2022年 11卷 第6期
2022, 11(6): 921-942.
摘要:
合成孔径雷达(SAR)图像的自动化解译是合成孔径雷达技术应用的重要发展方向之一。电磁散射特征与目标结构具有稳健的关联性,是SAR图像解译的关键支撑。近年来,如何准确地实现电磁特征提取以及利用电磁特征反演目标特性受到了广泛的重视。该文讨论了电磁特征提取和基于电磁散射特征识别方法的研究成果,总结归纳了其中的关键要素和主要思路,详述了电磁散射机理在成像和识别领域的扩展应用,展望了未来电磁散射特征提取与应用的研究发展趋势。 合成孔径雷达(SAR)图像的自动化解译是合成孔径雷达技术应用的重要发展方向之一。电磁散射特征与目标结构具有稳健的关联性,是SAR图像解译的关键支撑。近年来,如何准确地实现电磁特征提取以及利用电磁特征反演目标特性受到了广泛的重视。该文讨论了电磁特征提取和基于电磁散射特征识别方法的研究成果,总结归纳了其中的关键要素和主要思路,详述了电磁散射机理在成像和识别领域的扩展应用,展望了未来电磁散射特征提取与应用的研究发展趋势。
合成孔径雷达(SAR)图像的自动化解译是合成孔径雷达技术应用的重要发展方向之一。电磁散射特征与目标结构具有稳健的关联性,是SAR图像解译的关键支撑。近年来,如何准确地实现电磁特征提取以及利用电磁特征反演目标特性受到了广泛的重视。该文讨论了电磁特征提取和基于电磁散射特征识别方法的研究成果,总结归纳了其中的关键要素和主要思路,详述了电磁散射机理在成像和识别领域的扩展应用,展望了未来电磁散射特征提取与应用的研究发展趋势。 合成孔径雷达(SAR)图像的自动化解译是合成孔径雷达技术应用的重要发展方向之一。电磁散射特征与目标结构具有稳健的关联性,是SAR图像解译的关键支撑。近年来,如何准确地实现电磁特征提取以及利用电磁特征反演目标特性受到了广泛的重视。该文讨论了电磁特征提取和基于电磁散射特征识别方法的研究成果,总结归纳了其中的关键要素和主要思路,详述了电磁散射机理在成像和识别领域的扩展应用,展望了未来电磁散射特征提取与应用的研究发展趋势。
2022, 11(6): 943-973.
摘要:
弹载合成孔径雷达(SAR)可对观测区域进行二维高分辨率成像,获得丰富的地貌特征以及目标的尺寸、形状特征,进而选择打击点并提高打击精度和效率。与传统的机载/星载SAR成像体制相比,弹载SAR由于其探测距离远、大机动曲线突防和多平台协同作战的特点,给雷达成像技术带来了新的挑战:导弹末制导阶段处于二维甚至三维加速的大斜视工作模式,飞行轨迹与传统的SAR成像模式不同,这会带来距离方位的严重耦合,成像质量退化严重;在攻击飞行段,导弹的天线波束直接指向目标区域,弹载SAR将工作在前视状态,传统的SAR成像技术难以获取目标二维高分辨图像。针对弹载SAR存在的这些问题,该文立足弹载SAR作战需求,从曲线轨大斜视成像、前视成像和协同成像方面介绍了弹载雷达成像的关键技术和发展现状,展望未来弹载雷达成像技术的发展趋势。 弹载合成孔径雷达(SAR)可对观测区域进行二维高分辨率成像,获得丰富的地貌特征以及目标的尺寸、形状特征,进而选择打击点并提高打击精度和效率。与传统的机载/星载SAR成像体制相比,弹载SAR由于其探测距离远、大机动曲线突防和多平台协同作战的特点,给雷达成像技术带来了新的挑战:导弹末制导阶段处于二维甚至三维加速的大斜视工作模式,飞行轨迹与传统的SAR成像模式不同,这会带来距离方位的严重耦合,成像质量退化严重;在攻击飞行段,导弹的天线波束直接指向目标区域,弹载SAR将工作在前视状态,传统的SAR成像技术难以获取目标二维高分辨图像。针对弹载SAR存在的这些问题,该文立足弹载SAR作战需求,从曲线轨大斜视成像、前视成像和协同成像方面介绍了弹载雷达成像的关键技术和发展现状,展望未来弹载雷达成像技术的发展趋势。
弹载合成孔径雷达(SAR)可对观测区域进行二维高分辨率成像,获得丰富的地貌特征以及目标的尺寸、形状特征,进而选择打击点并提高打击精度和效率。与传统的机载/星载SAR成像体制相比,弹载SAR由于其探测距离远、大机动曲线突防和多平台协同作战的特点,给雷达成像技术带来了新的挑战:导弹末制导阶段处于二维甚至三维加速的大斜视工作模式,飞行轨迹与传统的SAR成像模式不同,这会带来距离方位的严重耦合,成像质量退化严重;在攻击飞行段,导弹的天线波束直接指向目标区域,弹载SAR将工作在前视状态,传统的SAR成像技术难以获取目标二维高分辨图像。针对弹载SAR存在的这些问题,该文立足弹载SAR作战需求,从曲线轨大斜视成像、前视成像和协同成像方面介绍了弹载雷达成像的关键技术和发展现状,展望未来弹载雷达成像技术的发展趋势。 弹载合成孔径雷达(SAR)可对观测区域进行二维高分辨率成像,获得丰富的地貌特征以及目标的尺寸、形状特征,进而选择打击点并提高打击精度和效率。与传统的机载/星载SAR成像体制相比,弹载SAR由于其探测距离远、大机动曲线突防和多平台协同作战的特点,给雷达成像技术带来了新的挑战:导弹末制导阶段处于二维甚至三维加速的大斜视工作模式,飞行轨迹与传统的SAR成像模式不同,这会带来距离方位的严重耦合,成像质量退化严重;在攻击飞行段,导弹的天线波束直接指向目标区域,弹载SAR将工作在前视状态,传统的SAR成像技术难以获取目标二维高分辨图像。针对弹载SAR存在的这些问题,该文立足弹载SAR作战需求,从曲线轨大斜视成像、前视成像和协同成像方面介绍了弹载雷达成像的关键技术和发展现状,展望未来弹载雷达成像技术的发展趋势。
2022, 11(6): 974-1002.
