2022年 11卷 第2期
2022, 11(2): 183-197.
摘要:
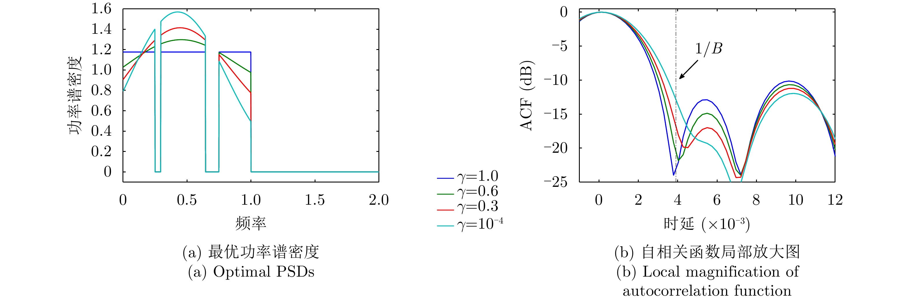
非连续谱雷达信号是一种特殊的认知雷达信号,其频谱由多个离散的频带组成,且能够随着外界干扰的变化自适应地调整离散频带的分布结构。因此,这种信号适用于干扰密布、频谱拥堵的工作场景。非连续谱信号设计主要研究两个问题:一是如何根据干扰环境选取最优的非连续频谱结构以满足雷达抗干扰和分辨性能要求;二是如何根据最优的非连续频谱求解出时域发射信号。非连续谱雷达信号的一个典型应用是高频雷达的抗同频干扰,随着电子对抗的升级以及多电子设备共存引起的频谱拥堵问题,非连续谱信号在雷达抗干扰、电磁频谱兼容等方面日益受到重视。该文对非连续谱信号设计准则与约束、工作频带选取与塑形以及时域信号波形合成等3个方面的研究进行了归纳与总结,以促进非连续谱信号的研究与应用。 非连续谱雷达信号是一种特殊的认知雷达信号,其频谱由多个离散的频带组成,且能够随着外界干扰的变化自适应地调整离散频带的分布结构。因此,这种信号适用于干扰密布、频谱拥堵的工作场景。非连续谱信号设计主要研究两个问题:一是如何根据干扰环境选取最优的非连续频谱结构以满足雷达抗干扰和分辨性能要求;二是如何根据最优的非连续频谱求解出时域发射信号。非连续谱雷达信号的一个典型应用是高频雷达的抗同频干扰,随着电子对抗的升级以及多电子设备共存引起的频谱拥堵问题,非连续谱信号在雷达抗干扰、电磁频谱兼容等方面日益受到重视。该文对非连续谱信号设计准则与约束、工作频带选取与塑形以及时域信号波形合成等3个方面的研究进行了归纳与总结,以促进非连续谱信号的研究与应用。
非连续谱雷达信号是一种特殊的认知雷达信号,其频谱由多个离散的频带组成,且能够随着外界干扰的变化自适应地调整离散频带的分布结构。因此,这种信号适用于干扰密布、频谱拥堵的工作场景。非连续谱信号设计主要研究两个问题:一是如何根据干扰环境选取最优的非连续频谱结构以满足雷达抗干扰和分辨性能要求;二是如何根据最优的非连续频谱求解出时域发射信号。非连续谱雷达信号的一个典型应用是高频雷达的抗同频干扰,随着电子对抗的升级以及多电子设备共存引起的频谱拥堵问题,非连续谱信号在雷达抗干扰、电磁频谱兼容等方面日益受到重视。该文对非连续谱信号设计准则与约束、工作频带选取与塑形以及时域信号波形合成等3个方面的研究进行了归纳与总结,以促进非连续谱信号的研究与应用。 非连续谱雷达信号是一种特殊的认知雷达信号,其频谱由多个离散的频带组成,且能够随着外界干扰的变化自适应地调整离散频带的分布结构。因此,这种信号适用于干扰密布、频谱拥堵的工作场景。非连续谱信号设计主要研究两个问题:一是如何根据干扰环境选取最优的非连续频谱结构以满足雷达抗干扰和分辨性能要求;二是如何根据最优的非连续频谱求解出时域发射信号。非连续谱雷达信号的一个典型应用是高频雷达的抗同频干扰,随着电子对抗的升级以及多电子设备共存引起的频谱拥堵问题,非连续谱信号在雷达抗干扰、电磁频谱兼容等方面日益受到重视。该文对非连续谱信号设计准则与约束、工作频带选取与塑形以及时域信号波形合成等3个方面的研究进行了归纳与总结,以促进非连续谱信号的研究与应用。
2022, 11(2): 198-212.
