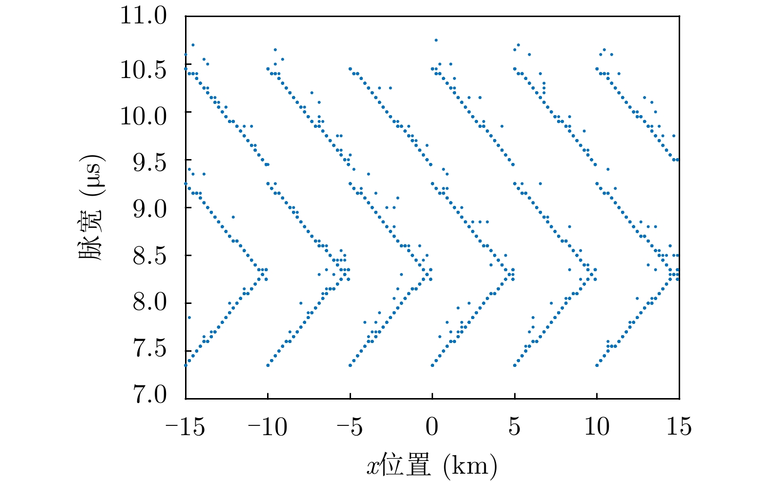
针对反机载干涉仪侦察场景,该文提出一种基于间歇采样转发技术生成分布式信号对干涉仪参数测量施加干扰的方法。辐射源与转发干扰机分布部署构成干扰系统,转发干扰机对辐射源脉冲信号进行间歇采样并向干涉仪转发,转发信号与辐射源信号准同步到达干涉仪,实现对干涉仪空域参数和时域参数的同时干扰。对于机载干涉仪运动过程中与干扰系统发生的位置关系变化,给出信号准同步约束并构建分布式信号叠加模型。然后针对干涉仪体制对脉冲空域和时域参数的测量机理,分析分布式信号实施干扰的原理,并分析信号参数对干扰效果的影响,进而提出分布式信号设计原则。仿真实验和暗室实验结果表明,该文所提出分布式波形可有效扰乱干涉仪对信号到达方位角、脉宽和脉冲重复周期等空时域参数的正确测量。 针对反机载干涉仪侦察场景,该文提出一种基于间歇采样转发技术生成分布式信号对干涉仪参数测量施加干扰的方法。辐射源与转发干扰机分布部署构成干扰系统,转发干扰机对辐射源脉冲信号进行间歇采样并向干涉仪转发,转发信号与辐射源信号准同步到达干涉仪,实现对干涉仪空域参数和时域参数的同时干扰。对于机载干涉仪运动过程中与干扰系统发生的位置关系变化,给出信号准同步约束并构建分布式信号叠加模型。然后针对干涉仪体制对脉冲空域和时域参数的测量机理,分析分布式信号实施干扰的原理,并分析信号参数对干扰效果的影响,进而提出分布式信号设计原则。仿真实验和暗室实验结果表明,该文所提出分布式波形可有效扰乱干涉仪对信号到达方位角、脉宽和脉冲重复周期等空时域参数的正确测量。
针对反机载干涉仪侦察场景,该文提出一种基于间歇采样转发技术生成分布式信号对干涉仪参数测量施加干扰的方法。辐射源与转发干扰机分布部署构成干扰系统,转发干扰机对辐射源脉冲信号进行间歇采样并向干涉仪转发,转发信号与辐射源信号准同步到达干涉仪,实现对干涉仪空域参数和时域参数的同时干扰。对于机载干涉仪运动过程中与干扰系统发生的位置关系变化,给出信号准同步约束并构建分布式信号叠加模型。然后针对干涉仪体制对脉冲空域和时域参数的测量机理,分析分布式信号实施干扰的原理,并分析信号参数对干扰效果的影响,进而提出分布式信号设计原则。仿真实验和暗室实验结果表明,该文所提出分布式波形可有效扰乱干涉仪对信号到达方位角、脉宽和脉冲重复周期等空时域参数的正确测量。 针对反机载干涉仪侦察场景,该文提出一种基于间歇采样转发技术生成分布式信号对干涉仪参数测量施加干扰的方法。辐射源与转发干扰机分布部署构成干扰系统,转发干扰机对辐射源脉冲信号进行间歇采样并向干涉仪转发,转发信号与辐射源信号准同步到达干涉仪,实现对干涉仪空域参数和时域参数的同时干扰。对于机载干涉仪运动过程中与干扰系统发生的位置关系变化,给出信号准同步约束并构建分布式信号叠加模型。然后针对干涉仪体制对脉冲空域和时域参数的测量机理,分析分布式信号实施干扰的原理,并分析信号参数对干扰效果的影响,进而提出分布式信号设计原则。仿真实验和暗室实验结果表明,该文所提出分布式波形可有效扰乱干涉仪对信号到达方位角、脉宽和脉冲重复周期等空时域参数的正确测量。
摘要:
在雷达目标多通道自适应检测场景下,诸多非均匀背景因素易导致异常值干扰,使得辅助数据独立同分布条件难以满足,已有辅助数据筛选方法往往假定异常值个数已知,在个数未知的情况下面临较大性能损失。为此,该文研究了异常值个数未知情况下辅助数据自适应筛选方法。首先,在杂噪协方差矩阵已知条件下,建立了异常数据集合的最大似然估计,基于广义内积对辅助数据进行初步排序,将异常数据集合的最大似然估计过程简化为异常值个数估计。其次,利用快速最大似然方法进行未知协方差矩阵估计,提出了未知异常值个数下辅助数据自适应筛选方法。进一步地,为降低异常值对初步排序性能的不利干扰,基于归一化采样协方差矩阵设计了归一化广义内积形式,并结合迭代估计方式,对前述辅助数据自适应筛选流程进行改进。仿真结果表明,与广义内积相比,采用归一化广义内积可获得更高的筛选精度,采用较小迭代次数即可获得稳定的归一化信干比改善;与已有辅助数据筛选方法相比,该文所提方法在异常值个数未知条件下具有更好的筛选性能。 在雷达目标多通道自适应检测场景下,诸多非均匀背景因素易导致异常值干扰,使得辅助数据独立同分布条件难以满足,已有辅助数据筛选方法往往假定异常值个数已知,在个数未知的情况下面临较大性能损失。为此,该文研究了异常值个数未知情况下辅助数据自适应筛选方法。首先,在杂噪协方差矩阵已知条件下,建立了异常数据集合的最大似然估计,基于广义内积对辅助数据进行初步排序,将异常数据集合的最大似然估计过程简化为异常值个数估计。其次,利用快速最大似然方法进行未知协方差矩阵估计,提出了未知异常值个数下辅助数据自适应筛选方法。进一步地,为降低异常值对初步排序性能的不利干扰,基于归一化采样协方差矩阵设计了归一化广义内积形式,并结合迭代估计方式,对前述辅助数据自适应筛选流程进行改进。仿真结果表明,与广义内积相比,采用归一化广义内积可获得更高的筛选精度,采用较小迭代次数即可获得稳定的归一化信干比改善;与已有辅助数据筛选方法相比,该文所提方法在异常值个数未知条件下具有更好的筛选性能。
在雷达目标多通道自适应检测场景下,诸多非均匀背景因素易导致异常值干扰,使得辅助数据独立同分布条件难以满足,已有辅助数据筛选方法往往假定异常值个数已知,在个数未知的情况下面临较大性能损失。为此,该文研究了异常值个数未知情况下辅助数据自适应筛选方法。首先,在杂噪协方差矩阵已知条件下,建立了异常数据集合的最大似然估计,基于广义内积对辅助数据进行初步排序,将异常数据集合的最大似然估计过程简化为异常值个数估计。其次,利用快速最大似然方法进行未知协方差矩阵估计,提出了未知异常值个数下辅助数据自适应筛选方法。进一步地,为降低异常值对初步排序性能的不利干扰,基于归一化采样协方差矩阵设计了归一化广义内积形式,并结合迭代估计方式,对前述辅助数据自适应筛选流程进行改进。仿真结果表明,与广义内积相比,采用归一化广义内积可获得更高的筛选精度,采用较小迭代次数即可获得稳定的归一化信干比改善;与已有辅助数据筛选方法相比,该文所提方法在异常值个数未知条件下具有更好的筛选性能。 在雷达目标多通道自适应检测场景下,诸多非均匀背景因素易导致异常值干扰,使得辅助数据独立同分布条件难以满足,已有辅助数据筛选方法往往假定异常值个数已知,在个数未知的情况下面临较大性能损失。为此,该文研究了异常值个数未知情况下辅助数据自适应筛选方法。首先,在杂噪协方差矩阵已知条件下,建立了异常数据集合的最大似然估计,基于广义内积对辅助数据进行初步排序,将异常数据集合的最大似然估计过程简化为异常值个数估计。其次,利用快速最大似然方法进行未知协方差矩阵估计,提出了未知异常值个数下辅助数据自适应筛选方法。进一步地,为降低异常值对初步排序性能的不利干扰,基于归一化采样协方差矩阵设计了归一化广义内积形式,并结合迭代估计方式,对前述辅助数据自适应筛选流程进行改进。仿真结果表明,与广义内积相比,采用归一化广义内积可获得更高的筛选精度,采用较小迭代次数即可获得稳定的归一化信干比改善;与已有辅助数据筛选方法相比,该文所提方法在异常值个数未知条件下具有更好的筛选性能。
2024, 13(5): 1061-1072.