摘要:
随着电磁频谱成为现代战争的关键作战域之一,在未来军事作战中,现代雷达将面临日益复杂、灵巧和智能的电磁干扰环境。认知智能雷达具备环境主动感知、任意发射和接收设计、智能处理和资源调度等能力,可适应复杂多变的战场电磁对抗环境,是雷达技术领域重点发展的方向之一。该文将认知智能雷达从结构上分解为认知发射、认知接收、智能处理以及智能控制等4大功能模块,梳理出干扰感知、发射设计、接收设计、信号处理和资源调度等认知智能雷达每个环节的抗干扰原理,并对近几年代表性文献进行归纳总结,分析了该领域技术发展趋势,旨在为以后的技术研究提供必要的参考和依据。 随着电磁频谱成为现代战争的关键作战域之一,在未来军事作战中,现代雷达将面临日益复杂、灵巧和智能的电磁干扰环境。认知智能雷达具备环境主动感知、任意发射和接收设计、智能处理和资源调度等能力,可适应复杂多变的战场电磁对抗环境,是雷达技术领域重点发展的方向之一。该文将认知智能雷达从结构上分解为认知发射、认知接收、智能处理以及智能控制等4大功能模块,梳理出干扰感知、发射设计、接收设计、信号处理和资源调度等认知智能雷达每个环节的抗干扰原理,并对近几年代表性文献进行归纳总结,分析了该领域技术发展趋势,旨在为以后的技术研究提供必要的参考和依据。
随着电磁频谱成为现代战争的关键作战域之一,在未来军事作战中,现代雷达将面临日益复杂、灵巧和智能的电磁干扰环境。认知智能雷达具备环境主动感知、任意发射和接收设计、智能处理和资源调度等能力,可适应复杂多变的战场电磁对抗环境,是雷达技术领域重点发展的方向之一。该文将认知智能雷达从结构上分解为认知发射、认知接收、智能处理以及智能控制等4大功能模块,梳理出干扰感知、发射设计、接收设计、信号处理和资源调度等认知智能雷达每个环节的抗干扰原理,并对近几年代表性文献进行归纳总结,分析了该领域技术发展趋势,旨在为以后的技术研究提供必要的参考和依据。 随着电磁频谱成为现代战争的关键作战域之一,在未来军事作战中,现代雷达将面临日益复杂、灵巧和智能的电磁干扰环境。认知智能雷达具备环境主动感知、任意发射和接收设计、智能处理和资源调度等能力,可适应复杂多变的战场电磁对抗环境,是雷达技术领域重点发展的方向之一。该文将认知智能雷达从结构上分解为认知发射、认知接收、智能处理以及智能控制等4大功能模块,梳理出干扰感知、发射设计、接收设计、信号处理和资源调度等认知智能雷达每个环节的抗干扰原理,并对近几年代表性文献进行归纳总结,分析了该领域技术发展趋势,旨在为以后的技术研究提供必要的参考和依据。
2022, 11(6): 1003-1019.
摘要:
数字编码超表面是超材料与超表面领域的重要研究分支。通过数字编码方法替代等效媒质理论来表征超表面,不仅有效简化了超表面设计,而且建立了数字信息与超材料物理的联系。该文系统梳理数字编码超表面的发展历程,重点介绍其在可编程与智能电磁调控领域的最新研究进展。首先,详细介绍数字编码超表面的基本概念以及基于数字编码超表面的信息论研究;然后,具体介绍可编程超表面的工作原理和实现方式以及可编程超表面的不同研究方向,包括辐射式可编程超表面、多维度可编程超表面、时域数字编码超表面与新体制通信系统;接着,介绍智能超表面的最新研究进展,展示其环境感知与自适应电磁调控能力;最后,对超表面的未来发展进行讨论与展望。 数字编码超表面是超材料与超表面领域的重要研究分支。通过数字编码方法替代等效媒质理论来表征超表面,不仅有效简化了超表面设计,而且建立了数字信息与超材料物理的联系。该文系统梳理数字编码超表面的发展历程,重点介绍其在可编程与智能电磁调控领域的最新研究进展。首先,详细介绍数字编码超表面的基本概念以及基于数字编码超表面的信息论研究;然后,具体介绍可编程超表面的工作原理和实现方式以及可编程超表面的不同研究方向,包括辐射式可编程超表面、多维度可编程超表面、时域数字编码超表面与新体制通信系统;接着,介绍智能超表面的最新研究进展,展示其环境感知与自适应电磁调控能力;最后,对超表面的未来发展进行讨论与展望。
数字编码超表面是超材料与超表面领域的重要研究分支。通过数字编码方法替代等效媒质理论来表征超表面,不仅有效简化了超表面设计,而且建立了数字信息与超材料物理的联系。该文系统梳理数字编码超表面的发展历程,重点介绍其在可编程与智能电磁调控领域的最新研究进展。首先,详细介绍数字编码超表面的基本概念以及基于数字编码超表面的信息论研究;然后,具体介绍可编程超表面的工作原理和实现方式以及可编程超表面的不同研究方向,包括辐射式可编程超表面、多维度可编程超表面、时域数字编码超表面与新体制通信系统;接着,介绍智能超表面的最新研究进展,展示其环境感知与自适应电磁调控能力;最后,对超表面的未来发展进行讨论与展望。 数字编码超表面是超材料与超表面领域的重要研究分支。通过数字编码方法替代等效媒质理论来表征超表面,不仅有效简化了超表面设计,而且建立了数字信息与超材料物理的联系。该文系统梳理数字编码超表面的发展历程,重点介绍其在可编程与智能电磁调控领域的最新研究进展。首先,详细介绍数字编码超表面的基本概念以及基于数字编码超表面的信息论研究;然后,具体介绍可编程超表面的工作原理和实现方式以及可编程超表面的不同研究方向,包括辐射式可编程超表面、多维度可编程超表面、时域数字编码超表面与新体制通信系统;接着,介绍智能超表面的最新研究进展,展示其环境感知与自适应电磁调控能力;最后,对超表面的未来发展进行讨论与展望。
2022, 11(6): 1020-1047.