摘要:
很多军事和民用平台都同时具备雷达与通信功能。传统的分立式设计增加了系统的体积、功耗和成本,并降低了系统的电磁兼容性能。雷达通信一体化设计能够让雷达和通信共享硬件平台,从而克服上述缺点,受到了学术界和工业界的广泛关注。总体来看,雷达通信一体化可以通过资源分配和共用波形来实现。共用波形的方式具有更高的频谱效率和功率效率,并能够从根本上克服跨系统干扰,因此成为近年来的研究热点。该文首先对现有的雷达通信一体化共用波形设计进行综述,并将共用波形设计方法分为基于通信波形、基于雷达波形和基于联合设计3种类型。然后针对一般的一体化波形,该文对雷达通信一体化系统的性能边界的相关研究进行了综述,揭示了雷达和通信性能的折中。最后对该文内容进行了总结,并对一体化的未来研究方向进行了展望。 很多军事和民用平台都同时具备雷达与通信功能。传统的分立式设计增加了系统的体积、功耗和成本,并降低了系统的电磁兼容性能。雷达通信一体化设计能够让雷达和通信共享硬件平台,从而克服上述缺点,受到了学术界和工业界的广泛关注。总体来看,雷达通信一体化可以通过资源分配和共用波形来实现。共用波形的方式具有更高的频谱效率和功率效率,并能够从根本上克服跨系统干扰,因此成为近年来的研究热点。该文首先对现有的雷达通信一体化共用波形设计进行综述,并将共用波形设计方法分为基于通信波形、基于雷达波形和基于联合设计3种类型。然后针对一般的一体化波形,该文对雷达通信一体化系统的性能边界的相关研究进行了综述,揭示了雷达和通信性能的折中。最后对该文内容进行了总结,并对一体化的未来研究方向进行了展望。
很多军事和民用平台都同时具备雷达与通信功能。传统的分立式设计增加了系统的体积、功耗和成本,并降低了系统的电磁兼容性能。雷达通信一体化设计能够让雷达和通信共享硬件平台,从而克服上述缺点,受到了学术界和工业界的广泛关注。总体来看,雷达通信一体化可以通过资源分配和共用波形来实现。共用波形的方式具有更高的频谱效率和功率效率,并能够从根本上克服跨系统干扰,因此成为近年来的研究热点。该文首先对现有的雷达通信一体化共用波形设计进行综述,并将共用波形设计方法分为基于通信波形、基于雷达波形和基于联合设计3种类型。然后针对一般的一体化波形,该文对雷达通信一体化系统的性能边界的相关研究进行了综述,揭示了雷达和通信性能的折中。最后对该文内容进行了总结,并对一体化的未来研究方向进行了展望。 很多军事和民用平台都同时具备雷达与通信功能。传统的分立式设计增加了系统的体积、功耗和成本,并降低了系统的电磁兼容性能。雷达通信一体化设计能够让雷达和通信共享硬件平台,从而克服上述缺点,受到了学术界和工业界的广泛关注。总体来看,雷达通信一体化可以通过资源分配和共用波形来实现。共用波形的方式具有更高的频谱效率和功率效率,并能够从根本上克服跨系统干扰,因此成为近年来的研究热点。该文首先对现有的雷达通信一体化共用波形设计进行综述,并将共用波形设计方法分为基于通信波形、基于雷达波形和基于联合设计3种类型。然后针对一般的一体化波形,该文对雷达通信一体化系统的性能边界的相关研究进行了综述,揭示了雷达和通信性能的折中。最后对该文内容进行了总结,并对一体化的未来研究方向进行了展望。
2022, 11(2): 213-226.
摘要:
机载雷达脉间波形参数伪随机跳变主要是通过优化设计脉冲重复间隔、初相、频率和幅度等参数,增加雷达波形的复杂度与不确定性,提升机载雷达反杂波和抗干扰能力,是机载雷达技术的主要发展方向之一。脉间参数的伪随机跳变给多脉冲相参积累、杂波谱特性建模等带来困难。该文建立了脉间参数伪随机跳变信号模型,提出了非均匀参数捷变脉间相参处理方法,并分析了抗干扰性能。在此基础上,研究了脉冲重复间隔捷变下的机载雷达杂波回波模型,提出了发射-接收滤波器联合优化设计的强杂波处理方法,并进行了仿真验证。 机载雷达脉间波形参数伪随机跳变主要是通过优化设计脉冲重复间隔、初相、频率和幅度等参数,增加雷达波形的复杂度与不确定性,提升机载雷达反杂波和抗干扰能力,是机载雷达技术的主要发展方向之一。脉间参数的伪随机跳变给多脉冲相参积累、杂波谱特性建模等带来困难。该文建立了脉间参数伪随机跳变信号模型,提出了非均匀参数捷变脉间相参处理方法,并分析了抗干扰性能。在此基础上,研究了脉冲重复间隔捷变下的机载雷达杂波回波模型,提出了发射-接收滤波器联合优化设计的强杂波处理方法,并进行了仿真验证。
机载雷达脉间波形参数伪随机跳变主要是通过优化设计脉冲重复间隔、初相、频率和幅度等参数,增加雷达波形的复杂度与不确定性,提升机载雷达反杂波和抗干扰能力,是机载雷达技术的主要发展方向之一。脉间参数的伪随机跳变给多脉冲相参积累、杂波谱特性建模等带来困难。该文建立了脉间参数伪随机跳变信号模型,提出了非均匀参数捷变脉间相参处理方法,并分析了抗干扰性能。在此基础上,研究了脉冲重复间隔捷变下的机载雷达杂波回波模型,提出了发射-接收滤波器联合优化设计的强杂波处理方法,并进行了仿真验证。 机载雷达脉间波形参数伪随机跳变主要是通过优化设计脉冲重复间隔、初相、频率和幅度等参数,增加雷达波形的复杂度与不确定性,提升机载雷达反杂波和抗干扰能力,是机载雷达技术的主要发展方向之一。脉间参数的伪随机跳变给多脉冲相参积累、杂波谱特性建模等带来困难。该文建立了脉间参数伪随机跳变信号模型,提出了非均匀参数捷变脉间相参处理方法,并分析了抗干扰性能。在此基础上,研究了脉冲重复间隔捷变下的机载雷达杂波回波模型,提出了发射-接收滤波器联合优化设计的强杂波处理方法,并进行了仿真验证。
2022, 11(2): 227-239.
