2020年 9卷 第2期
该文针对多方位角观测星载SAR新技术进行综述。首先分析了当前国内外SAR卫星发展现状和趋势,并从多个角度对比综述了其对地观测的能力。在此基础上,结合当前应用需求对多方位角观测星载SAR工作新模式进行了综述,解析其工作机理,并结合试验结果总结分析了多方位角观测星载SAR在目标散射信息、几何信息和运动信息获取方面的优势。最后,对多方位角观测星载SAR技术的发展进行了总结和展望。 该文针对多方位角观测星载SAR新技术进行综述。首先分析了当前国内外SAR卫星发展现状和趋势,并从多个角度对比综述了其对地观测的能力。在此基础上,结合当前应用需求对多方位角观测星载SAR工作新模式进行了综述,解析其工作机理,并结合试验结果总结分析了多方位角观测星载SAR在目标散射信息、几何信息和运动信息获取方面的优势。最后,对多方位角观测星载SAR技术的发展进行了总结和展望。
机载圆周合成孔径雷达(CSAR)作为一种新兴的成像模式,具有全方位观测、高空间分辨率和可三维成像等优点。随着CSAR成像技术的不断发展,现已逐渐成为对重点区域实施精确观测的有效手段之一。该文重点阐述了作者所在研究团队近年来在机载CSAR成像技术方面完成的研究工作,包括机载CSAR成像模型,空间分辨率评估,CSAR二维成像,基于单圆周CSAR的目标三维图像重构和多基线CSAR(HoloSAR)三维成像等技术,并给出了P, X两个频段机载CSAR的实测数据处理结果。已取得的研究成果证明了机载CSAR成像的有效性和实用性。该文主要内容基于作者2019年8月16日在“雷达学报第五届青年科学家论坛”上的学术报告。
机载圆周合成孔径雷达(CSAR)作为一种新兴的成像模式,具有全方位观测、高空间分辨率和可三维成像等优点。随着CSAR成像技术的不断发展,现已逐渐成为对重点区域实施精确观测的有效手段之一。该文重点阐述了作者所在研究团队近年来在机载CSAR成像技术方面完成的研究工作,包括机载CSAR成像模型,空间分辨率评估,CSAR二维成像,基于单圆周CSAR的目标三维图像重构和多基线CSAR(HoloSAR)三维成像等技术,并给出了P, X两个频段机载CSAR的实测数据处理结果。已取得的研究成果证明了机载CSAR成像的有效性和实用性。该文主要内容基于作者2019年8月16日在“雷达学报第五届青年科学家论坛”上的学术报告。
近年来,正交频分复用(OFDM)信号由于具有正交性以及大带宽特性被广泛应用于合成孔径成像(SAR)研究中。相比传统SAR成像,由于其信号的独特性,OFDM SAR在成像上具有一定优势,但也面临着很多挑战。该文根据天线配置的不同,分别对单天线OFDM SAR成像和多天线MIMO OFDM SAR成像所面临的问题进行了梳理与总结,重点讨论了基于OFDM信号和基于循环前缀(CP)OFDM信号的SAR/MIMO SAR成像方法,并分析了OFDM SAR未来的可能发展方向。 近年来,正交频分复用(OFDM)信号由于具有正交性以及大带宽特性被广泛应用于合成孔径成像(SAR)研究中。相比传统SAR成像,由于其信号的独特性,OFDM SAR在成像上具有一定优势,但也面临着很多挑战。该文根据天线配置的不同,分别对单天线OFDM SAR成像和多天线MIMO OFDM SAR成像所面临的问题进行了梳理与总结,重点讨论了基于OFDM信号和基于循环前缀(CP)OFDM信号的SAR/MIMO SAR成像方法,并分析了OFDM SAR未来的可能发展方向。
