2024年 13卷 第3期
2024, 13(3): 501-524.
摘要:
雷达微弱目标处理是实现优异探测性能的基础和前提,在复杂的实际环境应用过程中,由于强杂波干扰、目标信号微弱、图像特征不明显、有效特征难提取等问题,导致雷达微弱目标检测与识别一直是雷达处理领域中的难点之一。传统模型类处理方法与实际工作背景和目标特性匹配不精准,导致通用性不强。近年来,深度学习在雷达智能信息处理领域取得了显著进展,深度学习算法通过构建深层神经网络,可以自动地从大量雷达数据中学习特征表示,提高目标检测和识别的性能。该文分别从雷达目标微弱信号处理、图像处理、特征学习等多个方面系统梳理和总结近年来雷达微弱目标智能化处理的研究进展,具体包括噪声与杂波抑制、微弱目标信号增强;低、高分辨雷达图像和特征图处理;特征提取、融合、目标分类与识别等。针对目前微弱目标智能化处理应用存在的泛化能力有限、特征单一、可解释性不足等问题,从小样本目标检测(迁移学习、强化学习)、多维多特征融合检测、网络模型可解释性、知识与数据联合驱动等方面对未来发展进行了展望。 雷达微弱目标处理是实现优异探测性能的基础和前提,在复杂的实际环境应用过程中,由于强杂波干扰、目标信号微弱、图像特征不明显、有效特征难提取等问题,导致雷达微弱目标检测与识别一直是雷达处理领域中的难点之一。传统模型类处理方法与实际工作背景和目标特性匹配不精准,导致通用性不强。近年来,深度学习在雷达智能信息处理领域取得了显著进展,深度学习算法通过构建深层神经网络,可以自动地从大量雷达数据中学习特征表示,提高目标检测和识别的性能。该文分别从雷达目标微弱信号处理、图像处理、特征学习等多个方面系统梳理和总结近年来雷达微弱目标智能化处理的研究进展,具体包括噪声与杂波抑制、微弱目标信号增强;低、高分辨雷达图像和特征图处理;特征提取、融合、目标分类与识别等。针对目前微弱目标智能化处理应用存在的泛化能力有限、特征单一、可解释性不足等问题,从小样本目标检测(迁移学习、强化学习)、多维多特征融合检测、网络模型可解释性、知识与数据联合驱动等方面对未来发展进行了展望。
雷达微弱目标处理是实现优异探测性能的基础和前提,在复杂的实际环境应用过程中,由于强杂波干扰、目标信号微弱、图像特征不明显、有效特征难提取等问题,导致雷达微弱目标检测与识别一直是雷达处理领域中的难点之一。传统模型类处理方法与实际工作背景和目标特性匹配不精准,导致通用性不强。近年来,深度学习在雷达智能信息处理领域取得了显著进展,深度学习算法通过构建深层神经网络,可以自动地从大量雷达数据中学习特征表示,提高目标检测和识别的性能。该文分别从雷达目标微弱信号处理、图像处理、特征学习等多个方面系统梳理和总结近年来雷达微弱目标智能化处理的研究进展,具体包括噪声与杂波抑制、微弱目标信号增强;低、高分辨雷达图像和特征图处理;特征提取、融合、目标分类与识别等。针对目前微弱目标智能化处理应用存在的泛化能力有限、特征单一、可解释性不足等问题,从小样本目标检测(迁移学习、强化学习)、多维多特征融合检测、网络模型可解释性、知识与数据联合驱动等方面对未来发展进行了展望。 雷达微弱目标处理是实现优异探测性能的基础和前提,在复杂的实际环境应用过程中,由于强杂波干扰、目标信号微弱、图像特征不明显、有效特征难提取等问题,导致雷达微弱目标检测与识别一直是雷达处理领域中的难点之一。传统模型类处理方法与实际工作背景和目标特性匹配不精准,导致通用性不强。近年来,深度学习在雷达智能信息处理领域取得了显著进展,深度学习算法通过构建深层神经网络,可以自动地从大量雷达数据中学习特征表示,提高目标检测和识别的性能。该文分别从雷达目标微弱信号处理、图像处理、特征学习等多个方面系统梳理和总结近年来雷达微弱目标智能化处理的研究进展,具体包括噪声与杂波抑制、微弱目标信号增强;低、高分辨雷达图像和特征图处理;特征提取、融合、目标分类与识别等。针对目前微弱目标智能化处理应用存在的泛化能力有限、特征单一、可解释性不足等问题,从小样本目标检测(迁移学习、强化学习)、多维多特征融合检测、网络模型可解释性、知识与数据联合驱动等方面对未来发展进行了展望。
2024, 13(3): 525-538.
摘要:
地物精细分类是合成孔径雷达(SAR)的主要应用方向之一。在多波段全极化SAR工作模式下,可充分获取目标不同波段信息和极化响应特征,有望提高目标分类精度。然而国内外现有的数据集仅有个别波段、少数地区、少量样本的低分辨率全极化分类数据。为推动多波段全极化SAR分类应用的发展,在高分航空观测系统应用校飞与验证项目支持下,利用多维度SAR在海南的校飞数据构建了一个样本量充分大、地物类别较为丰富、分类可靠性较高的多波段全极化精细分类数据集。该文概述了该数据集的构成,给出了发布数据(MPOLSAR-1.0)的信息描述方式、数据集制作流程和方法,并分别基于极化特征分类方法和经典机器学习分类方法给出了初步的分类实验结果,为该数据集的共享和应用提供支撑。 地物精细分类是合成孔径雷达(SAR)的主要应用方向之一。在多波段全极化SAR工作模式下,可充分获取目标不同波段信息和极化响应特征,有望提高目标分类精度。然而国内外现有的数据集仅有个别波段、少数地区、少量样本的低分辨率全极化分类数据。为推动多波段全极化SAR分类应用的发展,在高分航空观测系统应用校飞与验证项目支持下,利用多维度SAR在海南的校飞数据构建了一个样本量充分大、地物类别较为丰富、分类可靠性较高的多波段全极化精细分类数据集。该文概述了该数据集的构成,给出了发布数据(MPOLSAR-1.0)的信息描述方式、数据集制作流程和方法,并分别基于极化特征分类方法和经典机器学习分类方法给出了初步的分类实验结果,为该数据集的共享和应用提供支撑。
地物精细分类是合成孔径雷达(SAR)的主要应用方向之一。在多波段全极化SAR工作模式下,可充分获取目标不同波段信息和极化响应特征,有望提高目标分类精度。然而国内外现有的数据集仅有个别波段、少数地区、少量样本的低分辨率全极化分类数据。为推动多波段全极化SAR分类应用的发展,在高分航空观测系统应用校飞与验证项目支持下,利用多维度SAR在海南的校飞数据构建了一个样本量充分大、地物类别较为丰富、分类可靠性较高的多波段全极化精细分类数据集。该文概述了该数据集的构成,给出了发布数据(MPOLSAR-1.0)的信息描述方式、数据集制作流程和方法,并分别基于极化特征分类方法和经典机器学习分类方法给出了初步的分类实验结果,为该数据集的共享和应用提供支撑。 地物精细分类是合成孔径雷达(SAR)的主要应用方向之一。在多波段全极化SAR工作模式下,可充分获取目标不同波段信息和极化响应特征,有望提高目标分类精度。然而国内外现有的数据集仅有个别波段、少数地区、少量样本的低分辨率全极化分类数据。为推动多波段全极化SAR分类应用的发展,在高分航空观测系统应用校飞与验证项目支持下,利用多维度SAR在海南的校飞数据构建了一个样本量充分大、地物类别较为丰富、分类可靠性较高的多波段全极化精细分类数据集。该文概述了该数据集的构成,给出了发布数据(MPOLSAR-1.0)的信息描述方式、数据集制作流程和方法,并分别基于极化特征分类方法和经典机器学习分类方法给出了初步的分类实验结果,为该数据集的共享和应用提供支撑。
2024, 13(3): 539-553.