摘要:
多节点收发分置系统通过波形在空时频能等多域进行协同工作,能够提供相比单雷达更多的抗干扰自由度。该文针对抗多主瓣干扰问题,提出一种基于两部短基线收发分置系统的频域协同波形设计方法。首先,利用基于MM原理的近端乘子法(MM-PMM)算法,优化设计具有局部良好自相关电平的窄带探测信号;接着,依据窄带探测信号脉间频率跳变特点,优化对应的宽带频谱置零信号,作为窄带信号的掩护信号;然后,利用两个发射节点分别将窄带与宽带信号进行协同发射;最后,利用基于频率捷变的相参和非相参联合积累的信号处理方法实现对频域协同波形回波的处理。数值仿真实验验证了频域协同波形设计方法算法收敛性、频域掩护原理以及抗多主瓣干扰的有效性。 多节点收发分置系统通过波形在空时频能等多域进行协同工作,能够提供相比单雷达更多的抗干扰自由度。该文针对抗多主瓣干扰问题,提出一种基于两部短基线收发分置系统的频域协同波形设计方法。首先,利用基于MM原理的近端乘子法(MM-PMM)算法,优化设计具有局部良好自相关电平的窄带探测信号;接着,依据窄带探测信号脉间频率跳变特点,优化对应的宽带频谱置零信号,作为窄带信号的掩护信号;然后,利用两个发射节点分别将窄带与宽带信号进行协同发射;最后,利用基于频率捷变的相参和非相参联合积累的信号处理方法实现对频域协同波形回波的处理。数值仿真实验验证了频域协同波形设计方法算法收敛性、频域掩护原理以及抗多主瓣干扰的有效性。
多节点收发分置系统通过波形在空时频能等多域进行协同工作,能够提供相比单雷达更多的抗干扰自由度。该文针对抗多主瓣干扰问题,提出一种基于两部短基线收发分置系统的频域协同波形设计方法。首先,利用基于MM原理的近端乘子法(MM-PMM)算法,优化设计具有局部良好自相关电平的窄带探测信号;接着,依据窄带探测信号脉间频率跳变特点,优化对应的宽带频谱置零信号,作为窄带信号的掩护信号;然后,利用两个发射节点分别将窄带与宽带信号进行协同发射;最后,利用基于频率捷变的相参和非相参联合积累的信号处理方法实现对频域协同波形回波的处理。数值仿真实验验证了频域协同波形设计方法算法收敛性、频域掩护原理以及抗多主瓣干扰的有效性。 多节点收发分置系统通过波形在空时频能等多域进行协同工作,能够提供相比单雷达更多的抗干扰自由度。该文针对抗多主瓣干扰问题,提出一种基于两部短基线收发分置系统的频域协同波形设计方法。首先,利用基于MM原理的近端乘子法(MM-PMM)算法,优化设计具有局部良好自相关电平的窄带探测信号;接着,依据窄带探测信号脉间频率跳变特点,优化对应的宽带频谱置零信号,作为窄带信号的掩护信号;然后,利用两个发射节点分别将窄带与宽带信号进行协同发射;最后,利用基于频率捷变的相参和非相参联合积累的信号处理方法实现对频域协同波形回波的处理。数值仿真实验验证了频域协同波形设计方法算法收敛性、频域掩护原理以及抗多主瓣干扰的有效性。
2022, 11(2): 240-254.
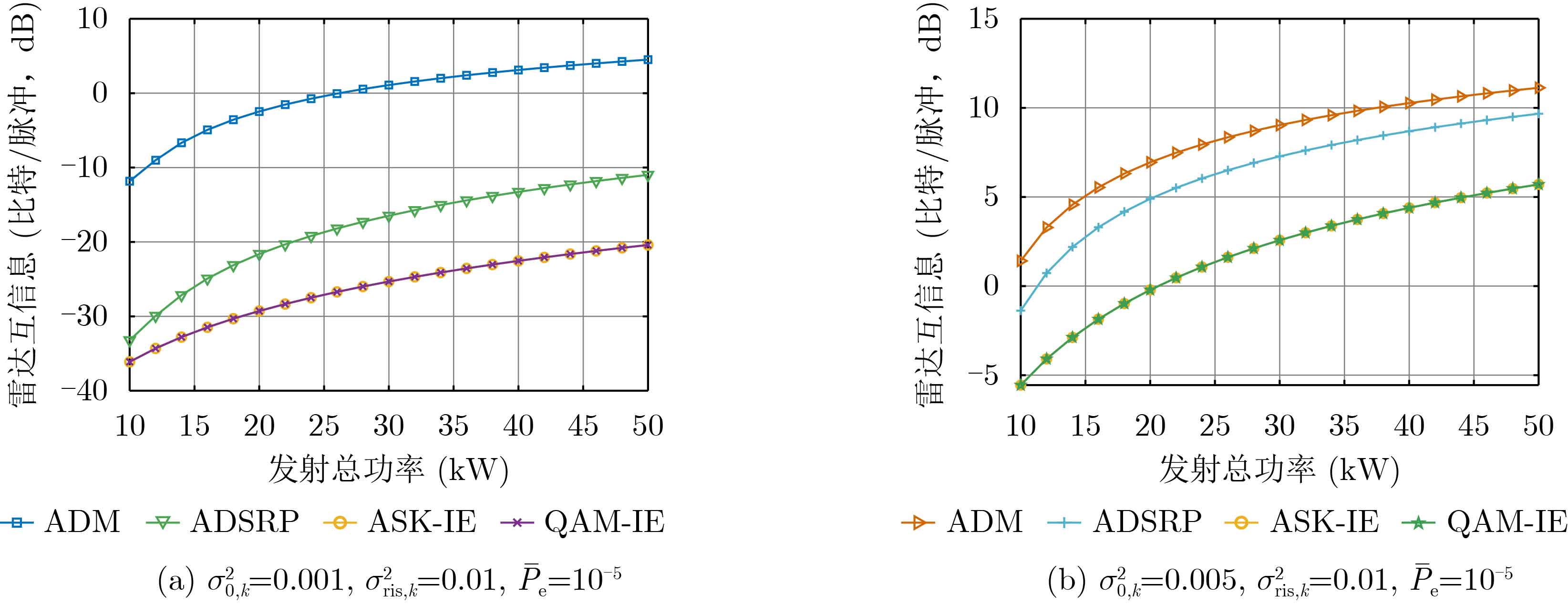
摘要:
雷达通信一体化是解决频谱资源拥挤问题的有效途径之一,而共享波形设计是同时实现雷达与通信功能的关键技术,该文旨在解决智能反射面(IRS)辅助雷达通信双功能(DRC)系统的多载波波形优化问题。首先,通过最大化传输功率、通信码字错误率(WEP)、旁瓣幅度与IRS反射系数约束下的雷达互信息(RMI),构建了双功能发射波形、IRS反射单元、雷达与通信接收波束联合优化模型。其次,提出了基于交替方向最大化(ADM)的多载波波形优化算法,通过将原非凸优化问题分解为若干低复杂度子问题并迭代优化,获得了多载波波形功率分配策略的局部最优解。最后,仿真结果表明,ADM算法能同时实现雷达与通信功能;相较于现有方法有效提升了IRS辅助DRC系统的雷达与通信性能。 雷达通信一体化是解决频谱资源拥挤问题的有效途径之一,而共享波形设计是同时实现雷达与通信功能的关键技术,该文旨在解决智能反射面(IRS)辅助雷达通信双功能(DRC)系统的多载波波形优化问题。首先,通过最大化传输功率、通信码字错误率(WEP)、旁瓣幅度与IRS反射系数约束下的雷达互信息(RMI),构建了双功能发射波形、IRS反射单元、雷达与通信接收波束联合优化模型。其次,提出了基于交替方向最大化(ADM)的多载波波形优化算法,通过将原非凸优化问题分解为若干低复杂度子问题并迭代优化,获得了多载波波形功率分配策略的局部最优解。最后,仿真结果表明,ADM算法能同时实现雷达与通信功能;相较于现有方法有效提升了IRS辅助DRC系统的雷达与通信性能。
雷达通信一体化是解决频谱资源拥挤问题的有效途径之一,而共享波形设计是同时实现雷达与通信功能的关键技术,该文旨在解决智能反射面(IRS)辅助雷达通信双功能(DRC)系统的多载波波形优化问题。首先,通过最大化传输功率、通信码字错误率(WEP)、旁瓣幅度与IRS反射系数约束下的雷达互信息(RMI),构建了双功能发射波形、IRS反射单元、雷达与通信接收波束联合优化模型。其次,提出了基于交替方向最大化(ADM)的多载波波形优化算法,通过将原非凸优化问题分解为若干低复杂度子问题并迭代优化,获得了多载波波形功率分配策略的局部最优解。最后,仿真结果表明,ADM算法能同时实现雷达与通信功能;相较于现有方法有效提升了IRS辅助DRC系统的雷达与通信性能。 雷达通信一体化是解决频谱资源拥挤问题的有效途径之一,而共享波形设计是同时实现雷达与通信功能的关键技术,该文旨在解决智能反射面(IRS)辅助雷达通信双功能(DRC)系统的多载波波形优化问题。首先,通过最大化传输功率、通信码字错误率(WEP)、旁瓣幅度与IRS反射系数约束下的雷达互信息(RMI),构建了双功能发射波形、IRS反射单元、雷达与通信接收波束联合优化模型。其次,提出了基于交替方向最大化(ADM)的多载波波形优化算法,通过将原非凸优化问题分解为若干低复杂度子问题并迭代优化,获得了多载波波形功率分配策略的局部最优解。最后,仿真结果表明,ADM算法能同时实现雷达与通信功能;相较于现有方法有效提升了IRS辅助DRC系统的雷达与通信性能。
2022, 11(2): 255-263.