摘要:
现代战争日趋信息化和智能化,雷达自动目标识别技术(RATR)在国家安全防卫和战略预警等军事应用方面发挥着更加重要的作用。高分辨距离像(HRRP)反映了目标散射点沿雷达视线方向的分布情况,包含了目标丰富的结构信息,对目标识别十分有价值,已成为RATR领域的研究热点。参数化统计建模旨在构建参数化数学模型表征观测数据的分布特性,是估计数据概率分布和挖掘数据隐含信息的重要手段。基于参数化统计模型的雷达HRRP目标识别就是在对HRRP参数化统计建模的基础上,直接利用估计的概率分布进行统计识别或将获取的隐含信息输入分类器进行识别。由于模型具有可融入一定的先验知识、扩展灵活、提供待求参数的不确定性评价以及能结合贝叶斯理论实现自动定阶等优势,基于参数化统计模型的HRRP识别方法整体识别性能优于其他方法,是目前HRRP识别的重点研究方向。该文从浅层和深层参数化统计建模两方面,对近15年的雷达HRRP目标识别方法进行了归纳总结,并分析了各类方法的特点和存在的问题,最后对基于HRRP参数化统计建模的雷达目标识别发展方向进行了展望。 现代战争日趋信息化和智能化,雷达自动目标识别技术(RATR)在国家安全防卫和战略预警等军事应用方面发挥着更加重要的作用。高分辨距离像(HRRP)反映了目标散射点沿雷达视线方向的分布情况,包含了目标丰富的结构信息,对目标识别十分有价值,已成为RATR领域的研究热点。参数化统计建模旨在构建参数化数学模型表征观测数据的分布特性,是估计数据概率分布和挖掘数据隐含信息的重要手段。基于参数化统计模型的雷达HRRP目标识别就是在对HRRP参数化统计建模的基础上,直接利用估计的概率分布进行统计识别或将获取的隐含信息输入分类器进行识别。由于模型具有可融入一定的先验知识、扩展灵活、提供待求参数的不确定性评价以及能结合贝叶斯理论实现自动定阶等优势,基于参数化统计模型的HRRP识别方法整体识别性能优于其他方法,是目前HRRP识别的重点研究方向。该文从浅层和深层参数化统计建模两方面,对近15年的雷达HRRP目标识别方法进行了归纳总结,并分析了各类方法的特点和存在的问题,最后对基于HRRP参数化统计建模的雷达目标识别发展方向进行了展望。
现代战争日趋信息化和智能化,雷达自动目标识别技术(RATR)在国家安全防卫和战略预警等军事应用方面发挥着更加重要的作用。高分辨距离像(HRRP)反映了目标散射点沿雷达视线方向的分布情况,包含了目标丰富的结构信息,对目标识别十分有价值,已成为RATR领域的研究热点。参数化统计建模旨在构建参数化数学模型表征观测数据的分布特性,是估计数据概率分布和挖掘数据隐含信息的重要手段。基于参数化统计模型的雷达HRRP目标识别就是在对HRRP参数化统计建模的基础上,直接利用估计的概率分布进行统计识别或将获取的隐含信息输入分类器进行识别。由于模型具有可融入一定的先验知识、扩展灵活、提供待求参数的不确定性评价以及能结合贝叶斯理论实现自动定阶等优势,基于参数化统计模型的HRRP识别方法整体识别性能优于其他方法,是目前HRRP识别的重点研究方向。该文从浅层和深层参数化统计建模两方面,对近15年的雷达HRRP目标识别方法进行了归纳总结,并分析了各类方法的特点和存在的问题,最后对基于HRRP参数化统计建模的雷达目标识别发展方向进行了展望。 现代战争日趋信息化和智能化,雷达自动目标识别技术(RATR)在国家安全防卫和战略预警等军事应用方面发挥着更加重要的作用。高分辨距离像(HRRP)反映了目标散射点沿雷达视线方向的分布情况,包含了目标丰富的结构信息,对目标识别十分有价值,已成为RATR领域的研究热点。参数化统计建模旨在构建参数化数学模型表征观测数据的分布特性,是估计数据概率分布和挖掘数据隐含信息的重要手段。基于参数化统计模型的雷达HRRP目标识别就是在对HRRP参数化统计建模的基础上,直接利用估计的概率分布进行统计识别或将获取的隐含信息输入分类器进行识别。由于模型具有可融入一定的先验知识、扩展灵活、提供待求参数的不确定性评价以及能结合贝叶斯理论实现自动定阶等优势,基于参数化统计模型的HRRP识别方法整体识别性能优于其他方法,是目前HRRP识别的重点研究方向。该文从浅层和深层参数化统计建模两方面,对近15年的雷达HRRP目标识别方法进行了归纳总结,并分析了各类方法的特点和存在的问题,最后对基于HRRP参数化统计建模的雷达目标识别发展方向进行了展望。
2022, 11(6): 1048-1060.