摘要:
无人机等低慢小目标探测对雷达目标检测和识别技术提出了很高的挑战,迫切需要构建相关数据集,支撑低慢小探测技术的发展和应用。该文公开了一个多波段调频连续波(FMCW)雷达低慢小目标探测数据集,基于Ku波段和L波段的FMCW雷达采集6种类型的无人机回波数据,通过雷达调制周期和调制带宽,具备不同时域和频域分辨和测量能力,构建了多波段FMCW雷达低慢小探测数据集(LSS-FMCWR-1.0)。为了进一步提升无人机微动特征提取能力,该文提出基于局部极大值同步提取变换的无人机微动提取和参数估计方法,在短时傅里叶变换的基础上提取时频能量最大值,保留有用信号分量,实现精细化时频表示。基于LSS-FMCWR-1.0进行验证分析,结果表明该方法相较于传统时频方法,熵值平均降低了5.3 dB,旋翼叶长估计误差降低了27.7%,所提方法兼顾高时频分辨率和较高的参数估计精度,为后续目标识别奠定了基础。 无人机等低慢小目标探测对雷达目标检测和识别技术提出了很高的挑战,迫切需要构建相关数据集,支撑低慢小探测技术的发展和应用。该文公开了一个多波段调频连续波(FMCW)雷达低慢小目标探测数据集,基于Ku波段和L波段的FMCW雷达采集6种类型的无人机回波数据,通过雷达调制周期和调制带宽,具备不同时域和频域分辨和测量能力,构建了多波段FMCW雷达低慢小探测数据集(LSS-FMCWR-1.0)。为了进一步提升无人机微动特征提取能力,该文提出基于局部极大值同步提取变换的无人机微动提取和参数估计方法,在短时傅里叶变换的基础上提取时频能量最大值,保留有用信号分量,实现精细化时频表示。基于LSS-FMCWR-1.0进行验证分析,结果表明该方法相较于传统时频方法,熵值平均降低了5.3 dB,旋翼叶长估计误差降低了27.7%,所提方法兼顾高时频分辨率和较高的参数估计精度,为后续目标识别奠定了基础。
无人机等低慢小目标探测对雷达目标检测和识别技术提出了很高的挑战,迫切需要构建相关数据集,支撑低慢小探测技术的发展和应用。该文公开了一个多波段调频连续波(FMCW)雷达低慢小目标探测数据集,基于Ku波段和L波段的FMCW雷达采集6种类型的无人机回波数据,通过雷达调制周期和调制带宽,具备不同时域和频域分辨和测量能力,构建了多波段FMCW雷达低慢小探测数据集(LSS-FMCWR-1.0)。为了进一步提升无人机微动特征提取能力,该文提出基于局部极大值同步提取变换的无人机微动提取和参数估计方法,在短时傅里叶变换的基础上提取时频能量最大值,保留有用信号分量,实现精细化时频表示。基于LSS-FMCWR-1.0进行验证分析,结果表明该方法相较于传统时频方法,熵值平均降低了5.3 dB,旋翼叶长估计误差降低了27.7%,所提方法兼顾高时频分辨率和较高的参数估计精度,为后续目标识别奠定了基础。 无人机等低慢小目标探测对雷达目标检测和识别技术提出了很高的挑战,迫切需要构建相关数据集,支撑低慢小探测技术的发展和应用。该文公开了一个多波段调频连续波(FMCW)雷达低慢小目标探测数据集,基于Ku波段和L波段的FMCW雷达采集6种类型的无人机回波数据,通过雷达调制周期和调制带宽,具备不同时域和频域分辨和测量能力,构建了多波段FMCW雷达低慢小探测数据集(LSS-FMCWR-1.0)。为了进一步提升无人机微动特征提取能力,该文提出基于局部极大值同步提取变换的无人机微动提取和参数估计方法,在短时傅里叶变换的基础上提取时频能量最大值,保留有用信号分量,实现精细化时频表示。基于LSS-FMCWR-1.0进行验证分析,结果表明该方法相较于传统时频方法,熵值平均降低了5.3 dB,旋翼叶长估计误差降低了27.7%,所提方法兼顾高时频分辨率和较高的参数估计精度,为后续目标识别奠定了基础。
2024, 13(3): 554-564.
摘要:
该文考虑了海杂波环境下的雷达目标检测问题,提出了一种基于深度学习的海面目标检测器。该检测器通过融合从不同数据源中提取的多种互补性特征以增加目标和杂波的差异性,从而提升对海面目标的检测性能。具体来说,该检测器首先利用两个特征提取分支分别从距离像和距离多普勒谱图中提取多层次快时间特征和距离特征;然后,设计局部-全局特征提取结构从特征的慢时间维度或多普勒维度提取序列关联性;接着,提出基于自适应卷积权重学习的特征融合模块,实现快慢时间特征和距离多普勒特征的高效融合;最后,对多层次特征进行融合、上采样和非线性映射获得检测结果。基于两个公开雷达数据集上的实验验证了所提检测器的检测性能。 该文考虑了海杂波环境下的雷达目标检测问题,提出了一种基于深度学习的海面目标检测器。该检测器通过融合从不同数据源中提取的多种互补性特征以增加目标和杂波的差异性,从而提升对海面目标的检测性能。具体来说,该检测器首先利用两个特征提取分支分别从距离像和距离多普勒谱图中提取多层次快时间特征和距离特征;然后,设计局部-全局特征提取结构从特征的慢时间维度或多普勒维度提取序列关联性;接着,提出基于自适应卷积权重学习的特征融合模块,实现快慢时间特征和距离多普勒特征的高效融合;最后,对多层次特征进行融合、上采样和非线性映射获得检测结果。基于两个公开雷达数据集上的实验验证了所提检测器的检测性能。
该文考虑了海杂波环境下的雷达目标检测问题,提出了一种基于深度学习的海面目标检测器。该检测器通过融合从不同数据源中提取的多种互补性特征以增加目标和杂波的差异性,从而提升对海面目标的检测性能。具体来说,该检测器首先利用两个特征提取分支分别从距离像和距离多普勒谱图中提取多层次快时间特征和距离特征;然后,设计局部-全局特征提取结构从特征的慢时间维度或多普勒维度提取序列关联性;接着,提出基于自适应卷积权重学习的特征融合模块,实现快慢时间特征和距离多普勒特征的高效融合;最后,对多层次特征进行融合、上采样和非线性映射获得检测结果。基于两个公开雷达数据集上的实验验证了所提检测器的检测性能。 该文考虑了海杂波环境下的雷达目标检测问题,提出了一种基于深度学习的海面目标检测器。该检测器通过融合从不同数据源中提取的多种互补性特征以增加目标和杂波的差异性,从而提升对海面目标的检测性能。具体来说,该检测器首先利用两个特征提取分支分别从距离像和距离多普勒谱图中提取多层次快时间特征和距离特征;然后,设计局部-全局特征提取结构从特征的慢时间维度或多普勒维度提取序列关联性;接着,提出基于自适应卷积权重学习的特征融合模块,实现快慢时间特征和距离多普勒特征的高效融合;最后,对多层次特征进行融合、上采样和非线性映射获得检测结果。基于两个公开雷达数据集上的实验验证了所提检测器的检测性能。
2024, 13(3): 565-583.