摘要:
雷达波形优化作为雷达领域中最重要的课题之一,受到广泛关注。雷达探测波形不仅要有恒定的幅度,还要有低的自相关副瓣。由于恒模约束是非凸的,所以针对低自相关旁瓣恒模波形优化问题复杂度很高。已有算法通常将包含波形幅度和相位信息的多维向量空间作为优化问题的可行解集合,计算过程需要恒模约束条件参与,导致寻优难度和计算量较大。该文提出了一种相位域低积分旁瓣恒模雷达波形优化方法,将对恒模波形寻优的可行解空间压缩至波形相位域的向量集合,对恒模波形向量中各元素相位与其他元素之间的关系进行深入分析并进行解析表示,进而基于坐标下降法的迭代优化思想对波形向量各元素依次更新。通过压缩可行集规模和采用闭式解更新变量的方法,获得了自相关积分旁瓣性能更优的波形序列,并有效降低了计算复杂度,提升了优化效率。最后该文通过数值仿真的方法验证所提方法的有效性。 雷达波形优化作为雷达领域中最重要的课题之一,受到广泛关注。雷达探测波形不仅要有恒定的幅度,还要有低的自相关副瓣。由于恒模约束是非凸的,所以针对低自相关旁瓣恒模波形优化问题复杂度很高。已有算法通常将包含波形幅度和相位信息的多维向量空间作为优化问题的可行解集合,计算过程需要恒模约束条件参与,导致寻优难度和计算量较大。该文提出了一种相位域低积分旁瓣恒模雷达波形优化方法,将对恒模波形寻优的可行解空间压缩至波形相位域的向量集合,对恒模波形向量中各元素相位与其他元素之间的关系进行深入分析并进行解析表示,进而基于坐标下降法的迭代优化思想对波形向量各元素依次更新。通过压缩可行集规模和采用闭式解更新变量的方法,获得了自相关积分旁瓣性能更优的波形序列,并有效降低了计算复杂度,提升了优化效率。最后该文通过数值仿真的方法验证所提方法的有效性。
雷达波形优化作为雷达领域中最重要的课题之一,受到广泛关注。雷达探测波形不仅要有恒定的幅度,还要有低的自相关副瓣。由于恒模约束是非凸的,所以针对低自相关旁瓣恒模波形优化问题复杂度很高。已有算法通常将包含波形幅度和相位信息的多维向量空间作为优化问题的可行解集合,计算过程需要恒模约束条件参与,导致寻优难度和计算量较大。该文提出了一种相位域低积分旁瓣恒模雷达波形优化方法,将对恒模波形寻优的可行解空间压缩至波形相位域的向量集合,对恒模波形向量中各元素相位与其他元素之间的关系进行深入分析并进行解析表示,进而基于坐标下降法的迭代优化思想对波形向量各元素依次更新。通过压缩可行集规模和采用闭式解更新变量的方法,获得了自相关积分旁瓣性能更优的波形序列,并有效降低了计算复杂度,提升了优化效率。最后该文通过数值仿真的方法验证所提方法的有效性。 雷达波形优化作为雷达领域中最重要的课题之一,受到广泛关注。雷达探测波形不仅要有恒定的幅度,还要有低的自相关副瓣。由于恒模约束是非凸的,所以针对低自相关旁瓣恒模波形优化问题复杂度很高。已有算法通常将包含波形幅度和相位信息的多维向量空间作为优化问题的可行解集合,计算过程需要恒模约束条件参与,导致寻优难度和计算量较大。该文提出了一种相位域低积分旁瓣恒模雷达波形优化方法,将对恒模波形寻优的可行解空间压缩至波形相位域的向量集合,对恒模波形向量中各元素相位与其他元素之间的关系进行深入分析并进行解析表示,进而基于坐标下降法的迭代优化思想对波形向量各元素依次更新。通过压缩可行集规模和采用闭式解更新变量的方法,获得了自相关积分旁瓣性能更优的波形序列,并有效降低了计算复杂度,提升了优化效率。最后该文通过数值仿真的方法验证所提方法的有效性。
2022, 11(2): 264-277.
摘要:
该文研究了一种快速的抗间歇采样转发干扰波形和滤波器联合设计方法。基于罚函数和帕累托最优化原理给出了联合设计模型的优化数学模型。推导优化波形和滤波器过程中矩阵迹的解析表达式,有效降低了算法的计算复杂度。提出了一种基于平方迭代加速方法,解决了主分量最小化方法目标函数近似造成的算法收敛速度降低问题,进一步加快了算法运行速度。仿真结果表明,该文所提出的算法比传统方法具有更快的运行速度。同时,当干扰目标和真实目标在距离上不可分时,该文方法仍能够有效抑制间歇采样转发干扰。 该文研究了一种快速的抗间歇采样转发干扰波形和滤波器联合设计方法。基于罚函数和帕累托最优化原理给出了联合设计模型的优化数学模型。推导优化波形和滤波器过程中矩阵迹的解析表达式,有效降低了算法的计算复杂度。提出了一种基于平方迭代加速方法,解决了主分量最小化方法目标函数近似造成的算法收敛速度降低问题,进一步加快了算法运行速度。仿真结果表明,该文所提出的算法比传统方法具有更快的运行速度。同时,当干扰目标和真实目标在距离上不可分时,该文方法仍能够有效抑制间歇采样转发干扰。
该文研究了一种快速的抗间歇采样转发干扰波形和滤波器联合设计方法。基于罚函数和帕累托最优化原理给出了联合设计模型的优化数学模型。推导优化波形和滤波器过程中矩阵迹的解析表达式,有效降低了算法的计算复杂度。提出了一种基于平方迭代加速方法,解决了主分量最小化方法目标函数近似造成的算法收敛速度降低问题,进一步加快了算法运行速度。仿真结果表明,该文所提出的算法比传统方法具有更快的运行速度。同时,当干扰目标和真实目标在距离上不可分时,该文方法仍能够有效抑制间歇采样转发干扰。 该文研究了一种快速的抗间歇采样转发干扰波形和滤波器联合设计方法。基于罚函数和帕累托最优化原理给出了联合设计模型的优化数学模型。推导优化波形和滤波器过程中矩阵迹的解析表达式,有效降低了算法的计算复杂度。提出了一种基于平方迭代加速方法,解决了主分量最小化方法目标函数近似造成的算法收敛速度降低问题,进一步加快了算法运行速度。仿真结果表明,该文所提出的算法比传统方法具有更快的运行速度。同时,当干扰目标和真实目标在距离上不可分时,该文方法仍能够有效抑制间歇采样转发干扰。
2022, 11(2): 278-288.