极化合成孔径雷达(SAR)能够获取目标的全极化信息,在对地观测、灾害评估、侦察监视等民用和军用领域得到广泛应用。国内主要高校、中科院、工业部门和用户单位在该领域开展了卓有成效的工作,取得一大批标志性研究成果。该文简要综述了极化SAR成像解译识别领域的主要研究进展。在解译层面,主要介绍了极化目标分解和极化旋转域解译等理论方法的研究进展。在应用层面,结合研究团队的工作,探讨了上述理论方法在舰船检测、地物分类和建筑物损毁评估等领域的应用成效。最后,对极化SAR目标解译识别技术的研究进行了展望。
极化合成孔径雷达(SAR)能够获取目标的全极化信息,在对地观测、灾害评估、侦察监视等民用和军用领域得到广泛应用。国内主要高校、中科院、工业部门和用户单位在该领域开展了卓有成效的工作,取得一大批标志性研究成果。该文简要综述了极化SAR成像解译识别领域的主要研究进展。在解译层面,主要介绍了极化目标分解和极化旋转域解译等理论方法的研究进展。在应用层面,结合研究团队的工作,探讨了上述理论方法在舰船检测、地物分类和建筑物损毁评估等领域的应用成效。最后,对极化SAR目标解译识别技术的研究进行了展望。
该文提出了一种在多普勒频谱模糊情况下的星载方位向多通道高分宽幅合成孔径雷达地面运动目标检测(SAR-GMTI)系统的杂波抑制方法。首先,利用方位解线性调频对方位向多通道(HRWS) SAR-GMTI系统中的回波进行处理,得到杂波和动目标的粗聚焦图像。然后,将多通道SAR系统的粗聚焦图像表示为矩阵形式,并估计出相应的协方差矩阵。之后,用杂波协方差矩阵构造杂波空间的正交矢量,即最小特征值对应的特征向量。该方法需要一个冗余的通道自由度。由于杂波空间的正交矢量与杂波空间向量是正交的,因此可以用来抑制杂波。最后,通过仿真和实测数据实验结果验证该文所提杂波抑制方法的有效性。 该文提出了一种在多普勒频谱模糊情况下的星载方位向多通道高分宽幅合成孔径雷达地面运动目标检测(SAR-GMTI)系统的杂波抑制方法。首先,利用方位解线性调频对方位向多通道(HRWS) SAR-GMTI系统中的回波进行处理,得到杂波和动目标的粗聚焦图像。然后,将多通道SAR系统的粗聚焦图像表示为矩阵形式,并估计出相应的协方差矩阵。之后,用杂波协方差矩阵构造杂波空间的正交矢量,即最小特征值对应的特征向量。该方法需要一个冗余的通道自由度。由于杂波空间的正交矢量与杂波空间向量是正交的,因此可以用来抑制杂波。最后,通过仿真和实测数据实验结果验证该文所提杂波抑制方法的有效性。
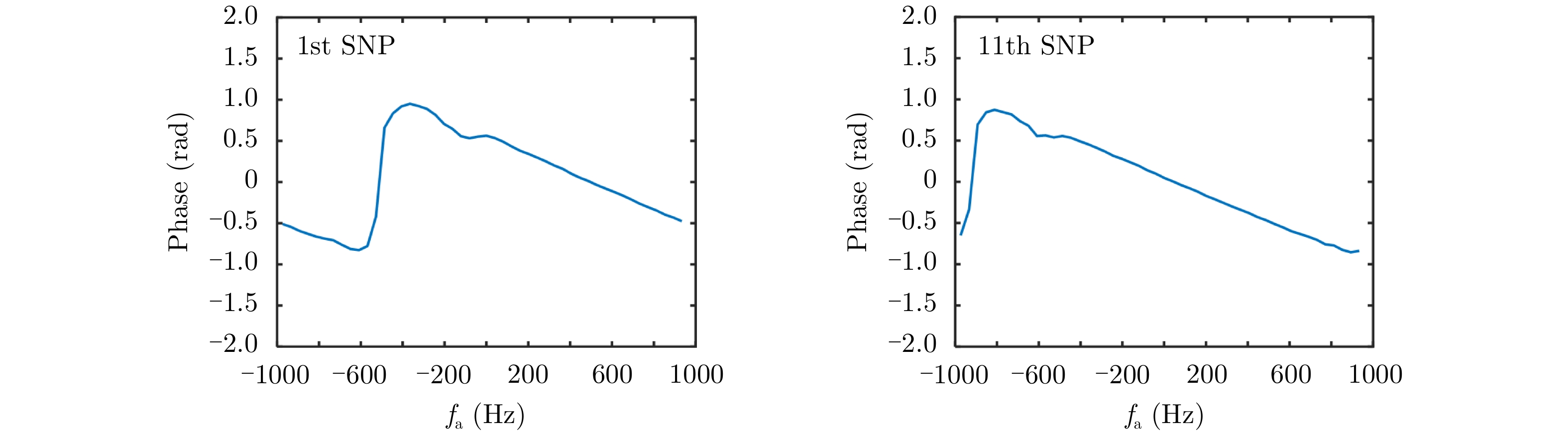
多角度SAR作为一种新的SAR模式,它具备对场景的长时间观测以及大合成孔径角两个优势。已有研究表明,这两点区别于传统SAR模式的优势,使得单通道系统也可以具备较强的动目标检测能力,即,无需增加雷达系统的复杂度,就可以实现在轨星载SAR系统动目标检测能力的拓展和提升。这也使得多角度SAR动目标研究成为新的研究热点。在研讨近年来多角度SAR-GMTI研究基础及发展现状的基础上,该文重点介绍了研究团队围绕高分3号开展的原理性验证实验研究,包括凝视聚束模式动目标检测方法研究、双通道动目实验模式、双通道凝视聚束GMTI模式研究等。通过上述研究,以期为在轨及规划星载SAR单通道GMTI工程实现、未来星载多角度SAR时序动态观测新型工作模式设计等奠定可行性研究基础。 多角度SAR作为一种新的SAR模式,它具备对场景的长时间观测以及大合成孔径角两个优势。已有研究表明,这两点区别于传统SAR模式的优势,使得单通道系统也可以具备较强的动目标检测能力,即,无需增加雷达系统的复杂度,就可以实现在轨星载SAR系统动目标检测能力的拓展和提升。这也使得多角度SAR动目标研究成为新的研究热点。在研讨近年来多角度SAR-GMTI研究基础及发展现状的基础上,该文重点介绍了研究团队围绕高分3号开展的原理性验证实验研究,包括凝视聚束模式动目标检测方法研究、双通道动目实验模式、双通道凝视聚束GMTI模式研究等。通过上述研究,以期为在轨及规划星载SAR单通道GMTI工程实现、未来星载多角度SAR时序动态观测新型工作模式设计等奠定可行性研究基础。