摘要:
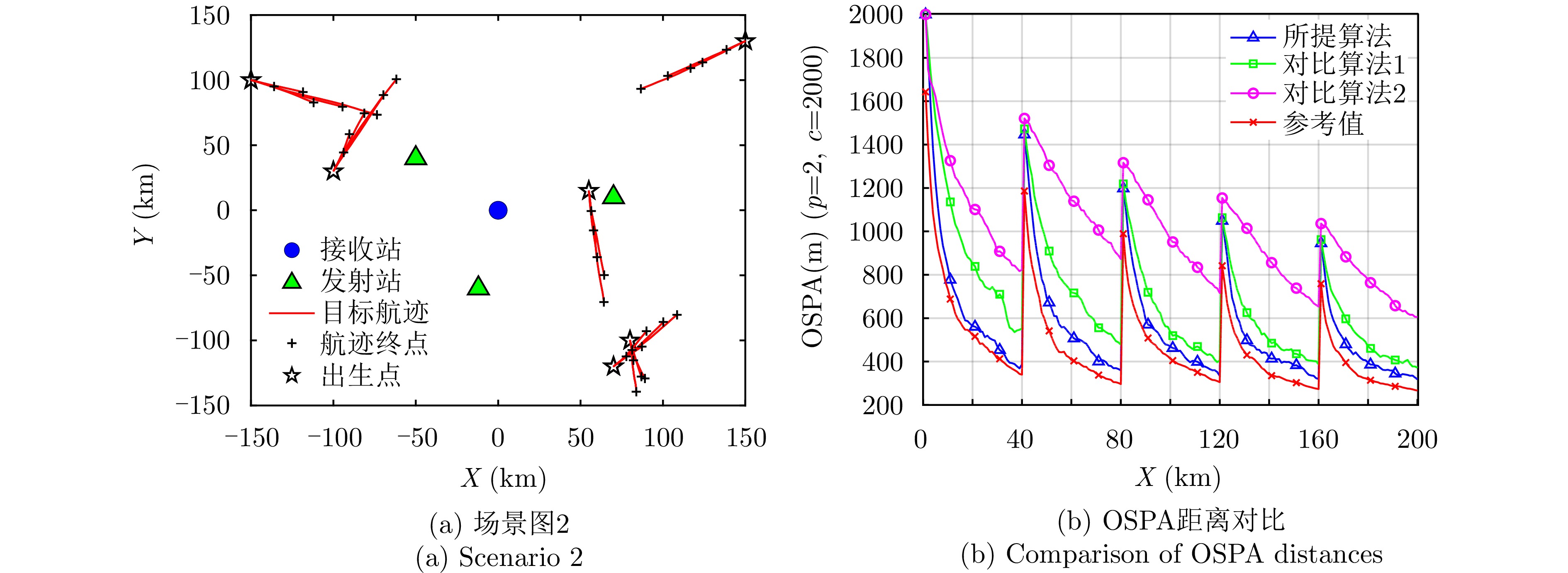
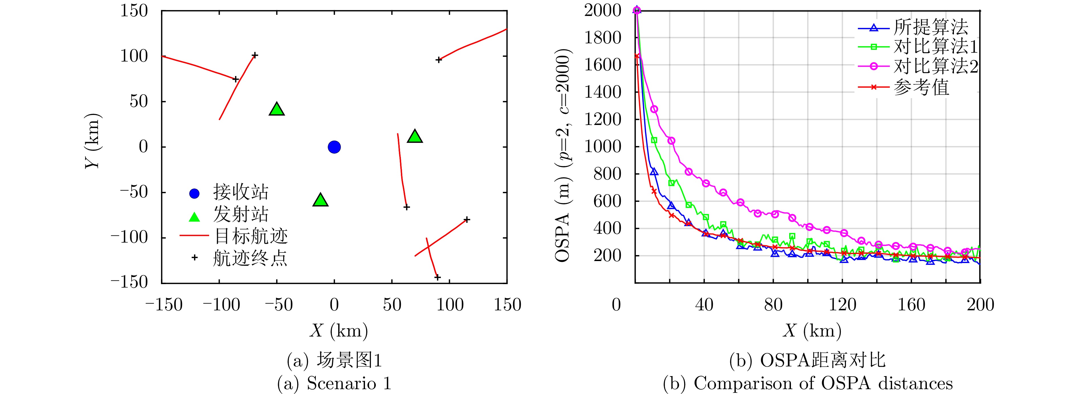
该文针对分布式相控阵多雷达网络的多目标跟踪场景,研究非理想检测条件下的节点选择与辐射资源联合优化分配算法。首先,根据分布式相控阵多雷达网络构成、目标运动模型、雷达量测模型以及雷达节点检测情况,推导非理想检测下以雷达节点选择、辐射功率和信号带宽为变量的贝叶斯克拉默-拉奥下界(BCRLB)闭式解析表达式,并以此作为多目标跟踪精度衡量指标。在此基础上,以最小化系统各雷达节点对所有目标的总辐射功率为优化目标,以满足目标跟踪精度门限以及给定的系统射频辐射资源限制为约束条件,建立非理想检测条件下多雷达网络节点选择与辐射资源联合优化分配模型,对各时刻雷达节点选择、辐射功率和信号带宽等参数进行联合优化设计,以提升多雷达网络的射频隐身性能。最后,针对上述非线性、非凸优化问题,采用基于障碍函数法和循环最小化算法的4步分解算法进行求解。仿真结果表明,与现有算法相比,所提算法能在满足给定多目标跟踪精度的条件下有效降低分布式相控阵多雷达网络的总辐射功率,至少降低了约32.3%,从而提升其射频隐身性能。 该文针对分布式相控阵多雷达网络的多目标跟踪场景,研究非理想检测条件下的节点选择与辐射资源联合优化分配算法。首先,根据分布式相控阵多雷达网络构成、目标运动模型、雷达量测模型以及雷达节点检测情况,推导非理想检测下以雷达节点选择、辐射功率和信号带宽为变量的贝叶斯克拉默-拉奥下界(BCRLB)闭式解析表达式,并以此作为多目标跟踪精度衡量指标。在此基础上,以最小化系统各雷达节点对所有目标的总辐射功率为优化目标,以满足目标跟踪精度门限以及给定的系统射频辐射资源限制为约束条件,建立非理想检测条件下多雷达网络节点选择与辐射资源联合优化分配模型,对各时刻雷达节点选择、辐射功率和信号带宽等参数进行联合优化设计,以提升多雷达网络的射频隐身性能。最后,针对上述非线性、非凸优化问题,采用基于障碍函数法和循环最小化算法的4步分解算法进行求解。仿真结果表明,与现有算法相比,所提算法能在满足给定多目标跟踪精度的条件下有效降低分布式相控阵多雷达网络的总辐射功率,至少降低了约32.3%,从而提升其射频隐身性能。
该文针对分布式相控阵多雷达网络的多目标跟踪场景,研究非理想检测条件下的节点选择与辐射资源联合优化分配算法。首先,根据分布式相控阵多雷达网络构成、目标运动模型、雷达量测模型以及雷达节点检测情况,推导非理想检测下以雷达节点选择、辐射功率和信号带宽为变量的贝叶斯克拉默-拉奥下界(BCRLB)闭式解析表达式,并以此作为多目标跟踪精度衡量指标。在此基础上,以最小化系统各雷达节点对所有目标的总辐射功率为优化目标,以满足目标跟踪精度门限以及给定的系统射频辐射资源限制为约束条件,建立非理想检测条件下多雷达网络节点选择与辐射资源联合优化分配模型,对各时刻雷达节点选择、辐射功率和信号带宽等参数进行联合优化设计,以提升多雷达网络的射频隐身性能。最后,针对上述非线性、非凸优化问题,采用基于障碍函数法和循环最小化算法的4步分解算法进行求解。仿真结果表明,与现有算法相比,所提算法能在满足给定多目标跟踪精度的条件下有效降低分布式相控阵多雷达网络的总辐射功率,至少降低了约32.3%,从而提升其射频隐身性能。 该文针对分布式相控阵多雷达网络的多目标跟踪场景,研究非理想检测条件下的节点选择与辐射资源联合优化分配算法。首先,根据分布式相控阵多雷达网络构成、目标运动模型、雷达量测模型以及雷达节点检测情况,推导非理想检测下以雷达节点选择、辐射功率和信号带宽为变量的贝叶斯克拉默-拉奥下界(BCRLB)闭式解析表达式,并以此作为多目标跟踪精度衡量指标。在此基础上,以最小化系统各雷达节点对所有目标的总辐射功率为优化目标,以满足目标跟踪精度门限以及给定的系统射频辐射资源限制为约束条件,建立非理想检测条件下多雷达网络节点选择与辐射资源联合优化分配模型,对各时刻雷达节点选择、辐射功率和信号带宽等参数进行联合优化设计,以提升多雷达网络的射频隐身性能。最后,针对上述非线性、非凸优化问题,采用基于障碍函数法和循环最小化算法的4步分解算法进行求解。仿真结果表明,与现有算法相比,所提算法能在满足给定多目标跟踪精度的条件下有效降低分布式相控阵多雷达网络的总辐射功率,至少降低了约32.3%,从而提升其射频隐身性能。
2024, 13(3): 584-600.