摘要:
该文针对低信杂噪比条件下运动目标检测难的现状,提出了高时相星载序贯合成孔径雷达(SAR)图像运动目标检测方法。首先,根据检测机理的不同将现有星载SAR运动目标检测方法分为3类,并进行了对比分析;其次,基于凝视观测模式建模分析了高帧频序贯SAR图像获取方式;在此基础上,将动目标检测等效为未知尺度、未知到达时间的一维瞬态微弱扰动信号检测,并理论分析了沿时间维高帧频序贯SAR图像间动目标幅度扰动的sinc函数形式,背景杂波幅度的缓变和系统噪声幅度的无规则快变状态;再次,为实现目标和杂波、噪声的可分性,基于核函数机理实现了动目标在高维空间的深度关联;最后,通过仿真和真实数据验证了所提方法的有效性,并分析了检测性能。性能分析结果表明在低信杂噪比条件下所提方法检测性能优于传统的恒虚警类方法。 该文针对低信杂噪比条件下运动目标检测难的现状,提出了高时相星载序贯合成孔径雷达(SAR)图像运动目标检测方法。首先,根据检测机理的不同将现有星载SAR运动目标检测方法分为3类,并进行了对比分析;其次,基于凝视观测模式建模分析了高帧频序贯SAR图像获取方式;在此基础上,将动目标检测等效为未知尺度、未知到达时间的一维瞬态微弱扰动信号检测,并理论分析了沿时间维高帧频序贯SAR图像间动目标幅度扰动的sinc函数形式,背景杂波幅度的缓变和系统噪声幅度的无规则快变状态;再次,为实现目标和杂波、噪声的可分性,基于核函数机理实现了动目标在高维空间的深度关联;最后,通过仿真和真实数据验证了所提方法的有效性,并分析了检测性能。性能分析结果表明在低信杂噪比条件下所提方法检测性能优于传统的恒虚警类方法。
该文针对低信杂噪比条件下运动目标检测难的现状,提出了高时相星载序贯合成孔径雷达(SAR)图像运动目标检测方法。首先,根据检测机理的不同将现有星载SAR运动目标检测方法分为3类,并进行了对比分析;其次,基于凝视观测模式建模分析了高帧频序贯SAR图像获取方式;在此基础上,将动目标检测等效为未知尺度、未知到达时间的一维瞬态微弱扰动信号检测,并理论分析了沿时间维高帧频序贯SAR图像间动目标幅度扰动的sinc函数形式,背景杂波幅度的缓变和系统噪声幅度的无规则快变状态;再次,为实现目标和杂波、噪声的可分性,基于核函数机理实现了动目标在高维空间的深度关联;最后,通过仿真和真实数据验证了所提方法的有效性,并分析了检测性能。性能分析结果表明在低信杂噪比条件下所提方法检测性能优于传统的恒虚警类方法。 该文针对低信杂噪比条件下运动目标检测难的现状,提出了高时相星载序贯合成孔径雷达(SAR)图像运动目标检测方法。首先,根据检测机理的不同将现有星载SAR运动目标检测方法分为3类,并进行了对比分析;其次,基于凝视观测模式建模分析了高帧频序贯SAR图像获取方式;在此基础上,将动目标检测等效为未知尺度、未知到达时间的一维瞬态微弱扰动信号检测,并理论分析了沿时间维高帧频序贯SAR图像间动目标幅度扰动的sinc函数形式,背景杂波幅度的缓变和系统噪声幅度的无规则快变状态;再次,为实现目标和杂波、噪声的可分性,基于核函数机理实现了动目标在高维空间的深度关联;最后,通过仿真和真实数据验证了所提方法的有效性,并分析了检测性能。性能分析结果表明在低信杂噪比条件下所提方法检测性能优于传统的恒虚警类方法。
2022, 11(6): 1061-1080.