视频合成孔径雷达(SAR)技术将观测场景的动态信息以视频方式呈现出来,其高帧率成像特性有利于实现对地面机动目标的实时探测。视频SAR信号处理关键技术主要包括高帧率成像处理算法和运动目标检测技术等。该文对视频SAR成像处理进行了探讨,给出了两种典型视频SAR成像处理仿真数据结果,详细分析了视频SAR阴影形成机理和对动目标检测性能的影响,并将基于机器学习的视频SAR阴影目标检测技术与经典处理方法在实际数据上进行了验证对比。 视频合成孔径雷达(SAR)技术将观测场景的动态信息以视频方式呈现出来,其高帧率成像特性有利于实现对地面机动目标的实时探测。视频SAR信号处理关键技术主要包括高帧率成像处理算法和运动目标检测技术等。该文对视频SAR成像处理进行了探讨,给出了两种典型视频SAR成像处理仿真数据结果,详细分析了视频SAR阴影形成机理和对动目标检测性能的影响,并将基于机器学习的视频SAR阴影目标检测技术与经典处理方法在实际数据上进行了验证对比。
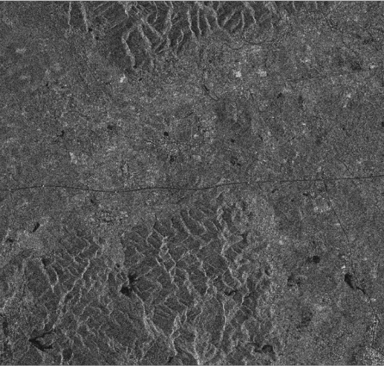
由于合成孔径雷达(SAR)特殊的成像机制,导致了SAR图像上出现了旁瓣效应(SVA)。针对舰船目标检测过程中,旁瓣效应改变了强反射目标的形状导致的定位困难与定位错误问题,该文提出了一种基于空间变迹滤波与有序统计恒虚警率(OS-CFAR)的舰船检测算法。该算法将空间变迹滤波算法运用到复图像数据中,针对目标检测要求的实时性问题进行算法改进,通过全局CFAR只对潜在目标点进行旁瓣抑制而忽略对舰船检测无意义的大量背景点,在抑制旁瓣的同时减少了算法运算量。然后采用非线性的OS-CAFR算法对旁瓣抑制后的图像进行目标检测,并且采用形态学膨胀运算,弥补SVA算法可能造成的像素点幅值错误降低的问题。最后利用高分三号(GF-3)的实测数据进行验证,通过对比有无使用该文算法的结果的图像对比度与检查目标个数,体现了算法的有效性。 由于合成孔径雷达(SAR)特殊的成像机制,导致了SAR图像上出现了旁瓣效应(SVA)。针对舰船目标检测过程中,旁瓣效应改变了强反射目标的形状导致的定位困难与定位错误问题,该文提出了一种基于空间变迹滤波与有序统计恒虚警率(OS-CFAR)的舰船检测算法。该算法将空间变迹滤波算法运用到复图像数据中,针对目标检测要求的实时性问题进行算法改进,通过全局CFAR只对潜在目标点进行旁瓣抑制而忽略对舰船检测无意义的大量背景点,在抑制旁瓣的同时减少了算法运算量。然后采用非线性的OS-CAFR算法对旁瓣抑制后的图像进行目标检测,并且采用形态学膨胀运算,弥补SVA算法可能造成的像素点幅值错误降低的问题。最后利用高分三号(GF-3)的实测数据进行验证,通过对比有无使用该文算法的结果的图像对比度与检查目标个数,体现了算法的有效性。