摘要:
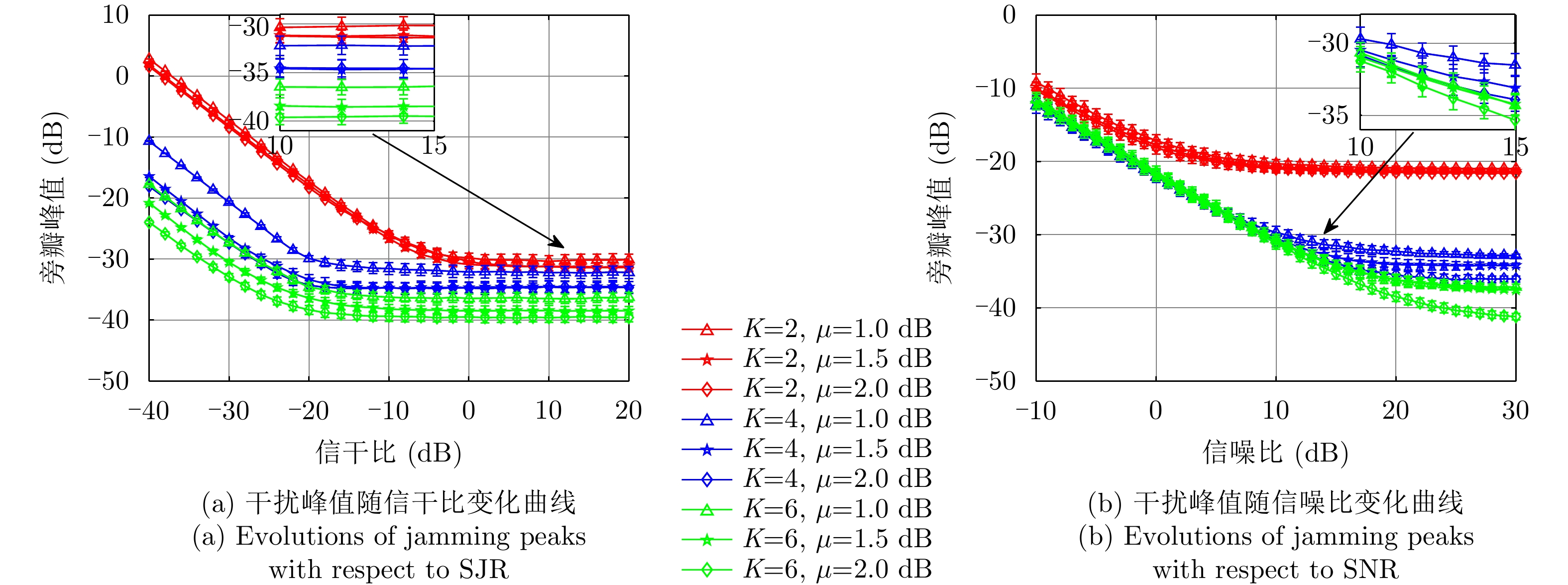
作为一种典型的相干干扰,间歇采样转发干扰利用欠采样原理,能够在雷达接收机产生多个高逼真假目标,使雷达对真实目标的检测失效。针对这一问题,该文提出了一种基于多普勒容忍的多脉冲互补序列和接收滤波器联合设计的抗间歇采样转发干扰方法。首先,考虑设计序列的多普勒容限,以最小化发射序列和接收滤波器模糊函数旁瓣能量以及干扰信号和接收滤波器模糊函数能量为优化指标,同时考虑了发射波形的恒模约束以及非匹配滤波体制的信噪比损失约束等。然后,提出了基于优化最小化方法的交替迭代优化算法解决所提出的非凸优化问题。最后,仿真实验表明,相比于传统方法,该文方法设计的收发序列具有更好的脉压旁瓣性能和抗间歇采样转发干扰性能,能够显著提升雷达在干扰场景下对运动目标的检测能力。 作为一种典型的相干干扰,间歇采样转发干扰利用欠采样原理,能够在雷达接收机产生多个高逼真假目标,使雷达对真实目标的检测失效。针对这一问题,该文提出了一种基于多普勒容忍的多脉冲互补序列和接收滤波器联合设计的抗间歇采样转发干扰方法。首先,考虑设计序列的多普勒容限,以最小化发射序列和接收滤波器模糊函数旁瓣能量以及干扰信号和接收滤波器模糊函数能量为优化指标,同时考虑了发射波形的恒模约束以及非匹配滤波体制的信噪比损失约束等。然后,提出了基于优化最小化方法的交替迭代优化算法解决所提出的非凸优化问题。最后,仿真实验表明,相比于传统方法,该文方法设计的收发序列具有更好的脉压旁瓣性能和抗间歇采样转发干扰性能,能够显著提升雷达在干扰场景下对运动目标的检测能力。
作为一种典型的相干干扰,间歇采样转发干扰利用欠采样原理,能够在雷达接收机产生多个高逼真假目标,使雷达对真实目标的检测失效。针对这一问题,该文提出了一种基于多普勒容忍的多脉冲互补序列和接收滤波器联合设计的抗间歇采样转发干扰方法。首先,考虑设计序列的多普勒容限,以最小化发射序列和接收滤波器模糊函数旁瓣能量以及干扰信号和接收滤波器模糊函数能量为优化指标,同时考虑了发射波形的恒模约束以及非匹配滤波体制的信噪比损失约束等。然后,提出了基于优化最小化方法的交替迭代优化算法解决所提出的非凸优化问题。最后,仿真实验表明,相比于传统方法,该文方法设计的收发序列具有更好的脉压旁瓣性能和抗间歇采样转发干扰性能,能够显著提升雷达在干扰场景下对运动目标的检测能力。 作为一种典型的相干干扰,间歇采样转发干扰利用欠采样原理,能够在雷达接收机产生多个高逼真假目标,使雷达对真实目标的检测失效。针对这一问题,该文提出了一种基于多普勒容忍的多脉冲互补序列和接收滤波器联合设计的抗间歇采样转发干扰方法。首先,考虑设计序列的多普勒容限,以最小化发射序列和接收滤波器模糊函数旁瓣能量以及干扰信号和接收滤波器模糊函数能量为优化指标,同时考虑了发射波形的恒模约束以及非匹配滤波体制的信噪比损失约束等。然后,提出了基于优化最小化方法的交替迭代优化算法解决所提出的非凸优化问题。最后,仿真实验表明,相比于传统方法,该文方法设计的收发序列具有更好的脉压旁瓣性能和抗间歇采样转发干扰性能,能够显著提升雷达在干扰场景下对运动目标的检测能力。