摘要:
多旋翼无人机体积小、重量轻、成本低,但由于飞行航迹极不稳定,成像信号处理难度很大。基于惯导数据实时调整脉冲重复频率(PRF)可预先补偿航向位移误差,但是,其残余误差在高波段合成孔径雷达(SAR)斜视成像时不能忽略。为此,利用位移实测值与理想值间的差异提取残余航向位移误差,修正了斜视成像几何下的视线运动误差,改进了传统的1阶、2阶视线误差补偿因子,并基于成对回波理论分析了旋翼无人机正弦位移误差的幅度和频率容限。仿真和实测数据验证了所提方法在大斜视成像时可减小视线运动误差约一个数量级,显著提高多旋翼无人机载SAR成像的性能。 多旋翼无人机体积小、重量轻、成本低,但由于飞行航迹极不稳定,成像信号处理难度很大。基于惯导数据实时调整脉冲重复频率(PRF)可预先补偿航向位移误差,但是,其残余误差在高波段合成孔径雷达(SAR)斜视成像时不能忽略。为此,利用位移实测值与理想值间的差异提取残余航向位移误差,修正了斜视成像几何下的视线运动误差,改进了传统的1阶、2阶视线误差补偿因子,并基于成对回波理论分析了旋翼无人机正弦位移误差的幅度和频率容限。仿真和实测数据验证了所提方法在大斜视成像时可减小视线运动误差约一个数量级,显著提高多旋翼无人机载SAR成像的性能。
多旋翼无人机体积小、重量轻、成本低,但由于飞行航迹极不稳定,成像信号处理难度很大。基于惯导数据实时调整脉冲重复频率(PRF)可预先补偿航向位移误差,但是,其残余误差在高波段合成孔径雷达(SAR)斜视成像时不能忽略。为此,利用位移实测值与理想值间的差异提取残余航向位移误差,修正了斜视成像几何下的视线运动误差,改进了传统的1阶、2阶视线误差补偿因子,并基于成对回波理论分析了旋翼无人机正弦位移误差的幅度和频率容限。仿真和实测数据验证了所提方法在大斜视成像时可减小视线运动误差约一个数量级,显著提高多旋翼无人机载SAR成像的性能。 多旋翼无人机体积小、重量轻、成本低,但由于飞行航迹极不稳定,成像信号处理难度很大。基于惯导数据实时调整脉冲重复频率(PRF)可预先补偿航向位移误差,但是,其残余误差在高波段合成孔径雷达(SAR)斜视成像时不能忽略。为此,利用位移实测值与理想值间的差异提取残余航向位移误差,修正了斜视成像几何下的视线运动误差,改进了传统的1阶、2阶视线误差补偿因子,并基于成对回波理论分析了旋翼无人机正弦位移误差的幅度和频率容限。仿真和实测数据验证了所提方法在大斜视成像时可减小视线运动误差约一个数量级,显著提高多旋翼无人机载SAR成像的性能。
2022, 11(6): 1081-1097.
摘要:
合成孔径雷达(SAR)图像存在固有的相干斑噪声和几何畸变,并且其成像过程中图像之间存在非线性辐射差异,因此SAR图像配准是近年来最具挑战性的任务之一。关键点的可重复性和特征描述符的有效性直接影响基于特征的配准方法精度。该文提出了一种新颖的基于特征交汇的关键点检测器,它包含3个并行的检测器,即相位一致性(PC)检测器、水平和垂直方向梯度检测器以及局部变异系数检测器。所提出的特征交汇关键点检测器不仅可以有效提取具有高重复性的关键点,而且大大减少了错误关键点的数量,从而降低了特征描述和匹配的计算成本。同时,该文设计了一种孪生跨阶段部分网络(Sim-CSPNet)来快速提取包含深层和浅层特征的特征描述符。与传统手工设计的浅层描述符相比,它可以用来获得更准确的匹配点对。通过对多组SAR图像进行配准实验,并与其他3种方法进行对比,验证了该方法具有很好的配准结果。 合成孔径雷达(SAR)图像存在固有的相干斑噪声和几何畸变,并且其成像过程中图像之间存在非线性辐射差异,因此SAR图像配准是近年来最具挑战性的任务之一。关键点的可重复性和特征描述符的有效性直接影响基于特征的配准方法精度。该文提出了一种新颖的基于特征交汇的关键点检测器,它包含3个并行的检测器,即相位一致性(PC)检测器、水平和垂直方向梯度检测器以及局部变异系数检测器。所提出的特征交汇关键点检测器不仅可以有效提取具有高重复性的关键点,而且大大减少了错误关键点的数量,从而降低了特征描述和匹配的计算成本。同时,该文设计了一种孪生跨阶段部分网络(Sim-CSPNet)来快速提取包含深层和浅层特征的特征描述符。与传统手工设计的浅层描述符相比,它可以用来获得更准确的匹配点对。通过对多组SAR图像进行配准实验,并与其他3种方法进行对比,验证了该方法具有很好的配准结果。
合成孔径雷达(SAR)图像存在固有的相干斑噪声和几何畸变,并且其成像过程中图像之间存在非线性辐射差异,因此SAR图像配准是近年来最具挑战性的任务之一。关键点的可重复性和特征描述符的有效性直接影响基于特征的配准方法精度。该文提出了一种新颖的基于特征交汇的关键点检测器,它包含3个并行的检测器,即相位一致性(PC)检测器、水平和垂直方向梯度检测器以及局部变异系数检测器。所提出的特征交汇关键点检测器不仅可以有效提取具有高重复性的关键点,而且大大减少了错误关键点的数量,从而降低了特征描述和匹配的计算成本。同时,该文设计了一种孪生跨阶段部分网络(Sim-CSPNet)来快速提取包含深层和浅层特征的特征描述符。与传统手工设计的浅层描述符相比,它可以用来获得更准确的匹配点对。通过对多组SAR图像进行配准实验,并与其他3种方法进行对比,验证了该方法具有很好的配准结果。 合成孔径雷达(SAR)图像存在固有的相干斑噪声和几何畸变,并且其成像过程中图像之间存在非线性辐射差异,因此SAR图像配准是近年来最具挑战性的任务之一。关键点的可重复性和特征描述符的有效性直接影响基于特征的配准方法精度。该文提出了一种新颖的基于特征交汇的关键点检测器,它包含3个并行的检测器,即相位一致性(PC)检测器、水平和垂直方向梯度检测器以及局部变异系数检测器。所提出的特征交汇关键点检测器不仅可以有效提取具有高重复性的关键点,而且大大减少了错误关键点的数量,从而降低了特征描述和匹配的计算成本。同时,该文设计了一种孪生跨阶段部分网络(Sim-CSPNet)来快速提取包含深层和浅层特征的特征描述符。与传统手工设计的浅层描述符相比,它可以用来获得更准确的匹配点对。通过对多组SAR图像进行配准实验,并与其他3种方法进行对比,验证了该方法具有很好的配准结果。
2022, 11(6): 1098-1109.
