2021年 10卷 第3期
传统合成孔径雷达(SAR)成像可视为点目标散射模型约束下数据空间到图像空间的映射。然而,真实目标多为延展目标,与传统线性成像处理中的点目标散射模型存在失配,会导致SAR图像表征失真。常见的现象是使延展目标多呈现为孤立强点,阻碍了基于SAR图像的目标辨识等应用。SAR参数化成像技术是为解决上述模型失配问题而诞生的一种非线性成像方法,特点是兼顾点目标和延展目标的散射模型。具体来说,是通过利用不同类别目标的回波或图像的相位与幅度特征对观测角度的敏感性,辨识目标类型,反演目标散射参数,进而根据目标散射的参数化模型,重建目标图像的技术。在对延展目标成像时,可获得比传统线性成像方法更好的图像质量。该文主要介绍了线型延展目标的参数化成像技术,对应真实场景中的孤立强点和连续边缘,深入讨论了基于回波域、图像域的参数化成像技术和试验结果,展望了未来SAR参数化成像技术的发展趋势。
传统合成孔径雷达(SAR)成像可视为点目标散射模型约束下数据空间到图像空间的映射。然而,真实目标多为延展目标,与传统线性成像处理中的点目标散射模型存在失配,会导致SAR图像表征失真。常见的现象是使延展目标多呈现为孤立强点,阻碍了基于SAR图像的目标辨识等应用。SAR参数化成像技术是为解决上述模型失配问题而诞生的一种非线性成像方法,特点是兼顾点目标和延展目标的散射模型。具体来说,是通过利用不同类别目标的回波或图像的相位与幅度特征对观测角度的敏感性,辨识目标类型,反演目标散射参数,进而根据目标散射的参数化模型,重建目标图像的技术。在对延展目标成像时,可获得比传统线性成像方法更好的图像质量。该文主要介绍了线型延展目标的参数化成像技术,对应真实场景中的孤立强点和连续边缘,深入讨论了基于回波域、图像域的参数化成像技术和试验结果,展望了未来SAR参数化成像技术的发展趋势。
在进入陌生建筑物内部之前获取其内部结构信息,能够为反恐作战、灾害救援等多种应用提供服务,具有重要的现实意义和研究价值。低频电磁波能够穿透常见建筑物材料传播,进而安全、稳定、隐蔽地获取墙后目标信息。利用低频电磁波获取墙后信息因此成为建筑物内部结构透视领域的研究重点。为获知该领域的发展脉络,并预测未来可能的发展趋势,该文对21世纪初以来该领域国内外公开文献进行了归纳总结。相关文献的梳理结果表明,利用低频电磁波进行建筑物内部结构穿透探测的技术目前主要包括3类:基于反射波测量的穿墙雷达成像技术、基于透射波测量的射频层析成像技术、基于多径信号的墙体位置估计技术。这3类技术均已取得一定具有实际意义的研究成果。该文围绕这3类技术所涵盖主要内容的发展历程进行了梳理,主要包括穿墙雷达墙后静止目标成像原理、基于穿墙雷达的建筑物内部结构观测模式、基于穿墙雷达成像的建筑物内部结构重建技术、基于射频层析成像的建筑物内部结构反演技术、基于多径信号的墙体位置估计技术,并以此对该领域的发展趋势进行了探讨。总结近20年以来低频电磁波建筑物内部结构透视技术的发展历程,可以发现建筑物内部结构穿透探测平台已由传统的机载、车载平台转向微型机器人、无人机等新型平台,而对应的建筑物内部结构信息重建方法,则由传统的雷达成像技术,发展成包含图像增强、稀疏重构等在内的多种新型方法。这些结果表明,建筑物内部结构透视技术正朝着系统化、多样化、智能化的方向发展。 在进入陌生建筑物内部之前获取其内部结构信息,能够为反恐作战、灾害救援等多种应用提供服务,具有重要的现实意义和研究价值。