简缩极化(CP)模式是一种新型双极化模式。在实际工程应用中,包括简缩极化模式在内的所有双极化模式均无法直接通过外定标的方法补偿发射误差。因而有必要对发射误差所带来的影响进行详细分析。针对极化SAR系统,目前已有学者提出使用误差的最大归一化误差(MNE)参数对极化SAR系统的极化质量做分析评估。该文针对发射圆极化波的简缩极化模式提出了一种基于实际发射极化波极化轴比(AR)参数的发射误差分析方法。首先,通过仿真分析不同发射误差源对AR参数的影响,与此同时还展示了相同发射误差源影响下的MNE参数;通过分析对比,总结了AR参数相对MNE参数的3个优点;最后,使用高分三号卫星的实际测量误差数据与圆极化发射波实验系统的实测数据验证了该文提出的发射误差评估方法的有效性。 简缩极化(CP)模式是一种新型双极化模式。在实际工程应用中,包括简缩极化模式在内的所有双极化模式均无法直接通过外定标的方法补偿发射误差。因而有必要对发射误差所带来的影响进行详细分析。针对极化SAR系统,目前已有学者提出使用误差的最大归一化误差(MNE)参数对极化SAR系统的极化质量做分析评估。该文针对发射圆极化波的简缩极化模式提出了一种基于实际发射极化波极化轴比(AR)参数的发射误差分析方法。首先,通过仿真分析不同发射误差源对AR参数的影响,与此同时还展示了相同发射误差源影响下的MNE参数;通过分析对比,总结了AR参数相对MNE参数的3个优点;最后,使用高分三号卫星的实际测量误差数据与圆极化发射波实验系统的实测数据验证了该文提出的发射误差评估方法的有效性。
距离徙动算法(RMA)作为一种合成孔径雷达(SAR)频域成像算法,理论上能够达到最优性能。然而,该算法采用逐像素点卷积运算实现Stolt映射,其计算效率无法满足SAR大数据量处理需求。据此,该文提出基于尺度变换原理(PCS)的RMA成像算法。首先,将SAR回波数据沿距离向进行划分,利用子带参考距离处2阶距离方位耦合项与高阶项对子带信号进行补偿;然后,转化非线性Stolt映射为线性形式;最后,利用PCS原理实现Stolt插值,以实现高效率的数据重采样。所提PCS-RMA算法仅利用快速傅里叶变换和复矢量相乘操作即可实现改进型Stolt映射,兼具良好的聚焦性能与较高的计算效率。基于多组仿真数据与X波段1.2 GHz带宽的机载SAR实测数据处理结果,验证了所提算法的有效性,同时该算法可进一步应用于弹载/星载/无人机载SAR数据的快速成像处理。 距离徙动算法(RMA)作为一种合成孔径雷达(SAR)频域成像算法,理论上能够达到最优性能。然而,该算法采用逐像素点卷积运算实现Stolt映射,其计算效率无法满足SAR大数据量处理需求。据此,该文提出基于尺度变换原理(PCS)的RMA成像算法。首先,将SAR回波数据沿距离向进行划分,利用子带参考距离处2阶距离方位耦合项与高阶项对子带信号进行补偿;然后,转化非线性Stolt映射为线性形式;最后,利用PCS原理实现Stolt插值,以实现高效率的数据重采样。所提PCS-RMA算法仅利用快速傅里叶变换和复矢量相乘操作即可实现改进型Stolt映射,兼具良好的聚焦性能与较高的计算效率。基于多组仿真数据与X波段1.2 GHz带宽的机载SAR实测数据处理结果,验证了所提算法的有效性,同时该算法可进一步应用于弹载/星载/无人机载SAR数据的快速成像处理。
对于合成孔径雷达(SAR)图像,传统的超分辨重建方法对视觉特征的人为构造十分依赖,基于普通卷积神经网络(CNN)的超分辨重建方法对微小目标的重建能力较弱,对边缘轮廓的保真度较差。针对以上问题,该文提出一种基于特征复用的膨胀-残差卷积超分辨网络模型,同时引入感知损失,实现了精确的SAR图像4倍语义级超分辨。该方法为增加网络感受野,采用膨胀-残差卷积(DR-CNN)结构用于限制模型中特征图分辨率的严重损失,提高网络对微小细节的敏感度;为实现不同层级的特征最大化利用,将不同层级的特征图进行级联,形成一种特征复用结构(FRDR-CNN),以此大幅度提升特征提取模块的效率,进一步提升超分辨精度;针对SAR图像特殊的相干斑噪声干扰,引入感知损失,使得该方法在恢复图像边缘和精细的纹理信息方面具有优越表现。