摘要:
动平台分布式雷达系统可有效提升系统的生存能力和探测性能,但运动平台之间通常采用无线传输方式,难以配备大通信带宽以传输完整的信号数据,给雷达系统的高性能检测带来极大挑战。由于低比特量化技术可显著降低分布式系统的通信传输代价和计算资源消耗,该文针对低信噪比弱信号环境下提出了动平台分布式雷达系统的低比特量化运动目标检测算法。首先,根据系统资源将各节点的多脉冲观测数据选择对应位数的低比特量化器进行量化,推导了关于量化器和多个目标状态的似然函数。其次,证明了低比特量化数据对应似然函数关于未知目标反射系数的凸性,并基于该特性设计了多普勒频移和反射系数的联合估计器。然后,针对探测区域中存在的多个状态未知目标设计了多目标检测器,推导了其恒虚警率门限。最后,通过推导系统的渐近性能设计了最优低比特量化器,在保证系统鲁棒性的同时有效提升了系统的检测性能。仿真实验分析了所提算法的检测与估计性能,结果证明了所提算法在低信噪比弱信号环境下的有效性,同时表明低比特量化数据可在仅占用低于20%通信带宽的基础上实现接近高精度(16比特量化)数据对应的检测和估计性能,且2比特量化策略可作为检测性能和雷达系统资源消耗的折中选择。 动平台分布式雷达系统可有效提升系统的生存能力和探测性能,但运动平台之间通常采用无线传输方式,难以配备大通信带宽以传输完整的信号数据,给雷达系统的高性能检测带来极大挑战。由于低比特量化技术可显著降低分布式系统的通信传输代价和计算资源消耗,该文针对低信噪比弱信号环境下提出了动平台分布式雷达系统的低比特量化运动目标检测算法。首先,根据系统资源将各节点的多脉冲观测数据选择对应位数的低比特量化器进行量化,推导了关于量化器和多个目标状态的似然函数。其次,证明了低比特量化数据对应似然函数关于未知目标反射系数的凸性,并基于该特性设计了多普勒频移和反射系数的联合估计器。然后,针对探测区域中存在的多个状态未知目标设计了多目标检测器,推导了其恒虚警率门限。最后,通过推导系统的渐近性能设计了最优低比特量化器,在保证系统鲁棒性的同时有效提升了系统的检测性能。仿真实验分析了所提算法的检测与估计性能,结果证明了所提算法在低信噪比弱信号环境下的有效性,同时表明低比特量化数据可在仅占用低于20%通信带宽的基础上实现接近高精度(16比特量化)数据对应的检测和估计性能,且2比特量化策略可作为检测性能和雷达系统资源消耗的折中选择。
动平台分布式雷达系统可有效提升系统的生存能力和探测性能,但运动平台之间通常采用无线传输方式,难以配备大通信带宽以传输完整的信号数据,给雷达系统的高性能检测带来极大挑战。由于低比特量化技术可显著降低分布式系统的通信传输代价和计算资源消耗,该文针对低信噪比弱信号环境下提出了动平台分布式雷达系统的低比特量化运动目标检测算法。首先,根据系统资源将各节点的多脉冲观测数据选择对应位数的低比特量化器进行量化,推导了关于量化器和多个目标状态的似然函数。其次,证明了低比特量化数据对应似然函数关于未知目标反射系数的凸性,并基于该特性设计了多普勒频移和反射系数的联合估计器。然后,针对探测区域中存在的多个状态未知目标设计了多目标检测器,推导了其恒虚警率门限。最后,通过推导系统的渐近性能设计了最优低比特量化器,在保证系统鲁棒性的同时有效提升了系统的检测性能。仿真实验分析了所提算法的检测与估计性能,结果证明了所提算法在低信噪比弱信号环境下的有效性,同时表明低比特量化数据可在仅占用低于20%通信带宽的基础上实现接近高精度(16比特量化)数据对应的检测和估计性能,且2比特量化策略可作为检测性能和雷达系统资源消耗的折中选择。 动平台分布式雷达系统可有效提升系统的生存能力和探测性能,但运动平台之间通常采用无线传输方式,难以配备大通信带宽以传输完整的信号数据,给雷达系统的高性能检测带来极大挑战。由于低比特量化技术可显著降低分布式系统的通信传输代价和计算资源消耗,该文针对低信噪比弱信号环境下提出了动平台分布式雷达系统的低比特量化运动目标检测算法。首先,根据系统资源将各节点的多脉冲观测数据选择对应位数的低比特量化器进行量化,推导了关于量化器和多个目标状态的似然函数。其次,证明了低比特量化数据对应似然函数关于未知目标反射系数的凸性,并基于该特性设计了多普勒频移和反射系数的联合估计器。然后,针对探测区域中存在的多个状态未知目标设计了多目标检测器,推导了其恒虚警率门限。最后,通过推导系统的渐近性能设计了最优低比特量化器,在保证系统鲁棒性的同时有效提升了系统的检测性能。仿真实验分析了所提算法的检测与估计性能,结果证明了所提算法在低信噪比弱信号环境下的有效性,同时表明低比特量化数据可在仅占用低于20%通信带宽的基础上实现接近高精度(16比特量化)数据对应的检测和估计性能,且2比特量化策略可作为检测性能和雷达系统资源消耗的折中选择。
2024, 13(3): 601-612.
摘要:
基于调频(FM)广播信号的外辐射源雷达有着检测概率低、虚警率高、量测精度差的特点,这给组网目标跟踪带来了极大挑战。一方面,较高的虚警率使计算量增加,组网算法的实时性受到考验;另一方面,检测概率低、方位角精度差造成冗余信息缺乏,量测关联与航迹起始变得困难。为解决这些问题,该文提出初级假设点和初级假设航迹的概念,以及基于此概念的FM广播外辐射源雷达网航迹起始算法。首先构造可能的低维关联假设,并解算出与其对应的初级假设点;随后关联不同时刻的初级假设点,形成多条可能的初级假设航迹;最后联合多场雷达网数据进行假设航迹判决,真实目标对应的初级假设航迹会得到确认,错误关联导致的虚假初级假设航迹会被剔除。相比于已有算法,所提算法有着更低的计算量,更快的航迹起始速度,仿真与实测结果均验证了所提算法的有效性。 基于调频(FM)广播信号的外辐射源雷达有着检测概率低、虚警率高、量测精度差的特点,这给组网目标跟踪带来了极大挑战。一方面,较高的虚警率使计算量增加,组网算法的实时性受到考验;另一方面,检测概率低、方位角精度差造成冗余信息缺乏,量测关联与航迹起始变得困难。为解决这些问题,该文提出初级假设点和初级假设航迹的概念,以及基于此概念的FM广播外辐射源雷达网航迹起始算法。首先构造可能的低维关联假设,并解算出与其对应的初级假设点;随后关联不同时刻的初级假设点,形成多条可能的初级假设航迹;最后联合多场雷达网数据进行假设航迹判决,真实目标对应的初级假设航迹会得到确认,错误关联导致的虚假初级假设航迹会被剔除。相比于已有算法,所提算法有着更低的计算量,更快的航迹起始速度,仿真与实测结果均验证了所提算法的有效性。
基于调频(FM)广播信号的外辐射源雷达有着检测概率低、虚警率高、量测精度差的特点,这给组网目标跟踪带来了极大挑战。一方面,较高的虚警率使计算量增加,组网算法的实时性受到考验;另一方面,检测概率低、方位角精度差造成冗余信息缺乏,量测关联与航迹起始变得困难。为解决这些问题,该文提出初级假设点和初级假设航迹的概念,以及基于此概念的FM广播外辐射源雷达网航迹起始算法。首先构造可能的低维关联假设,并解算出与其对应的初级假设点;随后关联不同时刻的初级假设点,形成多条可能的初级假设航迹;最后联合多场雷达网数据进行假设航迹判决,真实目标对应的初级假设航迹会得到确认,错误关联导致的虚假初级假设航迹会被剔除。相比于已有算法,所提算法有着更低的计算量,更快的航迹起始速度,仿真与实测结果均验证了所提算法的有效性。 基于调频(FM)广播信号的外辐射源雷达有着检测概率低、虚警率高、量测精度差的特点,这给组网目标跟踪带来了极大挑战。一方面,较高的虚警率使计算量增加,组网算法的实时性受到考验;另一方面,检测概率低、方位角精度差造成冗余信息缺乏,量测关联与航迹起始变得困难。为解决这些问题,该文提出初级假设点和初级假设航迹的概念,以及基于此概念的FM广播外辐射源雷达网航迹起始算法。首先构造可能的低维关联假设,并解算出与其对应的初级假设点;随后关联不同时刻的初级假设点,形成多条可能的初级假设航迹;最后联合多场雷达网数据进行假设航迹判决,真实目标对应的初级假设航迹会得到确认,错误关联导致的虚假初级假设航迹会被剔除。相比于已有算法,所提算法有着更低的计算量,更快的航迹起始速度,仿真与实测结果均验证了所提算法的有效性。
2024, 13(3): 613-628.