低频电磁波能够穿透常见建筑物材料传播,进而安全、稳定、隐蔽地获取墙后目标信息。利用低频电磁波获取墙后信息因此成为建筑物内部结构透视领域的研究重点。为获知该领域的发展脉络,并预测未来可能的发展趋势,该文对21世纪初以来该领域国内外公开文献进行了归纳总结。相关文献的梳理结果表明,利用低频电磁波进行建筑物内部结构穿透探测的技术目前主要包括3类:基于反射波测量的穿墙雷达成像技术、基于透射波测量的射频层析成像技术、基于多径信号的墙体位置估计技术。这3类技术均已取得一定具有实际意义的研究成果。该文围绕这3类技术所涵盖主要内容的发展历程进行了梳理,主要包括穿墙雷达墙后静止目标成像原理、基于穿墙雷达的建筑物内部结构观测模式、基于穿墙雷达成像的建筑物内部结构重建技术、基于射频层析成像的建筑物内部结构反演技术、基于多径信号的墙体位置估计技术,并以此对该领域的发展趋势进行了探讨。总结近20年以来低频电磁波建筑物内部结构透视技术的发展历程,可以发现建筑物内部结构穿透探测平台已由传统的机载、车载平台转向微型机器人、无人机等新型平台,而对应的建筑物内部结构信息重建方法,则由传统的雷达成像技术,发展成包含图像增强、稀疏重构等在内的多种新型方法。这些结果表明,建筑物内部结构透视技术正朝着系统化、多样化、智能化的方向发展。
中段弹道目标会发生释放弹头、抛洒诱饵等多种形式的目标分离事件。在目标分离的前期,多目标之间距离较近,存在电磁耦合现象,诱发目标雷达散射截面积、极化等维度的电磁特征变化。准确地捕获这些变化就能辅助雷达进行资源调度,提高预警雷达对弹道目标的跟踪和识别能力。该文对中段弹道目标3种分离方式的动态散射特性进行了深入分析,在此基础上提出了可以判断目标分离事件发生的特征量,促进弹道目标行为辨识的发展。 中段弹道目标会发生释放弹头、抛洒诱饵等多种形式的目标分离事件。在目标分离的前期,多目标之间距离较近,存在电磁耦合现象,诱发目标雷达散射截面积、极化等维度的电磁特征变化。准确地捕获这些变化就能辅助雷达进行资源调度,提高预警雷达对弹道目标的跟踪和识别能力。该文对中段弹道目标3种分离方式的动态散射特性进行了深入分析,在此基础上提出了可以判断目标分离事件发生的特征量,促进弹道目标行为辨识的发展。
几何绕射理论(GTD)模型是一种重要的散射中心模型,能准确描述雷达目标主要散射机理的频率依赖行为,但目前在频率依赖因子与散射机理类型之间尚未建立明确、一般的数学关系。该文从射线理论出发,结合几何光学(GO), GTD, 物理绕射理论(PTD)和驻相法(SPM)等方法,推导了理想电导体(PEC)目标任意多次散射机理的频率依赖因子数学表达式。该表达式具有简洁、统一的解析形式,指出散射中心频率依赖因子与形成散射中心的射线反射次数、射线经过的几何元素维数以及射线场焦散情况等因素有关。一系列典型组合体目标的电磁仿真与微波暗室测量数据验证了提出公式的有效性。该文提出的频率依赖因子表达可应用于正向参数化建模中频率依赖因子的正向推算。 几何绕射理论(GTD)模型是一种重要的散射中心模型,能准确描述雷达目标主要散射机理的频率依赖行为,但目前在频率依赖因子与散射机理类型之间尚未建立明确、一般的数学关系。该文从射线理论出发,结合几何光学(GO), GTD, 物理绕射理论(PTD)和驻相法(SPM)等方法,推导了理想电导体(PEC)目标任意多次散射机理的频率依赖因子数学表达式。该表达式具有简洁、统一的解析形式,指出散射中心频率依赖因子与形成散射中心的射线反射次数、射线经过的几何元素维数以及射线场焦散情况等因素有关。一系列典型组合体目标的电磁仿真与微波暗室测量数据验证了提出公式的有效性。该文提出的频率依赖因子表达可应用于正向参数化建模中频率依赖因子的正向推算。