摘要:
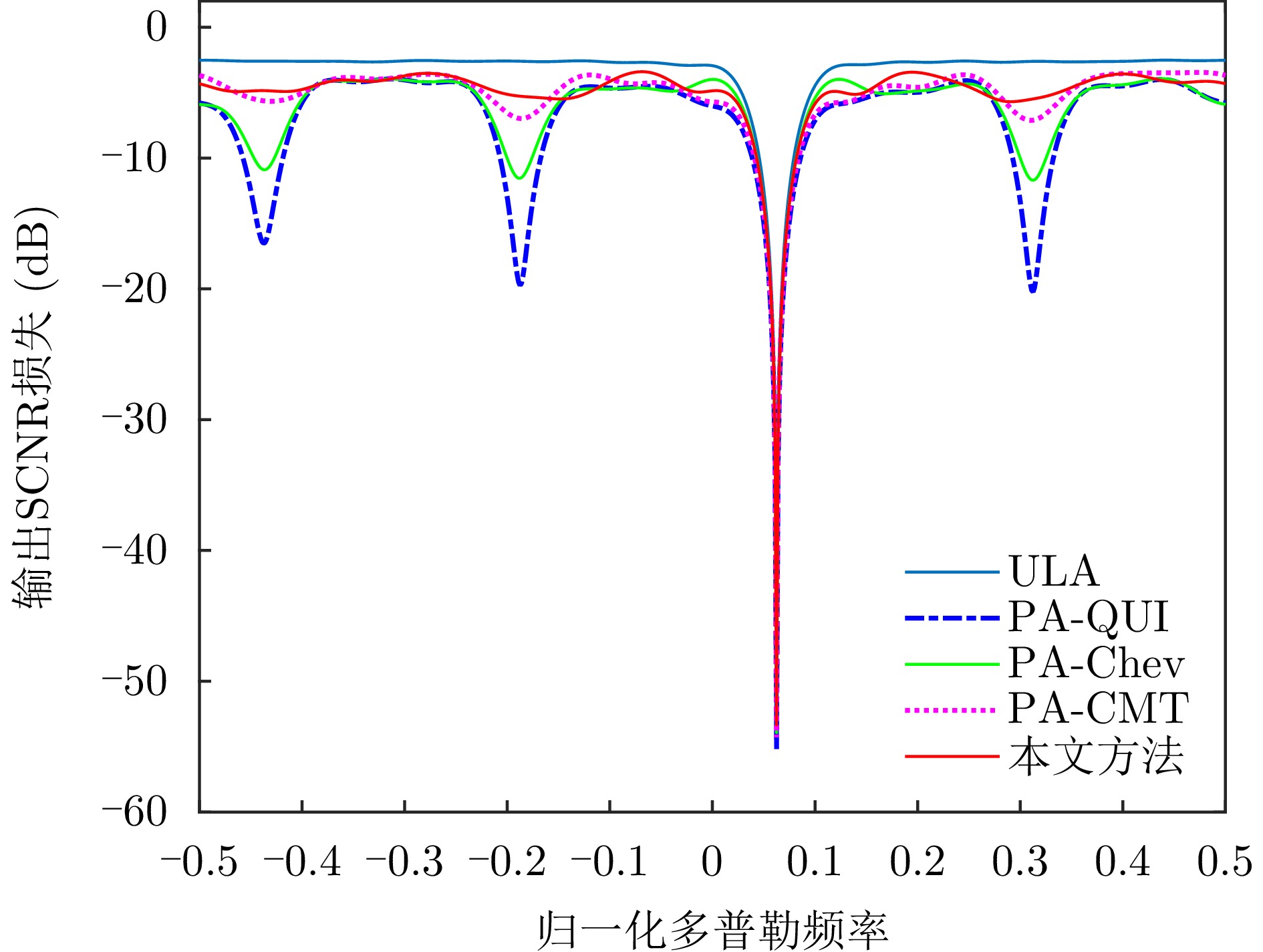
机载雷达接收端采用子阵处理时面临栅瓣杂波导致的复杂空时耦合分布,使主瓣波束方向存在多个由栅瓣杂波导致的检测性能凹口,目标检测性能恶化严重。针对此问题,该文首先分析了子阵处理中栅瓣杂波空时谱分布特性,并在此基础上提出了基于接收子阵波束设计的空时二维杂波抑制方法。该方法采用重叠子阵构型方案,通过子阵方向图设计形成在子阵间栅瓣区域处的宽凹口,实现对子阵间栅瓣区域杂波的预滤波。进一步构建子阵级空时处理器,由于栅瓣杂波已经在子阵内完成预滤波,避免了栅瓣杂波在空时二维平面上的耦合扩散,从而提高了杂波抑制和动目标检测性能。仿真结果表明,所提方法显著改善了栅瓣杂波区的输出信杂噪比损失性能。 机载雷达接收端采用子阵处理时面临栅瓣杂波导致的复杂空时耦合分布,使主瓣波束方向存在多个由栅瓣杂波导致的检测性能凹口,目标检测性能恶化严重。针对此问题,该文首先分析了子阵处理中栅瓣杂波空时谱分布特性,并在此基础上提出了基于接收子阵波束设计的空时二维杂波抑制方法。该方法采用重叠子阵构型方案,通过子阵方向图设计形成在子阵间栅瓣区域处的宽凹口,实现对子阵间栅瓣区域杂波的预滤波。进一步构建子阵级空时处理器,由于栅瓣杂波已经在子阵内完成预滤波,避免了栅瓣杂波在空时二维平面上的耦合扩散,从而提高了杂波抑制和动目标检测性能。仿真结果表明,所提方法显著改善了栅瓣杂波区的输出信杂噪比损失性能。
机载雷达接收端采用子阵处理时面临栅瓣杂波导致的复杂空时耦合分布,使主瓣波束方向存在多个由栅瓣杂波导致的检测性能凹口,目标检测性能恶化严重。针对此问题,该文首先分析了子阵处理中栅瓣杂波空时谱分布特性,并在此基础上提出了基于接收子阵波束设计的空时二维杂波抑制方法。该方法采用重叠子阵构型方案,通过子阵方向图设计形成在子阵间栅瓣区域处的宽凹口,实现对子阵间栅瓣区域杂波的预滤波。进一步构建子阵级空时处理器,由于栅瓣杂波已经在子阵内完成预滤波,避免了栅瓣杂波在空时二维平面上的耦合扩散,从而提高了杂波抑制和动目标检测性能。仿真结果表明,所提方法显著改善了栅瓣杂波区的输出信杂噪比损失性能。 机载雷达接收端采用子阵处理时面临栅瓣杂波导致的复杂空时耦合分布,使主瓣波束方向存在多个由栅瓣杂波导致的检测性能凹口,目标检测性能恶化严重。针对此问题,该文首先分析了子阵处理中栅瓣杂波空时谱分布特性,并在此基础上提出了基于接收子阵波束设计的空时二维杂波抑制方法。该方法采用重叠子阵构型方案,通过子阵方向图设计形成在子阵间栅瓣区域处的宽凹口,实现对子阵间栅瓣区域杂波的预滤波。进一步构建子阵级空时处理器,由于栅瓣杂波已经在子阵内完成预滤波,避免了栅瓣杂波在空时二维平面上的耦合扩散,从而提高了杂波抑制和动目标检测性能。仿真结果表明,所提方法显著改善了栅瓣杂波区的输出信杂噪比损失性能。
2024, 13(5): 1073-1091.
摘要:
实孔径雷达(RAR)通过天线扫描工作,以获取大范围探测区域内目标的观测信息。但是,由于雷达天线尺寸小,受天线衍射机理限制,与距离分辨率相比,其角分辨率通常较低。角超分辨处理方法,可利用天线方向图与目标散射间的卷积关系,通过求解卷积反演问题,以提高扫描雷达角分辨率。但是,由于测量矩阵的低秩特性,传统角超分辨处理方法,存在正则化参数选择难、迭代更新慢等问题,并且在低信噪比条件下,角超分辨处理性能明显下降。针对上述问题,该文提出了一种基于深度网络的迭代自适应实孔径扫描雷达角超分辨成像方法。首先,该文将实孔径扫描雷达的卷积反演问题转化为回波自相关矩阵反演求解问题,以改善求逆矩阵的病态性;其次,将可学习的修正矩阵引入到迭代自适应求解方法中,以实现迭代自适应求解方法与深度网络的结合;最后,通过迭代学习更新回波自相关矩阵,降低噪声对反演结果的影响,提高实孔径雷达的角分辨率。仿真及实测数据结果表明,所提方法可避免传统算法中的手动参数选择和迭代更新慢等问题。同时,由于深度网络的学习拟合能力,所提方法可在低信噪比条件下保持良好的角超分辨性能。 实孔径雷达(RAR)通过天线扫描工作,以获取大范围探测区域内目标的观测信息。但是,由于雷达天线尺寸小,受天线衍射机理限制,与距离分辨率相比,其角分辨率通常较低。角超分辨处理方法,可利用天线方向图与目标散射间的卷积关系,通过求解卷积反演问题,以提高扫描雷达角分辨率。但是,由于测量矩阵的低秩特性,传统角超分辨处理方法,存在正则化参数选择难、迭代更新慢等问题,并且在低信噪比条件下,角超分辨处理性能明显下降。针对上述问题,该文提出了一种基于深度网络的迭代自适应实孔径扫描雷达角超分辨成像方法。首先,该文将实孔径扫描雷达的卷积反演问题转化为回波自相关矩阵反演求解问题,以改善求逆矩阵的病态性;其次,将可学习的修正矩阵引入到迭代自适应求解方法中,以实现迭代自适应求解方法与深度网络的结合;最后,通过迭代学习更新回波自相关矩阵,降低噪声对反演结果的影响,提高实孔径雷达的角分辨率。仿真及实测数据结果表明,所提方法可避免传统算法中的手动参数选择和迭代更新慢等问题。同时,由于深度网络的学习拟合能力,所提方法可在低信噪比条件下保持良好的角超分辨性能。
实孔径雷达(RAR)通过天线扫描工作,以获取大范围探测区域内目标的观测信息。但是,由于雷达天线尺寸小,受天线衍射机理限制,与距离分辨率相比,其角分辨率通常较低。角超分辨处理方法,可利用天线方向图与目标散射间的卷积关系,通过求解卷积反演问题,以提高扫描雷达角分辨率。但是,由于测量矩阵的低秩特性,传统角超分辨处理方法,存在正则化参数选择难、迭代更新慢等问题,并且在低信噪比条件下,角超分辨处理性能明显下降。针对上述问题,该文提出了一种基于深度网络的迭代自适应实孔径扫描雷达角超分辨成像方法。首先,该文将实孔径扫描雷达的卷积反演问题转化为回波自相关矩阵反演求解问题,以改善求逆矩阵的病态性;其次,将可学习的修正矩阵引入到迭代自适应求解方法中,以实现迭代自适应求解方法与深度网络的结合;最后,通过迭代学习更新回波自相关矩阵,降低噪声对反演结果的影响,提高实孔径雷达的角分辨率。仿真及实测数据结果表明,所提方法可避免传统算法中的手动参数选择和迭代更新慢等问题。同时,由于深度网络的学习拟合能力,所提方法可在低信噪比条件下保持良好的角超分辨性能。 实孔径雷达(RAR)通过天线扫描工作,以获取大范围探测区域内目标的观测信息。但是,由于雷达天线尺寸小,受天线衍射机理限制,与距离分辨率相比,其角分辨率通常较低。角超分辨处理方法,可利用天线方向图与目标散射间的卷积关系,通过求解卷积反演问题,以提高扫描雷达角分辨率。