2022, 11(2): 289-300.
摘要:
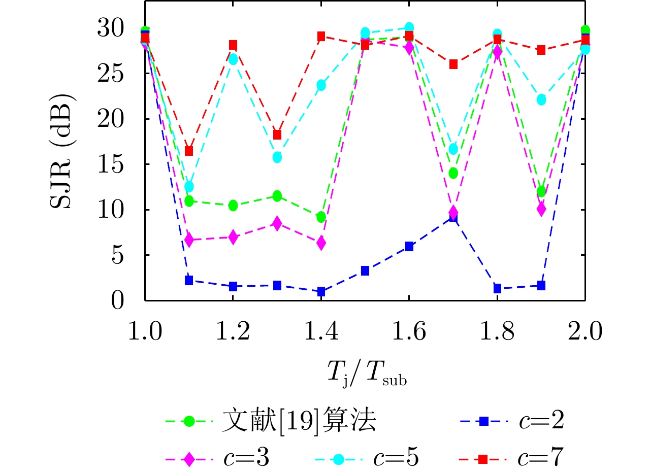
间歇采样噪声调制转发干扰是一种兼具压制和欺骗特点的新型有源干扰,是目前雷达抗干扰领域的难点之一。为了提高捷变频雷达对抗噪声调制的间歇采样转发干扰(ISRJ)的能力,该文结合ISRJ时域不连续的特点,提出一种基于频率捷变体制雷达联合模糊C均值(FCM)的抗ISRJ方法。首先,该文设计一种脉内频率编码-脉间频率捷变的雷达发射波形;雷达接收到回波信号后,通过频域窄带滤波得到不同脉内频率编码对应的子脉冲信号;然后利用FCM算法判断脉冲压缩后的子脉冲中是否含有干扰;最后,通过压缩感知(CS)算法实现脉间频率跳变波形的相参积累。理论分析和仿真实验证明该算法可以有效对抗ISRJ。 间歇采样噪声调制转发干扰是一种兼具压制和欺骗特点的新型有源干扰,是目前雷达抗干扰领域的难点之一。为了提高捷变频雷达对抗噪声调制的间歇采样转发干扰(ISRJ)的能力,该文结合ISRJ时域不连续的特点,提出一种基于频率捷变体制雷达联合模糊C均值(FCM)的抗ISRJ方法。首先,该文设计一种脉内频率编码-脉间频率捷变的雷达发射波形;雷达接收到回波信号后,通过频域窄带滤波得到不同脉内频率编码对应的子脉冲信号;然后利用FCM算法判断脉冲压缩后的子脉冲中是否含有干扰;最后,通过压缩感知(CS)算法实现脉间频率跳变波形的相参积累。理论分析和仿真实验证明该算法可以有效对抗ISRJ。
间歇采样噪声调制转发干扰是一种兼具压制和欺骗特点的新型有源干扰,是目前雷达抗干扰领域的难点之一。为了提高捷变频雷达对抗噪声调制的间歇采样转发干扰(ISRJ)的能力,该文结合ISRJ时域不连续的特点,提出一种基于频率捷变体制雷达联合模糊C均值(FCM)的抗ISRJ方法。首先,该文设计一种脉内频率编码-脉间频率捷变的雷达发射波形;雷达接收到回波信号后,通过频域窄带滤波得到不同脉内频率编码对应的子脉冲信号;然后利用FCM算法判断脉冲压缩后的子脉冲中是否含有干扰;最后,通过压缩感知(CS)算法实现脉间频率跳变波形的相参积累。理论分析和仿真实验证明该算法可以有效对抗ISRJ。 间歇采样噪声调制转发干扰是一种兼具压制和欺骗特点的新型有源干扰,是目前雷达抗干扰领域的难点之一。为了提高捷变频雷达对抗噪声调制的间歇采样转发干扰(ISRJ)的能力,该文结合ISRJ时域不连续的特点,提出一种基于频率捷变体制雷达联合模糊C均值(FCM)的抗ISRJ方法。首先,该文设计一种脉内频率编码-脉间频率捷变的雷达发射波形;雷达接收到回波信号后,通过频域窄带滤波得到不同脉内频率编码对应的子脉冲信号;然后利用FCM算法判断脉冲压缩后的子脉冲中是否含有干扰;最后,通过压缩感知(CS)算法实现脉间频率跳变波形的相参积累。理论分析和仿真实验证明该算法可以有效对抗ISRJ。
2022, 11(2): 301-312.