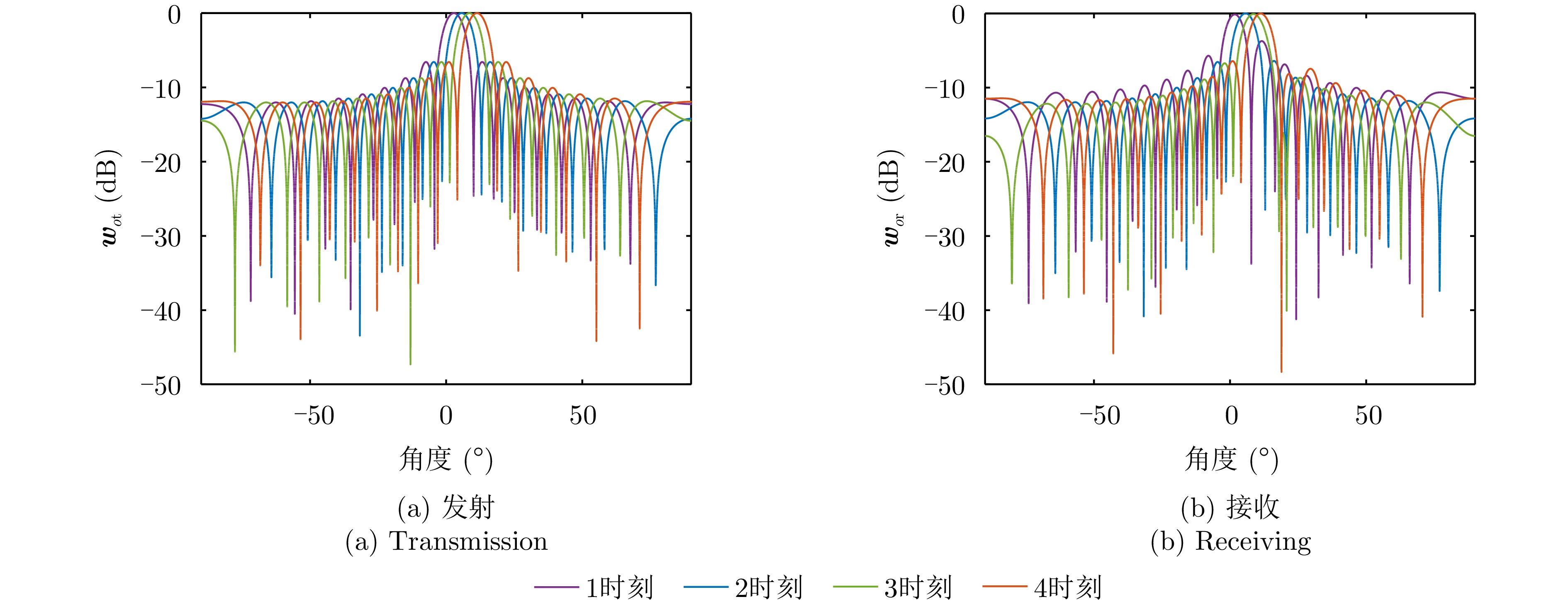
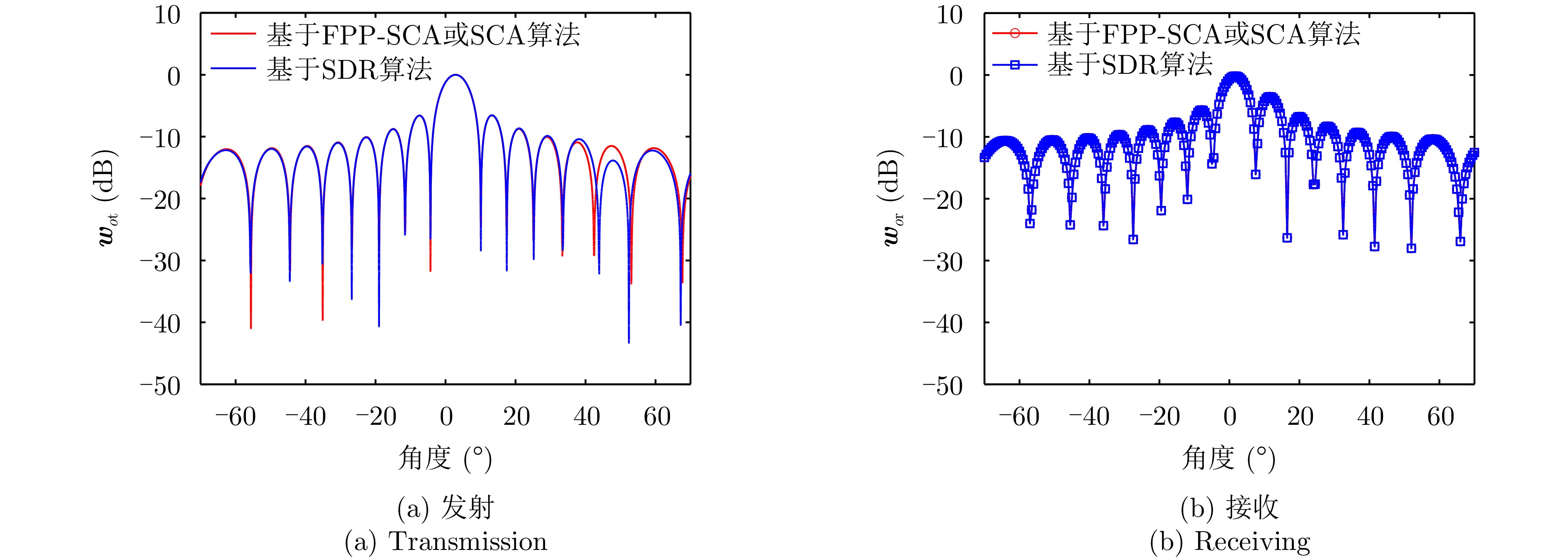
摘要:
现代雷达对抗形势复杂多变,体系与体系的作战已成为基本特点,而体系整体性能关乎着战场的主动权乃至最终的胜负。通过优化体系中雷达与干扰波束资源可以提升整体性能,获得在空间、时间域优效的低截获探测性能,然而空时域协同波束联合优化是一个复杂多参数耦合的非凸问题。该文针对空时域多任务动态场景,建立了以雷达探测性能为优化目标,以干扰性能以及能量限制为约束条件的优化模型。为求解该模型,该文提出了基于迭代优化的空时协同波束联合设计方法,即以雷达发射、接收、多干扰机发射波束交替迭代优化。其中,针对多干扰机协同优化的不定矩阵二次约束二次规划(QCQP)问题,该文基于可行点追踪-连续凸逼近(FPP-SCA)算法,在SCA算法的基础上,通过引入松弛变量与惩罚项,保证算法在合理松弛度下的可行性,解决了矩阵不定情况下难以获得可行解的问题。仿真表明,在一定的干扰机能量约束下,该文所提方法在保证雷达高性能探测目标且不受干扰情况下,同时实现了多干扰机在空时域干扰对方每个平台以掩护我方雷达探测的效果;相比传统算法,在动态场景中基于FPP-SCA算法的协同干扰具有更优效果。 现代雷达对抗形势复杂多变,体系与体系的作战已成为基本特点,而体系整体性能关乎着战场的主动权乃至最终的胜负。通过优化体系中雷达与干扰波束资源可以提升整体性能,获得在空间、时间域优效的低截获探测性能,然而空时域协同波束联合优化是一个复杂多参数耦合的非凸问题。该文针对空时域多任务动态场景,建立了以雷达探测性能为优化目标,以干扰性能以及能量限制为约束条件的优化模型。为求解该模型,该文提出了基于迭代优化的空时协同波束联合设计方法,即以雷达发射、接收、多干扰机发射波束交替迭代优化。其中,针对多干扰机协同优化的不定矩阵二次约束二次规划(QCQP)问题,该文基于可行点追踪-连续凸逼近(FPP-SCA)算法,在SCA算法的基础上,通过引入松弛变量与惩罚项,保证算法在合理松弛度下的可行性,解决了矩阵不定情况下难以获得可行解的问题。仿真表明,在一定的干扰机能量约束下,该文所提方法在保证雷达高性能探测目标且不受干扰情况下,同时实现了多干扰机在空时域干扰对方每个平台以掩护我方雷达探测的效果;相比传统算法,在动态场景中基于FPP-SCA算法的协同干扰具有更优效果。
现代雷达对抗形势复杂多变,体系与体系的作战已成为基本特点,而体系整体性能关乎着战场的主动权乃至最终的胜负。通过优化体系中雷达与干扰波束资源可以提升整体性能,获得在空间、时间域优效的低截获探测性能,然而空时域协同波束联合优化是一个复杂多参数耦合的非凸问题。该文针对空时域多任务动态场景,建立了以雷达探测性能为优化目标,以干扰性能以及能量限制为约束条件的优化模型。为求解该模型,该文提出了基于迭代优化的空时协同波束联合设计方法,即以雷达发射、接收、多干扰机发射波束交替迭代优化。其中,针对多干扰机协同优化的不定矩阵二次约束二次规划(QCQP)问题,该文基于可行点追踪-连续凸逼近(FPP-SCA)算法,在SCA算法的基础上,通过引入松弛变量与惩罚项,保证算法在合理松弛度下的可行性,解决了矩阵不定情况下难以获得可行解的问题。仿真表明,在一定的干扰机能量约束下,该文所提方法在保证雷达高性能探测目标且不受干扰情况下,同时实现了多干扰机在空时域干扰对方每个平台以掩护我方雷达探测的效果;相比传统算法,在动态场景中基于FPP-SCA算法的协同干扰具有更优效果。 现代雷达对抗形势复杂多变,体系与体系的作战已成为基本特点,而体系整体性能关乎着战场的主动权乃至最终的胜负。通过优化体系中雷达与干扰波束资源可以提升整体性能,获得在空间、时间域优效的低截获探测性能,然而空时域协同波束联合优化是一个复杂多参数耦合的非凸问题。