但是,由于测量矩阵的低秩特性,传统角超分辨处理方法,存在正则化参数选择难、迭代更新慢等问题,并且在低信噪比条件下,角超分辨处理性能明显下降。针对上述问题,该文提出了一种基于深度网络的迭代自适应实孔径扫描雷达角超分辨成像方法。首先,该文将实孔径扫描雷达的卷积反演问题转化为回波自相关矩阵反演求解问题,以改善求逆矩阵的病态性;其次,将可学习的修正矩阵引入到迭代自适应求解方法中,以实现迭代自适应求解方法与深度网络的结合;最后,通过迭代学习更新回波自相关矩阵,降低噪声对反演结果的影响,提高实孔径雷达的角分辨率。仿真及实测数据结果表明,所提方法可避免传统算法中的手动参数选择和迭代更新慢等问题。同时,由于深度网络的学习拟合能力,所提方法可在低信噪比条件下保持良好的角超分辨性能。
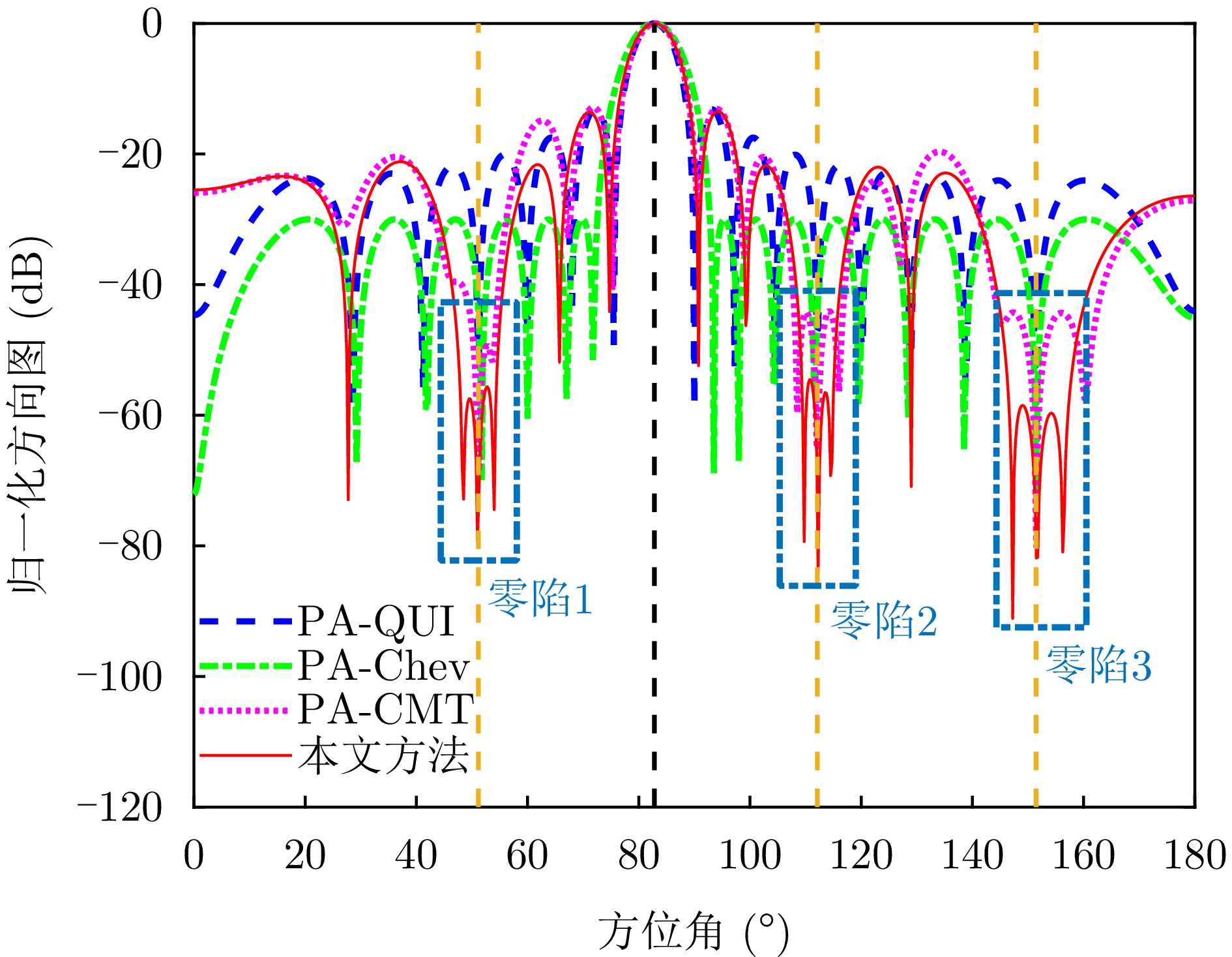
摘要:
考虑到主动式电扫描毫米波成像系统在实际应用中成像场景要求大,分辨率要求高,但毫米波的波长短,继而造成满足奈奎斯特采样定理的均匀阵列规模及馈电网络复杂度过高,面临着成像精度、成像速度和系统成本之间的矛盾。针对以上问题,该文提出了可信推断近场稀疏综合阵列算法(CBI-SAS),在全贝叶斯学习框架下,该算法基于贝叶斯推断对复激励权值进行稀疏优化,得到复激励权值的完全统计后验概率密度函数,从而利用其高阶统计信息得到复激励权值的最优值及其置信区间和置信度。在贝叶斯推断中,为了实现较少数量的阵元合成期望波束方向图,可通过对复值激励权值引入重尾的拉普拉斯稀疏先验。然而,由于先验概率模型与参考方向图数据模型非共轭,因此需对先验模型进行分层贝叶斯建模,从而保证得到的复激励权值完全后验分布具有闭合解析解。为了避免求解完全后验分布的高维积分,采用变分贝叶斯期望最大化方法计算复激励权值后验概率密度函数,实现复激励权值的可信推断。仿真模拟实验结果显示,相较于传统稀疏阵列合成方法,所提方法阵元稀疏度更低、归一化均方误差更小、匹配方向图精度更好。此外,基于设计的稀疏阵列采集近场一维电扫和二维平面全电扫实测回波数据后,利用改进三维时域算法进行三维重建,验证了所提CBI-SAS算法在保证成像结果的同时降低了系统复杂性的优势。 考虑到主动式电扫描毫米波成像系统在实际应用中成像场景要求大,分辨率要求高,但毫米波的波长短,继而造成满足奈奎斯特采样定理的均匀阵列规模及馈电网络复杂度过高,面临着成像精度、成像速度和系统成本之间的矛盾。针对以上问题,该文提出了可信推断近场稀疏综合阵列算法(CBI-SAS),在全贝叶斯学习框架下,该算法基于贝叶斯推断对复激励权值进行稀疏优化,得到复激励权值的完全统计后验概率密度函数,从而利用其高阶统计信息得到复激励权值的最优值及其置信区间和置信度。在贝叶斯推断中,为了实现较少数量的阵元合成期望波束方向图,可通过对复值激励权值引入重尾的拉普拉斯稀疏先验。然而,由于先验概率模型与参考方向图数据模型非共轭,因此需对先验模型进行分层贝叶斯建模,从而保证得到的复激励权值完全后验分布具有闭合解析解。为了避免求解完全后验分布的高维积分,采用变分贝叶斯期望最大化方法计算复激励权值后验概率密度函数,实现复激励权值的可信推断。仿真模拟实验结果显示,相较于传统稀疏阵列合成方法,所提方法阵元稀疏度更低、归一化均方误差更小、匹配方向图精度更好。此外,基于设计的稀疏阵列采集近场一维电扫和二维平面全电扫实测回波数据后,利用改进三维时域算法进行三维重建,验证了所提CBI-SAS算法在保证成像结果的同时降低了系统复杂性的优势。