文中实验表明,与传统算法以及目前较为流行的几种全卷积神经网络超分辨重建算法相比,该文采用的FRDR-CNN模型在视觉上对小物体的超分辨重建能力更强,对边界等轮廓信息的重建更准确,客观指标中的峰值信噪比(PSNR)和结构相似性指数(SSIM)分别为33.5023 dB和0.5127,边缘保持系数(EPD-ROA)在水平和垂直方向上分别为0.4243和0.4373。 对于合成孔径雷达(SAR)图像,传统的超分辨重建方法对视觉特征的人为构造十分依赖,基于普通卷积神经网络(CNN)的超分辨重建方法对微小目标的重建能力较弱,对边缘轮廓的保真度较差。针对以上问题,该文提出一种基于特征复用的膨胀-残差卷积超分辨网络模型,同时引入感知损失,实现了精确的SAR图像4倍语义级超分辨。该方法为增加网络感受野,采用膨胀-残差卷积(DR-CNN)结构用于限制模型中特征图分辨率的严重损失,提高网络对微小细节的敏感度;为实现不同层级的特征最大化利用,将不同层级的特征图进行级联,形成一种特征复用结构(FRDR-CNN),以此大幅度提升特征提取模块的效率,进一步提升超分辨精度;针对SAR图像特殊的相干斑噪声干扰,引入感知损失,使得该方法在恢复图像边缘和精细的纹理信息方面具有优越表现。文中实验表明,与传统算法以及目前较为流行的几种全卷积神经网络超分辨重建算法相比,该文采用的FRDR-CNN模型在视觉上对小物体的超分辨重建能力更强,对边界等轮廓信息的重建更准确,客观指标中的峰值信噪比(PSNR)和结构相似性指数(SSIM)分别为33.5023 dB和0.5127,边缘保持系数(EPD-ROA)在水平和垂直方向上分别为0.4243和0.4373。
城市建筑区域叠掩、阴影严重,图像理解困难且干涉相位变化复杂紊乱,一直是InSAR处理的困难区域。SAR图像仿真能为图像理解和处理方法研究提供数据支撑,然而现有建筑区域SAR图像仿真方法大多无法获得具有相干性的干涉SAR图像对。该文提出了一种面向建筑区域的干涉SAR复图像对仿真方法,能够获得建筑的复数图像对、干涉相位图以及叠掩成分数目等信息,为城区干涉SAR处理及信息提取研究提供仿真数据支撑。同时,基于仿真中对相位变化规律的分析,提出叠掩区相位解缠时的基准确定方法,解决传统解缠方法面临的叠掩区域干涉相位不连续问题,进而反演建筑高程信息。最后,通过建模仿真结果与实际SAR图像和干涉相位的对比,验证了仿真方法的正确性,并对仿真及实际干涉相位进行解缠和高程反演处理,验证了该文高程反演方法的有效性。 城市建筑区域叠掩、阴影严重,图像理解困难且干涉相位变化复杂紊乱,一直是InSAR处理的困难区域。SAR图像仿真能为图像理解和处理方法研究提供数据支撑,然而现有建筑区域SAR图像仿真方法大多无法获得具有相干性的干涉SAR图像对。该文提出了一种面向建筑区域的干涉SAR复图像对仿真方法,能够获得建筑的复数图像对、干涉相位图以及叠掩成分数目等信息,为城区干涉SAR处理及信息提取研究提供仿真数据支撑。同时,基于仿真中对相位变化规律的分析,提出叠掩区相位解缠时的基准确定方法,解决传统解缠方法面临的叠掩区域干涉相位不连续问题,进而反演建筑高程信息。最后,通过建模仿真结果与实际SAR图像和干涉相位的对比,验证了仿真方法的正确性,并对仿真及实际干涉相位进行解缠和高程反演处理,验证了该文高程反演方法的有效性。
作者中心
专家审稿
责编办公
编辑办公
上一期
摘要
3313KB
微信 | 公众平台 