该文针对空时域多任务动态场景,建立了以雷达探测性能为优化目标,以干扰性能以及能量限制为约束条件的优化模型。为求解该模型,该文提出了基于迭代优化的空时协同波束联合设计方法,即以雷达发射、接收、多干扰机发射波束交替迭代优化。其中,针对多干扰机协同优化的不定矩阵二次约束二次规划(QCQP)问题,该文基于可行点追踪-连续凸逼近(FPP-SCA)算法,在SCA算法的基础上,通过引入松弛变量与惩罚项,保证算法在合理松弛度下的可行性,解决了矩阵不定情况下难以获得可行解的问题。仿真表明,在一定的干扰机能量约束下,该文所提方法在保证雷达高性能探测目标且不受干扰情况下,同时实现了多干扰机在空时域干扰对方每个平台以掩护我方雷达探测的效果;相比传统算法,在动态场景中基于FPP-SCA算法的协同干扰具有更优效果。
2024, 13(3): 629-645.
摘要:
针对复杂的机动扩展目标跟踪问题,利用Transformer网络设计了一种有效的星凸不规则形状机动扩展目标跟踪方法。首先,该文研究利用alpha-shape算法建立了星凸形状的变化模型,实现了静态场景下的星凸形扩展目标的形状估计。然后,通过对目标状态转移矩阵进行重新设计,结合Transformer网络对机动扩展目标运动状态转移矩阵进行实时估计,实现了对复杂机动目标运动过程的精准跟踪。进一步地,将估计得到的形状轮廓与运动状态进行融合,最终实现了对星凸形机动扩展目标的实时跟踪。最后,通过构造复杂的机动扩展目标跟踪场景,利用多重性能指标测试算法对形状和运动状态的综合估计性能,验证了算法的有效性。 针对复杂的机动扩展目标跟踪问题,利用Transformer网络设计了一种有效的星凸不规则形状机动扩展目标跟踪方法。首先,该文研究利用alpha-shape算法建立了星凸形状的变化模型,实现了静态场景下的星凸形扩展目标的形状估计。然后,通过对目标状态转移矩阵进行重新设计,结合Transformer网络对机动扩展目标运动状态转移矩阵进行实时估计,实现了对复杂机动目标运动过程的精准跟踪。进一步地,将估计得到的形状轮廓与运动状态进行融合,最终实现了对星凸形机动扩展目标的实时跟踪。最后,通过构造复杂的机动扩展目标跟踪场景,利用多重性能指标测试算法对形状和运动状态的综合估计性能,验证了算法的有效性。
针对复杂的机动扩展目标跟踪问题,利用Transformer网络设计了一种有效的星凸不规则形状机动扩展目标跟踪方法。首先,该文研究利用alpha-shape算法建立了星凸形状的变化模型,实现了静态场景下的星凸形扩展目标的形状估计。然后,通过对目标状态转移矩阵进行重新设计,结合Transformer网络对机动扩展目标运动状态转移矩阵进行实时估计,实现了对复杂机动目标运动过程的精准跟踪。进一步地,将估计得到的形状轮廓与运动状态进行融合,最终实现了对星凸形机动扩展目标的实时跟踪。最后,通过构造复杂的机动扩展目标跟踪场景,利用多重性能指标测试算法对形状和运动状态的综合估计性能,验证了算法的有效性。 针对复杂的机动扩展目标跟踪问题,利用Transformer网络设计了一种有效的星凸不规则形状机动扩展目标跟踪方法。首先,该文研究利用alpha-shape算法建立了星凸形状的变化模型,实现了静态场景下的星凸形扩展目标的形状估计。然后,通过对目标状态转移矩阵进行重新设计,结合Transformer网络对机动扩展目标运动状态转移矩阵进行实时估计,实现了对复杂机动目标运动过程的精准跟踪。进一步地,将估计得到的形状轮廓与运动状态进行融合,最终实现了对星凸形机动扩展目标的实时跟踪。最后,通过构造复杂的机动扩展目标跟踪场景,利用多重性能指标测试算法对形状和运动状态的综合估计性能,验证了算法的有效性。
2024, 13(3): 646-666.