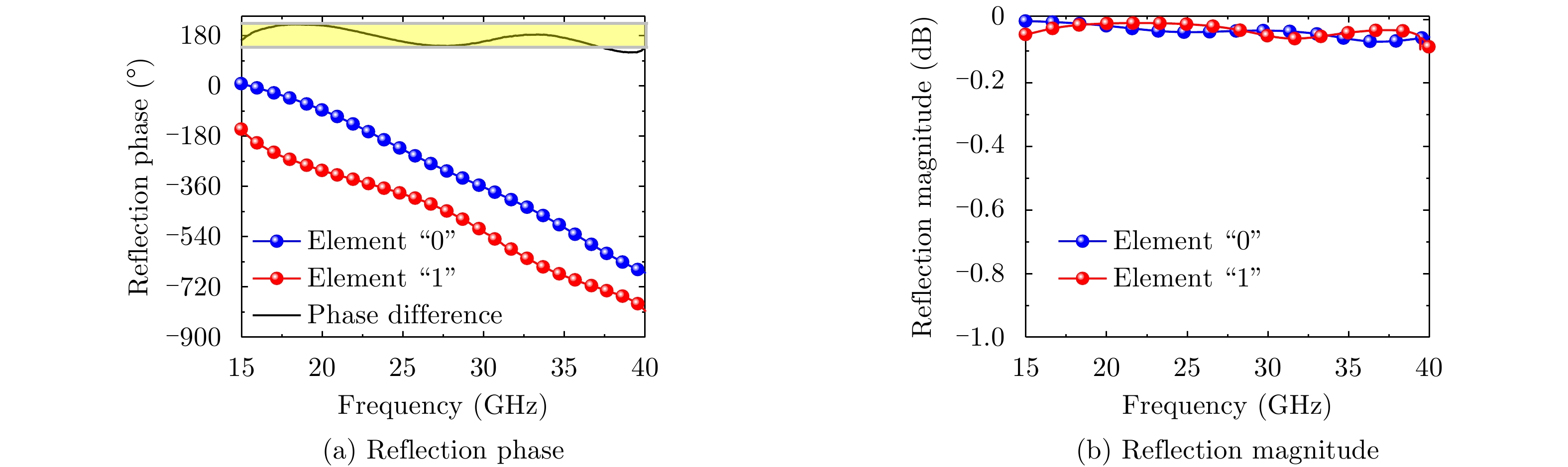
该文提出了一种结构新颖的四叶草形编码超表面,并利用该超表面实现了超宽带漫散射。所提出的编码超表面具有旋转对称性,它对x极化和y极化波产生相似的反射特性。为了实现1比特编码超表面,该文设计了在15.5~40.5 GHz的频率范围内且相位差为180°±37°的两个超表面单元。采用优化算法得到阵列中单元的最佳排列,从而实现了宽带RCS的缩减。四叶草形编码超表面可以在15.5~26.5 GHz和30.5~40.5 GHz这两个频带内实现10 dB的RCS缩减。该文加工了该编码超表面并与仿真结果进行了比较,从而有效验证了所设计的四叶草形编码超表面可以在宽频带内实现RCS的缩减。 该文提出了一种结构新颖的四叶草形编码超表面,并利用该超表面实现了超宽带漫散射。所提出的编码超表面具有旋转对称性,它对x极化和y极化波产生相似的反射特性。为了实现1比特编码超表面,该文设计了在15.5~40.5 GHz的频率范围内且相位差为180°±37°的两个超表面单元。采用优化算法得到阵列中单元的最佳排列,从而实现了宽带RCS的缩减。四叶草形编码超表面可以在15.5~26.5 GHz和30.5~40.5 GHz这两个频带内实现10 dB的RCS缩减。该文加工了该编码超表面并与仿真结果进行了比较,从而有效验证了所设计的四叶草形编码超表面可以在宽频带内实现RCS的缩减。
利用干涉合成孔径雷达(InSAR)技术获取数字高程模型(DEM)时,在地形起伏剧烈区域,干涉条纹十分密集,增加了相位解缠的难度,影响相位展开和高程反演的精度。为了解决该问题,该文提出了一种基于DEM辅助后向投影模型的InSAR高程反演方法。该方法可以在统一的后向投影成像空间中实现成像和InSAR高程反演,并且引入外源DEM作为辅助信息,去除大部分地形相位,有效地降低了干涉条纹的密度,减少了干涉相位的缠绕。此外,该方法在多数情况下可以避免图像配准和相位解缠过程,简化了传统InSAR的处理流程,并且可以实现高精度的高程反演。通过仿真实验和X波段机载双天线InSAR数据的处理验证了该方法的有效性。 利用干涉合成孔径雷达(InSAR)技术获取数字高程模型(DEM)时,在地形起伏剧烈区域,干涉条纹十分密集,增加了相位解缠的难度,影响相位展开和高程反演的精度。为了解决该问题,该文提出了一种基于DEM辅助后向投影模型的InSAR高程反演方法。该方法可以在统一的后向投影成像空间中实现成像和InSAR高程反演,并且引入外源DEM作为辅助信息,去除大部分地形相位,有效地降低了干涉条纹的密度,减少了干涉相位的缠绕。此外,该方法在多数情况下可以避免图像配准和相位解缠过程,简化了传统InSAR的处理流程,并且可以实现高精度的高程反演。通过仿真实验和X波段机载双天线InSAR数据的处理验证了该方法的有效性。