考虑到主动式电扫描毫米波成像系统在实际应用中成像场景要求大,分辨率要求高,但毫米波的波长短,继而造成满足奈奎斯特采样定理的均匀阵列规模及馈电网络复杂度过高,面临着成像精度、成像速度和系统成本之间的矛盾。针对以上问题,该文提出了可信推断近场稀疏综合阵列算法(CBI-SAS),在全贝叶斯学习框架下,该算法基于贝叶斯推断对复激励权值进行稀疏优化,得到复激励权值的完全统计后验概率密度函数,从而利用其高阶统计信息得到复激励权值的最优值及其置信区间和置信度。在贝叶斯推断中,为了实现较少数量的阵元合成期望波束方向图,可通过对复值激励权值引入重尾的拉普拉斯稀疏先验。然而,由于先验概率模型与参考方向图数据模型非共轭,因此需对先验模型进行分层贝叶斯建模,从而保证得到的复激励权值完全后验分布具有闭合解析解。为了避免求解完全后验分布的高维积分,采用变分贝叶斯期望最大化方法计算复激励权值后验概率密度函数,实现复激励权值的可信推断。仿真模拟实验结果显示,相较于传统稀疏阵列合成方法,所提方法阵元稀疏度更低、归一化均方误差更小、匹配方向图精度更好。此外,基于设计的稀疏阵列采集近场一维电扫和二维平面全电扫实测回波数据后,利用改进三维时域算法进行三维重建,验证了所提CBI-SAS算法在保证成像结果的同时降低了系统复杂性的优势。 考虑到主动式电扫描毫米波成像系统在实际应用中成像场景要求大,分辨率要求高,但毫米波的波长短,继而造成满足奈奎斯特采样定理的均匀阵列规模及馈电网络复杂度过高,面临着成像精度、成像速度和系统成本之间的矛盾。针对以上问题,该文提出了可信推断近场稀疏综合阵列算法(CBI-SAS),在全贝叶斯学习框架下,该算法基于贝叶斯推断对复激励权值进行稀疏优化,得到复激励权值的完全统计后验概率密度函数,从而利用其高阶统计信息得到复激励权值的最优值及其置信区间和置信度。在贝叶斯推断中,为了实现较少数量的阵元合成期望波束方向图,可通过对复值激励权值引入重尾的拉普拉斯稀疏先验。然而,由于先验概率模型与参考方向图数据模型非共轭,因此需对先验模型进行分层贝叶斯建模,从而保证得到的复激励权值完全后验分布具有闭合解析解。为了避免求解完全后验分布的高维积分,采用变分贝叶斯期望最大化方法计算复激励权值后验概率密度函数,实现复激励权值的可信推断。仿真模拟实验结果显示,相较于传统稀疏阵列合成方法,所提方法阵元稀疏度更低、归一化均方误差更小、匹配方向图精度更好。此外,基于设计的稀疏阵列采集近场一维电扫和二维平面全电扫实测回波数据后,利用改进三维时域算法进行三维重建,验证了所提CBI-SAS算法在保证成像结果的同时降低了系统复杂性的优势。
2024, 13(5): 1109-1122.
摘要:
涡旋电磁波具有独特的波前相位调制特性,其作为一种新的雷达发射端分集模式,可实现目标雷达截面积 (RCS)分集、提升信号与信息处理维度和性能,其探测与成像性能在多种雷达体制中得到了验证。该文针对前视雷达成像的应用背景,基于均匀圆阵发射与圆阵中心单天线接收的收发体制,在建立了电磁涡旋前视雷达信号模型与成像模型的基础上,提出了一种分时多模态扫描的成像方法,利用多模态涡旋电磁波在不同俯仰角的幅度差异性和在不同方位角的相位差异性,以及雷达与目标相对运动产生的多普勒效应,提出了改进的后向投影-距离多普勒算法,实现了目标三维成像。由于涡旋电磁波的能量发散特点,随着俯仰角增大,高模态方向图增益急剧下降,该文所提方法通过对多个模态在空域能量分布的有效利用,在较大视场角下具有较高的稳定性。基于点目标成像结果,验证了在多模态涡旋波覆盖的较大视场范围内,目标成像结果的归一化等效增益在低俯仰角与高俯仰角处基本相当。所提方法通过对飞机目标的实验验证,根据成像结果可较为准确地重构目标的三维结构。 涡旋电磁波具有独特的波前相位调制特性,其作为一种新的雷达发射端分集模式,可实现目标雷达截面积 (RCS)分集、提升信号与信息处理维度和性能,其探测与成像性能在多种雷达体制中得到了验证。该文针对前视雷达成像的应用背景,基于均匀圆阵发射与圆阵中心单天线接收的收发体制,在建立了电磁涡旋前视雷达信号模型与成像模型的基础上,提出了一种分时多模态扫描的成像方法,利用多模态涡旋电磁波在不同俯仰角的幅度差异性和在不同方位角的相位差异性,以及雷达与目标相对运动产生的多普勒效应,提出了改进的后向投影-距离多普勒算法,实现了目标三维成像。由于涡旋电磁波的能量发散特点,随着俯仰角增大,高模态方向图增益急剧下降,该文所提方法通过对多个模态在空域能量分布的有效利用,在较大视场角下具有较高的稳定性。基于点目标成像结果,验证了在多模态涡旋波覆盖的较大视场范围内,目标成像结果的归一化等效增益在低俯仰角与高俯仰角处基本相当。所提方法通过对飞机目标的实验验证,根据成像结果可较为准确地重构目标的三维结构。
涡旋电磁波具有独特的波前相位调制特性,其作为一种新的雷达发射端分集模式,可实现目标雷达截面积 (RCS)分集、提升信号与信息处理维度和性能,其探测与成像性能在多种雷达体制中得到了验证。该文针对前视雷达成像的应用背景,基于均匀圆阵发射与圆阵中心单天线接收的收发体制,在建立了电磁涡旋前视雷达信号模型与成像模型的基础上,提出了一种分时多模态扫描的成像方法,利用多模态涡旋电磁波在不同俯仰角的幅度差异性和在不同方位角的相位差异性,以及雷达与目标相对运动产生的多普勒效应,提出了改进的后向投影-距离多普勒算法,实现了目标三维成像。由于涡旋电磁波的能量发散特点,随着俯仰角增大,高模态方向图增益急剧下降,该文所提方法通过对多个模态在空域能量分布的有效利用,在较大视场角下具有较高的稳定性。基于点目标成像结果,验证了在多模态涡旋波覆盖的较大视场范围内,目标成像结果的归一化等效增益在低俯仰角与高俯仰角处基本相当。所提方法通过对飞机目标的实验验证,根据成像结果可较为准确地重构目标的三维结构。 涡旋电磁波具有独特的波前相位调制特性,其作为一种新的雷达发射端分集模式,可实现目标雷达截面积 (RCS)分集、提升信号与信息处理维度和性能,其探测与成像性能在多种雷达体制中得到了验证。该文针对前视雷达成像的应用背景,基于均匀圆阵发射与圆阵中心单天线接收的收发体制,在建立了电磁涡旋前视雷达信号模型与成像模型的基础上,提出了一种分时多模态扫描的成像方法,利用多模态涡旋电磁波在不同俯仰角的幅度差异性和在不同方位角的相位差异性,以及雷达与目标相对运动产生的多普勒效应,提出了改进的后向投影-距离多普勒算法,实现了目标三维成像。由于涡旋电磁波的能量发散特点,随着俯仰角增大,高模态方向图增益急剧下降,该文所提方法通过对多个模态在空域能量分布的有效利用,在较大视场角下具有较高的稳定性。基于点目标成像结果,验证了在多模态涡旋波覆盖的较大视场范围内,目标成像结果的归一化等效增益在低俯仰角与高俯仰角处基本相当。所提方法通过对飞机目标的实验验证,根据成像结果可较为准确地重构目标的三维结构。