摘要:
扫描雷达角超分辨技术是基于目标与天线方向图的关系,采用解卷积方法获取超越实波束的角分辨能力。目前的角超分辨方法大都是基于理想的无畸变天线方向图,未考虑实际过程中方向图的变化。然而,由于雷达天线罩、天线测量误差与平台非理想运动等因素的影响,天线方向图在实际中往往存在未知的误差,会导致目标分辨能力下降,甚至产生虚假目标。针对此问题,该文提出一种机载扫描雷达未知天线方向图误差下的角超分辨成像方法。首先,基于总体最小二乘(TLS)准则,该文考虑了方向图误差矩阵的影响,导出了相应的目标函数;其次,基于交替迭代的求解思路,利用迭代重加权优化方法实现了目标函数求解;最后,针对算法超参数选取,引入了一种自适应参数选取方法。仿真与实测结果表明,该文方法能实现未知天线误差条件下的超分辨重建,进一步提升了超分辨算法的稳健性。 扫描雷达角超分辨技术是基于目标与天线方向图的关系,采用解卷积方法获取超越实波束的角分辨能力。目前的角超分辨方法大都是基于理想的无畸变天线方向图,未考虑实际过程中方向图的变化。然而,由于雷达天线罩、天线测量误差与平台非理想运动等因素的影响,天线方向图在实际中往往存在未知的误差,会导致目标分辨能力下降,甚至产生虚假目标。针对此问题,该文提出一种机载扫描雷达未知天线方向图误差下的角超分辨成像方法。首先,基于总体最小二乘(TLS)准则,该文考虑了方向图误差矩阵的影响,导出了相应的目标函数;其次,基于交替迭代的求解思路,利用迭代重加权优化方法实现了目标函数求解;最后,针对算法超参数选取,引入了一种自适应参数选取方法。仿真与实测结果表明,该文方法能实现未知天线误差条件下的超分辨重建,进一步提升了超分辨算法的稳健性。
扫描雷达角超分辨技术是基于目标与天线方向图的关系,采用解卷积方法获取超越实波束的角分辨能力。目前的角超分辨方法大都是基于理想的无畸变天线方向图,未考虑实际过程中方向图的变化。然而,由于雷达天线罩、天线测量误差与平台非理想运动等因素的影响,天线方向图在实际中往往存在未知的误差,会导致目标分辨能力下降,甚至产生虚假目标。针对此问题,该文提出一种机载扫描雷达未知天线方向图误差下的角超分辨成像方法。首先,基于总体最小二乘(TLS)准则,该文考虑了方向图误差矩阵的影响,导出了相应的目标函数;其次,基于交替迭代的求解思路,利用迭代重加权优化方法实现了目标函数求解;最后,针对算法超参数选取,引入了一种自适应参数选取方法。仿真与实测结果表明,该文方法能实现未知天线误差条件下的超分辨重建,进一步提升了超分辨算法的稳健性。 扫描雷达角超分辨技术是基于目标与天线方向图的关系,采用解卷积方法获取超越实波束的角分辨能力。目前的角超分辨方法大都是基于理想的无畸变天线方向图,未考虑实际过程中方向图的变化。然而,由于雷达天线罩、天线测量误差与平台非理想运动等因素的影响,天线方向图在实际中往往存在未知的误差,会导致目标分辨能力下降,甚至产生虚假目标。针对此问题,该文提出一种机载扫描雷达未知天线方向图误差下的角超分辨成像方法。首先,基于总体最小二乘(TLS)准则,该文考虑了方向图误差矩阵的影响,导出了相应的目标函数;其次,基于交替迭代的求解思路,利用迭代重加权优化方法实现了目标函数求解;最后,针对算法超参数选取,引入了一种自适应参数选取方法。仿真与实测结果表明,该文方法能实现未知天线误差条件下的超分辨重建,进一步提升了超分辨算法的稳健性。
2024, 13(3): 667-681.
摘要:
机载扫描雷达前视成像可广泛应用于态势感知、自主导航和地形跟随。在雷达扫描过程中受到不经意的电磁脉冲干扰或设备性能异常等影响时,雷达回波数据出现异常值。已有的超分辨方法可以抑制回波中的异常值、提高角度分辨率,但没有考虑计算实时性问题。针对上述问题,该文提出了一种机载雷达超分辨方法实现回波数据异常时的快速前视成像。为了更好地拟合回波噪声,引入对异常值更加鲁棒的学生t分布,并采用期望最大化方法对成像参数进行估计。受截断奇异值分解方法的启发,将截断的酉矩阵引入目标散射系数的估计公式中。通过矩阵变换降低了求逆矩阵的尺寸,从而降低了参数估计的计算复杂度。仿真结果表明该文提出加速方法可以用更短的时间提高前视成像的角度分辨率,抑制回波数据中的异常值。 机载扫描雷达前视成像可广泛应用于态势感知、自主导航和地形跟随。在雷达扫描过程中受到不经意的电磁脉冲干扰或设备性能异常等影响时,雷达回波数据出现异常值。已有的超分辨方法可以抑制回波中的异常值、提高角度分辨率,但没有考虑计算实时性问题。针对上述问题,该文提出了一种机载雷达超分辨方法实现回波数据异常时的快速前视成像。为了更好地拟合回波噪声,引入对异常值更加鲁棒的学生t分布,并采用期望最大化方法对成像参数进行估计。受截断奇异值分解方法的启发,将截断的酉矩阵引入目标散射系数的估计公式中。通过矩阵变换降低了求逆矩阵的尺寸,从而降低了参数估计的计算复杂度。仿真结果表明该文提出加速方法可以用更短的时间提高前视成像的角度分辨率,抑制回波数据中的异常值。
机载扫描雷达前视成像可广泛应用于态势感知、自主导航和地形跟随。在雷达扫描过程中受到不经意的电磁脉冲干扰或设备性能异常等影响时,雷达回波数据出现异常值。已有的超分辨方法可以抑制回波中的异常值、提高角度分辨率,但没有考虑计算实时性问题。针对上述问题,该文提出了一种机载雷达超分辨方法实现回波数据异常时的快速前视成像。为了更好地拟合回波噪声,引入对异常值更加鲁棒的学生t分布,并采用期望最大化方法对成像参数进行估计。受截断奇异值分解方法的启发,将截断的酉矩阵引入目标散射系数的估计公式中。通过矩阵变换降低了求逆矩阵的尺寸,从而降低了参数估计的计算复杂度。仿真结果表明该文提出加速方法可以用更短的时间提高前视成像的角度分辨率,抑制回波数据中的异常值。 机载扫描雷达前视成像可广泛应用于态势感知、自主导航和地形跟随。在雷达扫描过程中受到不经意的电磁脉冲干扰或设备性能异常等影响时,雷达回波数据出现异常值。已有的超分辨方法可以抑制回波中的异常值、提高角度分辨率,但没有考虑计算实时性问题。针对上述问题,该文提出了一种机载雷达超分辨方法实现回波数据异常时的快速前视成像。为了更好地拟合回波噪声,引入对异常值更加鲁棒的学生t分布,并采用期望最大化方法对成像参数进行估计。受截断奇异值分解方法的启发,将截断的酉矩阵引入目标散射系数的估计公式中。通过矩阵变换降低了求逆矩阵的尺寸,从而降低了参数估计的计算复杂度。仿真结果表明该文提出加速方法可以用更短的时间提高前视成像的角度分辨率,抑制回波数据中的异常值。
2024, 13(3): 682-695.
摘要:
空间卫星目标的逆合成孔径雷达(ISAR)图像由离散的散射点构成,具有弱纹理、高动态、非连续的特性,造成传统算法对空间目标ISAR图像进行三维重建时,得到的点云结果稀疏,无法覆盖目标整体外形轮廓,进而导致难以精确提取目标结构、姿态参数。针对上述问题,并考虑到空间目标通常由特定模块化部件组成的特点,该文提出一种从空间目标ISAR图像中抽取参数化基元来表示其三维结构的方法。首先利用能量累积算法从ISAR图像中得到目标的稀疏点云,进而利用参数化基元对点云进行拟合,最后将基元投影至ISAR成像平面,并最大化与目标图像的相似度来优化基元参数,得到最优的目标三维基元表示。相比于传统点云三维重建,该方法能够获得对目标三维结构更完整的描述,且所得到的基元参数即代表目标的姿态及结构,可直接支撑后续的目标识别、分析研判等任务。仿真实验证明该方法能够根据ISAR序列图像,有效实现对空间目标的三维表示。 空间卫星目标的逆合成孔径雷达(ISAR)图像由离散的散射点构成,具有弱纹理、高动态、非连续的特性,造成传统算法对空间目标ISAR图像进行三维重建时,得到的点云结果稀疏,无法覆盖目标整体外形轮廓,进而导致难以精确提取目标结构、姿态参数。针对上述问题,并考虑到空间目标通常由特定模块化部件组成的特点,该文提出一种从空间目标ISAR图像中抽取参数化基元来表示其三维结构的方法。首先利用能量累积算法从ISAR图像中得到目标的稀疏点云,进而利用参数化基元对点云进行拟合,最后将基元投影至ISAR成像平面,并最大化与目标图像的相似度来优化基元参数,得到最优的目标三维基元表示。相比于传统点云三维重建,该方法能够获得对目标三维结构更完整的描述,且所得到的基元参数即代表目标的姿态及结构,可直接支撑后续的目标识别、分析研判等任务。仿真实验证明该方法能够根据ISAR序列图像,有效实现对空间目标的三维表示。
空间卫星目标的逆合成孔径雷达(ISAR)图像由离散的散射点构成,具有弱纹理、高动态、非连续的特性,造成传统算法对空间目标ISAR图像进行三维重建时,得到的点云结果稀疏,无法覆盖目标整体外形轮廓,进而导致难以精确提取目标结构、姿态参数。针对上述问题,并考虑到空间目标通常由特定模块化部件组成的特点,该文提出一种从空间目标ISAR图像中抽取参数化基元来表示其三维结构的方法。首先利用能量累积算法从ISAR图像中得到目标的稀疏点云,进而利用参数化基元对点云进行拟合,最后将基元投影至ISAR成像平面,并最大化与目标图像的相似度来优化基元参数,得到最优的目标三维基元表示。相比于传统点云三维重建,该方法能够获得对目标三维结构更完整的描述,且所得到的基元参数即代表目标的姿态及结构,可直接支撑后续的目标识别、分析研判等任务。仿真实验证明该方法能够根据ISAR序列图像,有效实现对空间目标的三维表示。 空间卫星目标的逆合成孔径雷达(ISAR)图像由离散的散射点构成,具有弱纹理、高动态、非连续的特性,造成传统算法对空间目标ISAR图像进行三维重建时,得到的点云结果稀疏,无法覆盖目标整体外形轮廓,进而导致难以精确提取目标结构、姿态参数。针对上述问题,并考虑到空间目标通常由特定模块化部件组成的特点,该文提出一种从空间目标ISAR图像中抽取参数化基元来表示其三维结构的方法。首先利用能量累积算法从ISAR图像中得到目标的稀疏点云,进而利用参数化基元对点云进行拟合,最后将基元投影至ISAR成像平面,并最大化与目标图像的相似度来优化基元参数,得到最优的目标三维基元表示。相比于传统点云三维重建,该方法能够获得对目标三维结构更完整的描述,且所得到的基元参数即代表目标的姿态及结构,可直接支撑后续的目标识别、分析研判等任务。仿真实验证明该方法能够根据ISAR序列图像,有效实现对空间目标的三维表示。
2024, 13(3): 696-713.