摘要:
合成孔径雷达(SAR)的非线性轨迹运动可能会在雷达回波信号中引入严重的二维空变特性,因此基于方位平移不变性假设的传统频域成像算法不再适用于非线性轨迹SAR的高精度成像。现有非线性轨迹SAR成像算法通常采用复杂的非线性变标(NCS)校正回波信号的方位空变特性,然而NCS参数过多导致算法复杂,使得其当存在较大平台运动测量误差时无法与现有自聚焦算法有效结合。针对该问题,该文提出一种基于子图像NCS的非线性轨迹SAR成像及其自聚焦方法,在保证成像精度的前提下能够减少NCS的参数数量,更有利于后续的自聚焦处理。仿真与实测数据处理验证了所提方法的有效性。 合成孔径雷达(SAR)的非线性轨迹运动可能会在雷达回波信号中引入严重的二维空变特性,因此基于方位平移不变性假设的传统频域成像算法不再适用于非线性轨迹SAR的高精度成像。现有非线性轨迹SAR成像算法通常采用复杂的非线性变标(NCS)校正回波信号的方位空变特性,然而NCS参数过多导致算法复杂,使得其当存在较大平台运动测量误差时无法与现有自聚焦算法有效结合。针对该问题,该文提出一种基于子图像NCS的非线性轨迹SAR成像及其自聚焦方法,在保证成像精度的前提下能够减少NCS的参数数量,更有利于后续的自聚焦处理。仿真与实测数据处理验证了所提方法的有效性。
合成孔径雷达(SAR)的非线性轨迹运动可能会在雷达回波信号中引入严重的二维空变特性,因此基于方位平移不变性假设的传统频域成像算法不再适用于非线性轨迹SAR的高精度成像。现有非线性轨迹SAR成像算法通常采用复杂的非线性变标(NCS)校正回波信号的方位空变特性,然而NCS参数过多导致算法复杂,使得其当存在较大平台运动测量误差时无法与现有自聚焦算法有效结合。针对该问题,该文提出一种基于子图像NCS的非线性轨迹SAR成像及其自聚焦方法,在保证成像精度的前提下能够减少NCS的参数数量,更有利于后续的自聚焦处理。仿真与实测数据处理验证了所提方法的有效性。 合成孔径雷达(SAR)的非线性轨迹运动可能会在雷达回波信号中引入严重的二维空变特性,因此基于方位平移不变性假设的传统频域成像算法不再适用于非线性轨迹SAR的高精度成像。现有非线性轨迹SAR成像算法通常采用复杂的非线性变标(NCS)校正回波信号的方位空变特性,然而NCS参数过多导致算法复杂,使得其当存在较大平台运动测量误差时无法与现有自聚焦算法有效结合。针对该问题,该文提出一种基于子图像NCS的非线性轨迹SAR成像及其自聚焦方法,在保证成像精度的前提下能够减少NCS的参数数量,更有利于后续的自聚焦处理。仿真与实测数据处理验证了所提方法的有效性。
2022, 11(6): 1110-1118.
摘要:
激光合成孔径雷达将合成孔径技术应用于激光频段,分辨率不受观测距离的限制,可实现远距离、超高分辨率成像。然而,受激光衍射极限限制,观测视场制约着激光合成孔径雷达对地观测实际应用。该文提出一种阵列激光合成孔径雷达技术体制,通过大功率阵列发射、阵列平衡探测接收、逐脉冲动态内定标实现了激光多路相干收发,成倍地扩大了成像视场。地面转台成像试验表明,成像分辨率优于3 cm(距离)×1 cm(方位),该项技术可为激光合成孔径雷达对地观测应用奠定基础。 激光合成孔径雷达将合成孔径技术应用于激光频段,分辨率不受观测距离的限制,可实现远距离、超高分辨率成像。然而,受激光衍射极限限制,观测视场制约着激光合成孔径雷达对地观测实际应用。该文提出一种阵列激光合成孔径雷达技术体制,通过大功率阵列发射、阵列平衡探测接收、逐脉冲动态内定标实现了激光多路相干收发,成倍地扩大了成像视场。地面转台成像试验表明,成像分辨率优于3 cm(距离)×1 cm(方位),该项技术可为激光合成孔径雷达对地观测应用奠定基础。
激光合成孔径雷达将合成孔径技术应用于激光频段,分辨率不受观测距离的限制,可实现远距离、超高分辨率成像。然而,受激光衍射极限限制,观测视场制约着激光合成孔径雷达对地观测实际应用。该文提出一种阵列激光合成孔径雷达技术体制,通过大功率阵列发射、阵列平衡探测接收、逐脉冲动态内定标实现了激光多路相干收发,成倍地扩大了成像视场。地面转台成像试验表明,成像分辨率优于3 cm(距离)×1 cm(方位),该项技术可为激光合成孔径雷达对地观测应用奠定基础。 激光合成孔径雷达将合成孔径技术应用于激光频段,分辨率不受观测距离的限制,可实现远距离、超高分辨率成像。然而,受激光衍射极限限制,观测视场制约着激光合成孔径雷达对地观测实际应用。该文提出一种阵列激光合成孔径雷达技术体制,通过大功率阵列发射、阵列平衡探测接收、逐脉冲动态内定标实现了激光多路相干收发,成倍地扩大了成像视场。地面转台成像试验表明,成像分辨率优于3 cm(距离)×1 cm(方位),该项技术可为激光合成孔径雷达对地观测应用奠定基础。
2022, 11(6): 1119-1130.