2024, 13(5): 1123-1133.
摘要:
为了降低阵列互耦对多输入多输出(MIMO)雷达波达角度(DOA)估计性能的影响,实现少量快拍条件下的目标角度估计,该文提出了基于迭代最小化稀疏学习(SLIM)算法的互耦校正和目标角度估计算法。所提算法利用目标回波信号的空域稀疏性,通过迭代优化算法估计了MIMO雷达发射和接收阵列的阵元互耦系数,以及目标稀疏空间谱。该算法无需设置超参数,且具有良好的收敛特性。仿真结果表明,当MIMO雷达发射和接收阵列存在互耦时,如果目标角度间隔较小,所提算法能够在较高信噪比条件下基于少量快拍高精度地估计目标角度;如果目标角度间隔较大,则在较低信噪比和少量快拍条件下仍有较高的角度估计精度。 为了降低阵列互耦对多输入多输出(MIMO)雷达波达角度(DOA)估计性能的影响,实现少量快拍条件下的目标角度估计,该文提出了基于迭代最小化稀疏学习(SLIM)算法的互耦校正和目标角度估计算法。所提算法利用目标回波信号的空域稀疏性,通过迭代优化算法估计了MIMO雷达发射和接收阵列的阵元互耦系数,以及目标稀疏空间谱。该算法无需设置超参数,且具有良好的收敛特性。仿真结果表明,当MIMO雷达发射和接收阵列存在互耦时,如果目标角度间隔较小,所提算法能够在较高信噪比条件下基于少量快拍高精度地估计目标角度;如果目标角度间隔较大,则在较低信噪比和少量快拍条件下仍有较高的角度估计精度。
为了降低阵列互耦对多输入多输出(MIMO)雷达波达角度(DOA)估计性能的影响,实现少量快拍条件下的目标角度估计,该文提出了基于迭代最小化稀疏学习(SLIM)算法的互耦校正和目标角度估计算法。所提算法利用目标回波信号的空域稀疏性,通过迭代优化算法估计了MIMO雷达发射和接收阵列的阵元互耦系数,以及目标稀疏空间谱。该算法无需设置超参数,且具有良好的收敛特性。仿真结果表明,当MIMO雷达发射和接收阵列存在互耦时,如果目标角度间隔较小,所提算法能够在较高信噪比条件下基于少量快拍高精度地估计目标角度;如果目标角度间隔较大,则在较低信噪比和少量快拍条件下仍有较高的角度估计精度。 为了降低阵列互耦对多输入多输出(MIMO)雷达波达角度(DOA)估计性能的影响,实现少量快拍条件下的目标角度估计,该文提出了基于迭代最小化稀疏学习(SLIM)算法的互耦校正和目标角度估计算法。所提算法利用目标回波信号的空域稀疏性,通过迭代优化算法估计了MIMO雷达发射和接收阵列的阵元互耦系数,以及目标稀疏空间谱。该算法无需设置超参数,且具有良好的收敛特性。仿真结果表明,当MIMO雷达发射和接收阵列存在互耦时,如果目标角度间隔较小,所提算法能够在较高信噪比条件下基于少量快拍高精度地估计目标角度;如果目标角度间隔较大,则在较低信噪比和少量快拍条件下仍有较高的角度估计精度。
作者中心
专家审稿
责编办公
编辑办公
上一期
摘要
25945KB
微信 | 公众平台 