摘要:
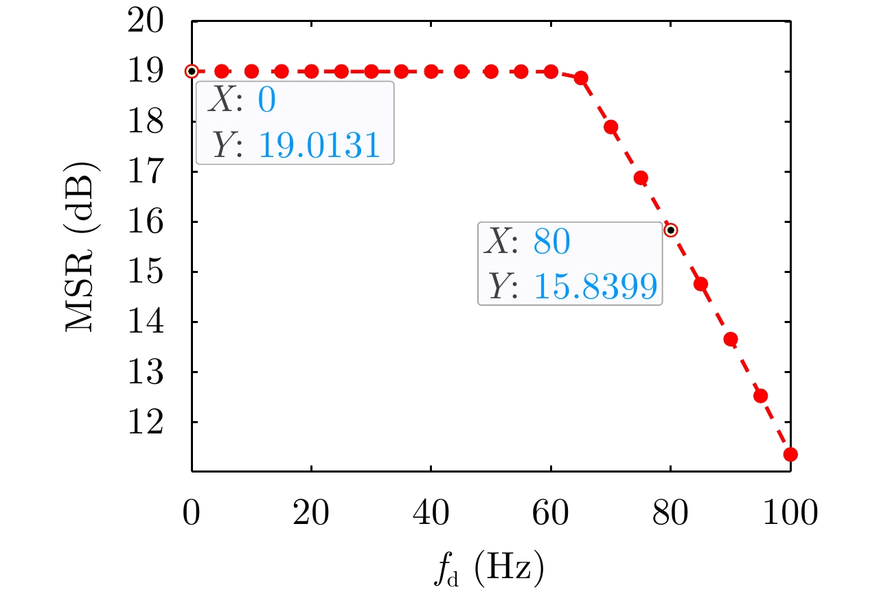
为提升雷达抗间歇采样干扰的能力,该文根据间歇采样转发干扰收发分时的特点,利用脉间-脉内捷变频波形的“主动”抗干扰优势,提出了一种基于分数阶傅里叶变换的并行干扰抑制方法。首先在时域对被干扰的子脉冲进行提取,并将提取到的信号进行切片处理,然后在分数阶傅里叶域利用窄带滤波器组对干扰进行抑制,最后构造匹配滤波器组进行分段脉冲压缩实现子脉冲积累。理论分析和仿真结果表明,所提方法可以有效对抗不同间歇采样干扰样式组成的多主瓣干扰,在高干信比条件下依然具有良好的抗干扰性能,极大提升了雷达的抗干扰能力。 为提升雷达抗间歇采样干扰的能力,该文根据间歇采样转发干扰收发分时的特点,利用脉间-脉内捷变频波形的“主动”抗干扰优势,提出了一种基于分数阶傅里叶变换的并行干扰抑制方法。首先在时域对被干扰的子脉冲进行提取,并将提取到的信号进行切片处理,然后在分数阶傅里叶域利用窄带滤波器组对干扰进行抑制,最后构造匹配滤波器组进行分段脉冲压缩实现子脉冲积累。理论分析和仿真结果表明,所提方法可以有效对抗不同间歇采样干扰样式组成的多主瓣干扰,在高干信比条件下依然具有良好的抗干扰性能,极大提升了雷达的抗干扰能力。
为提升雷达抗间歇采样干扰的能力,该文根据间歇采样转发干扰收发分时的特点,利用脉间-脉内捷变频波形的“主动”抗干扰优势,提出了一种基于分数阶傅里叶变换的并行干扰抑制方法。首先在时域对被干扰的子脉冲进行提取,并将提取到的信号进行切片处理,然后在分数阶傅里叶域利用窄带滤波器组对干扰进行抑制,最后构造匹配滤波器组进行分段脉冲压缩实现子脉冲积累。理论分析和仿真结果表明,所提方法可以有效对抗不同间歇采样干扰样式组成的多主瓣干扰,在高干信比条件下依然具有良好的抗干扰性能,极大提升了雷达的抗干扰能力。 为提升雷达抗间歇采样干扰的能力,该文根据间歇采样转发干扰收发分时的特点,利用脉间-脉内捷变频波形的“主动”抗干扰优势,提出了一种基于分数阶傅里叶变换的并行干扰抑制方法。首先在时域对被干扰的子脉冲进行提取,并将提取到的信号进行切片处理,然后在分数阶傅里叶域利用窄带滤波器组对干扰进行抑制,最后构造匹配滤波器组进行分段脉冲压缩实现子脉冲积累。理论分析和仿真结果表明,所提方法可以有效对抗不同间歇采样干扰样式组成的多主瓣干扰,在高干信比条件下依然具有良好的抗干扰性能,极大提升了雷达的抗干扰能力。