桥梁作为重要的人造目标,一直都是合成孔径雷达(SAR)图像解译的重要对象之一。目前针对桥梁检测问题已开展了较多研究,核心思想是:首先提取出河流水体,然后再根据河流与桥梁的位置关系检测桥梁。然而,已有的桥梁检测方法依赖于河流提取,很难实现陆上桥梁检测。因为陆上桥梁下方的背景不再是河流,而是陆地,其散射特性、形状分布与河流不同,不能采用传统的水体提取方法来检测陆地背景,进而无法利用桥梁的位置先验知识定位桥梁。针对该问题,该文提出了一种基于极化圆周SAR(CSAR)图像的陆上桥梁检测方法。首先,利用观测场景的圆周极化熵(CPE)实现疑似桥梁目标与陆地背景的分离(该实验中桥梁的CPE均值为0.4018,陆地背景的CPE均值为0.7819,两者具有明差别);然后,根据地物目标的极化熵方差特征和桥梁尺寸特性,抑制虚假目标;最后,根据桥梁的几何特征实现陆上桥梁的准确提取。该文所提方法解决了传统桥梁检测方法需要基于河流提取结果才能实现桥梁检测的问题。机载L波段极化CSAR实测数据处理结果证明了所提方法的正确性、有效性和实用性。 桥梁作为重要的人造目标,一直都是合成孔径雷达(SAR)图像解译的重要对象之一。目前针对桥梁检测问题已开展了较多研究,核心思想是:首先提取出河流水体,然后再根据河流与桥梁的位置关系检测桥梁。然而,已有的桥梁检测方法依赖于河流提取,很难实现陆上桥梁检测。因为陆上桥梁下方的背景不再是河流,而是陆地,其散射特性、形状分布与河流不同,不能采用传统的水体提取方法来检测陆地背景,进而无法利用桥梁的位置先验知识定位桥梁。针对该问题,该文提出了一种基于极化圆周SAR(CSAR)图像的陆上桥梁检测方法。首先,利用观测场景的圆周极化熵(CPE)实现疑似桥梁目标与陆地背景的分离(该实验中桥梁的CPE均值为0.4018,陆地背景的CPE均值为0.7819,两者具有明差别);然后,根据地物目标的极化熵方差特征和桥梁尺寸特性,抑制虚假目标;最后,根据桥梁的几何特征实现陆上桥梁的准确提取。该文所提方法解决了传统桥梁检测方法需要基于河流提取结果才能实现桥梁检测的问题。机载L波段极化CSAR实测数据处理结果证明了所提方法的正确性、有效性和实用性。
基于傅里叶变换的传统逆合成孔径雷达(ISAR)成像方法存在数据存储量大、数据采集时间长的问题。压缩感知(CS)理论利用图像的稀疏性,可以利用有限的数据恢复图像,这极大降低了数据采集成本。但对于多维数据,传统压缩感知方法要将多维数据转化成一维向量,这造成了很大存储和计算负担。因此,该文提出一种基于多维度-交替方向乘子法(MD-ADMM)的多输入多输出-逆合成孔径雷达(MIMO-ISAR)成像快速稀疏重建方法。首先建立基于张量信号的压缩感知模型,然后用ADMM算法对模型进行优化,将测量矩阵分解为张量模态积,用张量元素除法替代矩阵求逆,显著减少所需的内存和计算负担。该方法只需少量的数据采样,就能实现快速成像。与其他基于张量的压缩感知方法相比,该方法具有鲁棒性强、图像质量好、计算效率高的优点。仿真和实测数据验证了该方法的有效性。 基于傅里叶变换的传统逆合成孔径雷达(ISAR)成像方法存在数据存储量大、数据采集时间长的问题。压缩感知(CS)理论利用图像的稀疏性,可以利用有限的数据恢复图像,这极大降低了数据采集成本。但对于多维数据,传统压缩感知方法要将多维数据转化成一维向量,这造成了很大存储和计算负担。因此,该文提出一种基于多维度-交替方向乘子法(MD-ADMM)的多输入多输出-逆合成孔径雷达(MIMO-ISAR)成像快速稀疏重建方法。首先建立基于张量信号的压缩感知模型,然后用ADMM算法对模型进行优化,将测量矩阵分解为张量模态积,用张量元素除法替代矩阵求逆,显著减少所需的内存和计算负担。该方法只需少量的数据采样,就能实现快速成像。与其他基于张量的压缩感知方法相比,该方法具有鲁棒性强、图像质量好、计算效率高的优点。仿真和实测数据验证了该方法的有效性。