摘要:
该文提出了一种针对合成孔径雷达(SAR)的单比特多模态干扰方法,干扰机在截获SAR信号后,将其与单频阈值比较后量化为单比特数据。与传统高精度采样量化生成高逼真度假目标的欺骗干扰方法相比,单比特量化仅保留了数据的符号信息,降低了采样数据的位宽,达到简化系统、提升效率、降低成本的目的。同时,基于单频阈值的单比特量化在截获SAR信号中引入了丰富的谐波分量,通过合理设计阈值的幅度、频率与相位参数,可以将单频阈值泛化为多种阈值。不同阈值可以有效利用不同特性的谐波,进而达到单目标欺骗干扰、多目标欺骗干扰、射频干扰和类噪声干扰等多种干扰模态单一对抗或协同对抗、多模态间捷变的灵巧干扰效果。通过仿真实验定量分析了不同干扰模态下的干扰性能,验证了所提方法的有效性。 该文提出了一种针对合成孔径雷达(SAR)的单比特多模态干扰方法,干扰机在截获SAR信号后,将其与单频阈值比较后量化为单比特数据。与传统高精度采样量化生成高逼真度假目标的欺骗干扰方法相比,单比特量化仅保留了数据的符号信息,降低了采样数据的位宽,达到简化系统、提升效率、降低成本的目的。同时,基于单频阈值的单比特量化在截获SAR信号中引入了丰富的谐波分量,通过合理设计阈值的幅度、频率与相位参数,可以将单频阈值泛化为多种阈值。不同阈值可以有效利用不同特性的谐波,进而达到单目标欺骗干扰、多目标欺骗干扰、射频干扰和类噪声干扰等多种干扰模态单一对抗或协同对抗、多模态间捷变的灵巧干扰效果。通过仿真实验定量分析了不同干扰模态下的干扰性能,验证了所提方法的有效性。
该文提出了一种针对合成孔径雷达(SAR)的单比特多模态干扰方法,干扰机在截获SAR信号后,将其与单频阈值比较后量化为单比特数据。与传统高精度采样量化生成高逼真度假目标的欺骗干扰方法相比,单比特量化仅保留了数据的符号信息,降低了采样数据的位宽,达到简化系统、提升效率、降低成本的目的。同时,基于单频阈值的单比特量化在截获SAR信号中引入了丰富的谐波分量,通过合理设计阈值的幅度、频率与相位参数,可以将单频阈值泛化为多种阈值。不同阈值可以有效利用不同特性的谐波,进而达到单目标欺骗干扰、多目标欺骗干扰、射频干扰和类噪声干扰等多种干扰模态单一对抗或协同对抗、多模态间捷变的灵巧干扰效果。通过仿真实验定量分析了不同干扰模态下的干扰性能,验证了所提方法的有效性。 该文提出了一种针对合成孔径雷达(SAR)的单比特多模态干扰方法,干扰机在截获SAR信号后,将其与单频阈值比较后量化为单比特数据。与传统高精度采样量化生成高逼真度假目标的欺骗干扰方法相比,单比特量化仅保留了数据的符号信息,降低了采样数据的位宽,达到简化系统、提升效率、降低成本的目的。同时,基于单频阈值的单比特量化在截获SAR信号中引入了丰富的谐波分量,通过合理设计阈值的幅度、频率与相位参数,可以将单频阈值泛化为多种阈值。不同阈值可以有效利用不同特性的谐波,进而达到单目标欺骗干扰、多目标欺骗干扰、射频干扰和类噪声干扰等多种干扰模态单一对抗或协同对抗、多模态间捷变的灵巧干扰效果。通过仿真实验定量分析了不同干扰模态下的干扰性能,验证了所提方法的有效性。
2022, 11(6): 1131-1145.