摘要:
作为一种由众多亚波长单元周期性或非周期性排列构成的二维人工结构,超表面展示了其在电磁波极化调控领域的卓越能力,开辟了电磁波调控的新途径。电控可重构极化调控超表面,可通过电信号实时调整其结构或材料特性进而动态地调控电磁波的极化状态,因而受到广泛研究关注。该文全面综述了电控可重构极化调控超表面的发展历程,详细探讨了微波段具备不同传输特性的电控可重构极化调控超表面的技术进展,并对电控可重构极化调控超表面技术的未来发展进行了深入的探讨和展望。 作为一种由众多亚波长单元周期性或非周期性排列构成的二维人工结构,超表面展示了其在电磁波极化调控领域的卓越能力,开辟了电磁波调控的新途径。电控可重构极化调控超表面,可通过电信号实时调整其结构或材料特性进而动态地调控电磁波的极化状态,因而受到广泛研究关注。该文全面综述了电控可重构极化调控超表面的发展历程,详细探讨了微波段具备不同传输特性的电控可重构极化调控超表面的技术进展,并对电控可重构极化调控超表面技术的未来发展进行了深入的探讨和展望。
作为一种由众多亚波长单元周期性或非周期性排列构成的二维人工结构,超表面展示了其在电磁波极化调控领域的卓越能力,开辟了电磁波调控的新途径。电控可重构极化调控超表面,可通过电信号实时调整其结构或材料特性进而动态地调控电磁波的极化状态,因而受到广泛研究关注。该文全面综述了电控可重构极化调控超表面的发展历程,详细探讨了微波段具备不同传输特性的电控可重构极化调控超表面的技术进展,并对电控可重构极化调控超表面技术的未来发展进行了深入的探讨和展望。 作为一种由众多亚波长单元周期性或非周期性排列构成的二维人工结构,超表面展示了其在电磁波极化调控领域的卓越能力,开辟了电磁波调控的新途径。电控可重构极化调控超表面,可通过电信号实时调整其结构或材料特性进而动态地调控电磁波的极化状态,因而受到广泛研究关注。该文全面综述了电控可重构极化调控超表面的发展历程,详细探讨了微波段具备不同传输特性的电控可重构极化调控超表面的技术进展,并对电控可重构极化调控超表面技术的未来发展进行了深入的探讨和展望。
2024, 13(3): 714-729.
摘要:
合成孔径雷达自动目标识别(SAR-ATR)领域缺乏有效的黑盒攻击算法,为此,该文结合动量迭代快速梯度符号(MI-FGSM)思想提出了一种基于迁移的黑盒攻击算法。首先结合SAR图像特性进行随机斑点噪声变换,缓解模型对斑点噪声的过拟合,提高算法的泛化性能;然后设计了能够快速寻找最优梯度下降方向的ABN寻优器,通过模型梯度快速收敛提升算法攻击有效性;最后引入拟双曲动量算子获得稳定的模型梯度下降方向,使梯度在快速收敛过程中避免陷入局部最优,进一步增强对抗样本的黑盒攻击成功率。通过仿真实验表明,与现有的对抗攻击算法相比,该文算法在MSTAR和FUSAR-Ship数据集上对主流的SAR-ATR深度神经网络的集成模型黑盒攻击成功率分别提高了3%~55%和6.0%~57.5%,而且生成的对抗样本具有高度的隐蔽性。 合成孔径雷达自动目标识别(SAR-ATR)领域缺乏有效的黑盒攻击算法,为此,该文结合动量迭代快速梯度符号(MI-FGSM)思想提出了一种基于迁移的黑盒攻击算法。首先结合SAR图像特性进行随机斑点噪声变换,缓解模型对斑点噪声的过拟合,提高算法的泛化性能;然后设计了能够快速寻找最优梯度下降方向的ABN寻优器,通过模型梯度快速收敛提升算法攻击有效性;最后引入拟双曲动量算子获得稳定的模型梯度下降方向,使梯度在快速收敛过程中避免陷入局部最优,进一步增强对抗样本的黑盒攻击成功率。通过仿真实验表明,与现有的对抗攻击算法相比,该文算法在MSTAR和FUSAR-Ship数据集上对主流的SAR-ATR深度神经网络的集成模型黑盒攻击成功率分别提高了3%~55%和6.0%~57.5%,而且生成的对抗样本具有高度的隐蔽性。
合成孔径雷达自动目标识别(SAR-ATR)领域缺乏有效的黑盒攻击算法,为此,该文结合动量迭代快速梯度符号(MI-FGSM)思想提出了一种基于迁移的黑盒攻击算法。首先结合SAR图像特性进行随机斑点噪声变换,缓解模型对斑点噪声的过拟合,提高算法的泛化性能;然后设计了能够快速寻找最优梯度下降方向的ABN寻优器,通过模型梯度快速收敛提升算法攻击有效性;最后引入拟双曲动量算子获得稳定的模型梯度下降方向,使梯度在快速收敛过程中避免陷入局部最优,进一步增强对抗样本的黑盒攻击成功率。通过仿真实验表明,与现有的对抗攻击算法相比,该文算法在MSTAR和FUSAR-Ship数据集上对主流的SAR-ATR深度神经网络的集成模型黑盒攻击成功率分别提高了3%~55%和6.0%~57.5%,而且生成的对抗样本具有高度的隐蔽性。 合成孔径雷达自动目标识别(SAR-ATR)领域缺乏有效的黑盒攻击算法,为此,该文结合动量迭代快速梯度符号(MI-FGSM)思想提出了一种基于迁移的黑盒攻击算法。首先结合SAR图像特性进行随机斑点噪声变换,缓解模型对斑点噪声的过拟合,提高算法的泛化性能;然后设计了能够快速寻找最优梯度下降方向的ABN寻优器,通过模型梯度快速收敛提升算法攻击有效性;最后引入拟双曲动量算子获得稳定的模型梯度下降方向,使梯度在快速收敛过程中避免陷入局部最优,进一步增强对抗样本的黑盒攻击成功率。通过仿真实验表明,与现有的对抗攻击算法相比,该文算法在MSTAR和FUSAR-Ship数据集上对主流的SAR-ATR深度神经网络的集成模型黑盒攻击成功率分别提高了3%~55%和6.0%~57.5%,而且生成的对抗样本具有高度的隐蔽性。
作者中心
专家审稿
责编办公
编辑办公
上一期
摘要
18774KB
微信 | 公众平台 