混合源定位在无源雷达中发挥着重要作用。针对均匀圆阵下基于相位差方法的定位精度较低的问题,该文提出基于矩阵差分的远场和近场混合源定位方法。首先,利用二维多重信号(2-D MUSIC)分类方法估计出远场源的方位角和俯仰角;随后,利用协方差矩阵差分方法提取出近场源差分矩阵,通过改进的类旋转不变估计信号参数(ESPRIT-like)方法计算出近场源的方位角和俯仰角;进一步地,利用一维多重信号分类方法估计出近场源的距离;最后通过仿真实验对该文所提算法进行验证。该文所提算法在远场源和近场源角度相同的情况下能够有效地识别混合源,并且提高混合源参数估计精度。实验结果表明该算法在信噪比(SNR)为20 dB时,近场源的二维DOA估计误差接近0.01°,而近场源的距离误差接近0.1 m。 混合源定位在无源雷达中发挥着重要作用。针对均匀圆阵下基于相位差方法的定位精度较低的问题,该文提出基于矩阵差分的远场和近场混合源定位方法。首先,利用二维多重信号(2-D MUSIC)分类方法估计出远场源的方位角和俯仰角;随后,利用协方差矩阵差分方法提取出近场源差分矩阵,通过改进的类旋转不变估计信号参数(ESPRIT-like)方法计算出近场源的方位角和俯仰角;进一步地,利用一维多重信号分类方法估计出近场源的距离;最后通过仿真实验对该文所提算法进行验证。该文所提算法在远场源和近场源角度相同的情况下能够有效地识别混合源,并且提高混合源参数估计精度。实验结果表明该算法在信噪比(SNR)为20 dB时,近场源的二维DOA估计误差接近0.01°,而近场源的距离误差接近0.1 m。
针对部分均匀高斯干扰环境下的点目标检测问题,该文基于广义似然比准则(GLRT)提出一种适用于空间对称线阵的修正GLRT检测方法。考虑到采样时存在的目标能量泄漏,在接收信号建模时采用目标能量泄漏采样模型弥补泄漏损失,并基于干扰协方差矩阵的斜对称结构降低对辅助数据的需求,最终联合待检测数据和辅助数据实现未知参数的估计,得到兼具有良好目标检测和距离估计性能的斜对称修正GLRT检测方法。仿真结果表明,该方法不仅在部分均匀环境下具有恒虚警特性,而且在辅助数据数量受限时,相比其同类型的检测方法具有1 dB以上的检测性能优势。 针对部分均匀高斯干扰环境下的点目标检测问题,该文基于广义似然比准则(GLRT)提出一种适用于空间对称线阵的修正GLRT检测方法。考虑到采样时存在的目标能量泄漏,在接收信号建模时采用目标能量泄漏采样模型弥补泄漏损失,并基于干扰协方差矩阵的斜对称结构降低对辅助数据的需求,最终联合待检测数据和辅助数据实现未知参数的估计,得到兼具有良好目标检测和距离估计性能的斜对称修正GLRT检测方法。仿真结果表明,该方法不仅在部分均匀环境下具有恒虚警特性,而且在辅助数据数量受限时,相比其同类型的检测方法具有1 dB以上的检测性能优势。