摘要:
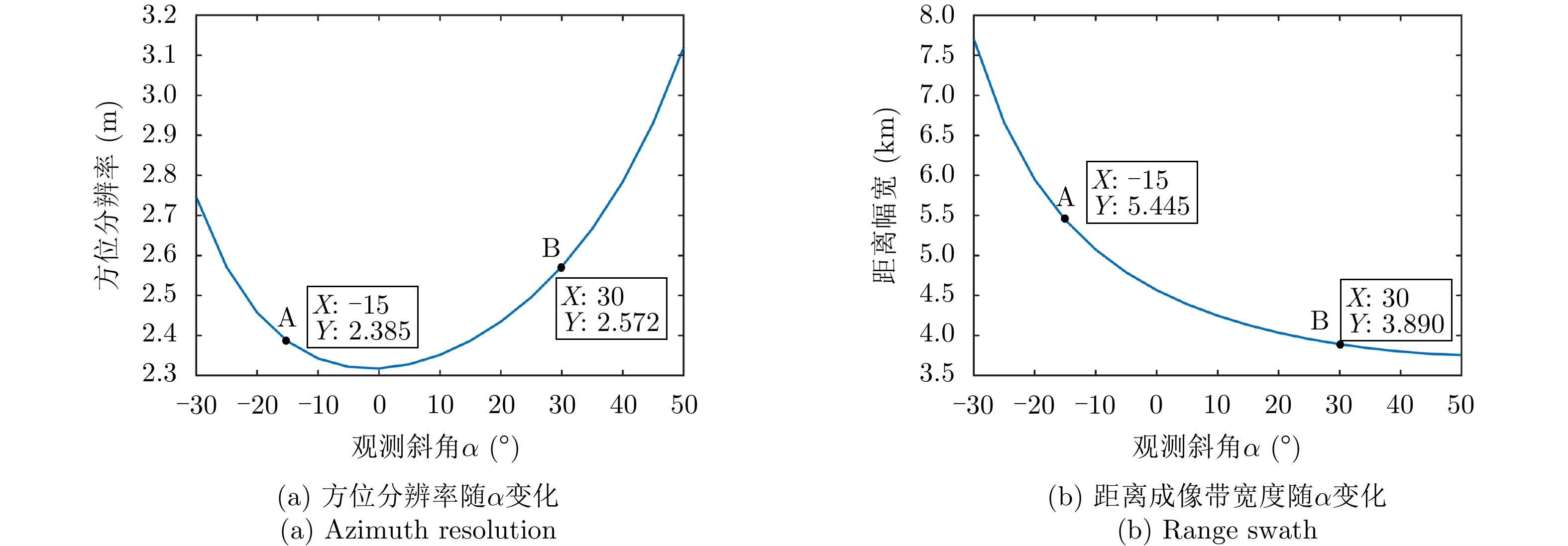
星载合成孔径雷达(SAR)通过采用不同成像模式,实现分辨率与成像带宽度的不同性能组合。常规星载SAR模式的成像带沿着卫星航迹方向,走向单一;但实际目标场景的地理走向多种多样,与沿卫星航迹方向的成像带地理走向不匹配的情况普遍出现,导致数采周期长或方位分辨低、存储与计算资源浪费。星载SAR非沿迹成像模式是解决该问题的新思路,其通过生成与卫星航迹不同向的直线型或曲线型的成像带,匹配于目标场景的实际地理走向,对目标场景进行“地理定制化”成像。该文主要从信息获取、成像处理等方面,讨论了星载SAR非沿迹成像新模式的主要机遇与挑战,并通过计算机仿真实现了星载SAR非沿迹成像模式的原理性验证。 星载合成孔径雷达(SAR)通过采用不同成像模式,实现分辨率与成像带宽度的不同性能组合。常规星载SAR模式的成像带沿着卫星航迹方向,走向单一;但实际目标场景的地理走向多种多样,与沿卫星航迹方向的成像带地理走向不匹配的情况普遍出现,导致数采周期长或方位分辨低、存储与计算资源浪费。星载SAR非沿迹成像模式是解决该问题的新思路,其通过生成与卫星航迹不同向的直线型或曲线型的成像带,匹配于目标场景的实际地理走向,对目标场景进行“地理定制化”成像。该文主要从信息获取、成像处理等方面,讨论了星载SAR非沿迹成像新模式的主要机遇与挑战,并通过计算机仿真实现了星载SAR非沿迹成像模式的原理性验证。
星载合成孔径雷达(SAR)通过采用不同成像模式,实现分辨率与成像带宽度的不同性能组合。常规星载SAR模式的成像带沿着卫星航迹方向,走向单一;但实际目标场景的地理走向多种多样,与沿卫星航迹方向的成像带地理走向不匹配的情况普遍出现,导致数采周期长或方位分辨低、存储与计算资源浪费。星载SAR非沿迹成像模式是解决该问题的新思路,其通过生成与卫星航迹不同向的直线型或曲线型的成像带,匹配于目标场景的实际地理走向,对目标场景进行“地理定制化”成像。该文主要从信息获取、成像处理等方面,讨论了星载SAR非沿迹成像新模式的主要机遇与挑战,并通过计算机仿真实现了星载SAR非沿迹成像模式的原理性验证。 星载合成孔径雷达(SAR)通过采用不同成像模式,实现分辨率与成像带宽度的不同性能组合。常规星载SAR模式的成像带沿着卫星航迹方向,走向单一;但实际目标场景的地理走向多种多样,与沿卫星航迹方向的成像带地理走向不匹配的情况普遍出现,导致数采周期长或方位分辨低、存储与计算资源浪费。星载SAR非沿迹成像模式是解决该问题的新思路,其通过生成与卫星航迹不同向的直线型或曲线型的成像带,匹配于目标场景的实际地理走向,对目标场景进行“地理定制化”成像。该文主要从信息获取、成像处理等方面,讨论了星载SAR非沿迹成像新模式的主要机遇与挑战,并通过计算机仿真实现了星载SAR非沿迹成像模式的原理性验证。
作者中心
专家审稿
责编办公
编辑办公
上一期
摘要
2339KB
微信 | 公众平台 