雷达通信一体化波形设计是近年来的研究热点。有学者提出利用正交频分复用(OFDM)信号的奇偶载波分别调制雷达与通信功能来实现一体化。但OFDM通信系统一般采用循环前缀(CP)来避免多径效应带来的载波间干扰(ICI)和符号间干扰(ISI),这会降低能量利用率,并会形成虚假目标,影响雷达性能;此外,传统的OFDM一体化信号对多普勒比较敏感,微小的多普勒频偏也会带来正交性能的严重下降。该文在此基础上提出了一种新的波形设计和处理方法。该方法利用空白保护间隔替代循环前缀,可以在对抗多径效应的同时避免出现由于循环前缀引入的虚假目标,有效防止载波间干扰和符号间干扰。在信号处理方法上,该文提出利用雷达发射信号的先验信息进行信道估计与补偿多普勒频偏的方法。与传统方法相比,该文方法降低了系统在导频与训练序列等资源上的开销,提升了能量利用率和频谱效率,并且改善了峰值旁瓣比(PSLR)、积分旁瓣比(ISLR)和通信误码率(BER)等指标。仿真实验验证了该文方法的有效性。 雷达通信一体化波形设计是近年来的研究热点。有学者提出利用正交频分复用(OFDM)信号的奇偶载波分别调制雷达与通信功能来实现一体化。但OFDM通信系统一般采用循环前缀(CP)来避免多径效应带来的载波间干扰(ICI)和符号间干扰(ISI),这会降低能量利用率,并会形成虚假目标,影响雷达性能;此外,传统的OFDM一体化信号对多普勒比较敏感,微小的多普勒频偏也会带来正交性能的严重下降。该文在此基础上提出了一种新的波形设计和处理方法。该方法利用空白保护间隔替代循环前缀,可以在对抗多径效应的同时避免出现由于循环前缀引入的虚假目标,有效防止载波间干扰和符号间干扰。在信号处理方法上,该文提出利用雷达发射信号的先验信息进行信道估计与补偿多普勒频偏的方法。与传统方法相比,该文方法降低了系统在导频与训练序列等资源上的开销,提升了能量利用率和频谱效率,并且改善了峰值旁瓣比(PSLR)、积分旁瓣比(ISLR)和通信误码率(BER)等指标。仿真实验验证了该文方法的有效性。
随着无线通信技术的发展,全球通信产业对于无线频谱的需求日益增加。在此背景下,雷达与通信的频谱共享(RCSS)引起了工业界和学术界的极大关注。其内涵不仅包括促成雷达与通信设备的同频共存、互不干扰,从而高效利用频谱,还包括设计一种兼容二者的新型一体化系统,使得该系统能同时完成信息传输与目标探测两种功能。该文围绕雷达与通信频谱共享的两种解决方案:(1)雷达与通信系统的同频共存(RCC); (2)雷达通信一体化(DFRC)系统设计,进行了深入而系统的综述。具体而言,该文首先讨论雷达通信在多个频段共存的实例,然后简要介绍了雷达通信一体化技术在多个领域的应用场景。进一步地,讨论雷达通信同频共存和一体化系统的研究进展。最后,总结全文并讨论了该领域内的若干开放问题。 随着无线通信技术的发展,全球通信产业对于无线频谱的需求日益增加。在此背景下,雷达与通信的频谱共享(RCSS)引起了工业界和学术界的极大关注。其内涵不仅包括促成雷达与通信设备的同频共存、互不干扰,从而高效利用频谱,还包括设计一种兼容二者的新型一体化系统,使得该系统能同时完成信息传输与目标探测两种功能。该文围绕雷达与通信频谱共享的两种解决方案:(1)雷达与通信系统的同频共存(RCC); (2)雷达通信一体化(DFRC)系统设计,进行了深入而系统的综述。具体而言,该文首先讨论雷达通信在多个频段共存的实例,然后简要介绍了雷达通信一体化技术在多个领域的应用场景。进一步地,讨论雷达通信同频共存和一体化系统的研究进展。最后,总结全文并讨论了该领域内的若干开放问题。
作者中心
专家审稿
责编办公
编辑办公
上一期
摘要
5121KB
微信 | 公众平台 