2019年  8卷  第3期

综 述
摘要:
在复杂海洋环境条件下,海上目标探测性能受海杂波的影响很大。海杂波影响因素众多,机理复杂,特征描述和抑制难度大,需要开展长期、系统、持续、深入研究。开展海杂波测量试验并获取不同参数影响下的测量数据,是有效支撑该研究的重要前提。该文重点围绕海杂波测量试验情况,从岸基试验和机载试验两个方面,对加拿大、南非、澳大利亚、美国、西班牙、德国等国家开展的典型外场试验进行了归类梳理和总结,回顾了美国和日本开展的造浪池海杂波测量试验,并简要介绍了国内开展的海杂波测量试验和烟台的海上目标探测试验中心建设情况。最后,对后续试验仍需重点关注的方向做了展望,包括系统性、持续性的海杂波测量试验仍需进一步开展,任务背景牵引的海杂波测量试验及数据分析仍需强化,面向智能雷达应用的海杂波和目标回波数据集亟需构建。 在复杂海洋环境条件下,海上目标探测性能受海杂波的影响很大。海杂波影响因素众多,机理复杂,特征描述和抑制难度大,需要开展长期、系统、持续、深入研究。开展海杂波测量试验并获取不同参数影响下的测量数据,是有效支撑该研究的重要前提。该文重点围绕海杂波测量试验情况,从岸基试验和机载试验两个方面,对加拿大、南非、澳大利亚、美国、西班牙、德国等国家开展的典型外场试验进行了归类梳理和总结,回顾了美国和日本开展的造浪池海杂波测量试验,并简要介绍了国内开展的海杂波测量试验和烟台的海上目标探测试验中心建设情况。最后,对后续试验仍需重点关注的方向做了展望,包括系统性、持续性的海杂波测量试验仍需进一步开展,任务背景牵引的海杂波测量试验及数据分析仍需强化,面向智能雷达应用的海杂波和目标回波数据集亟需构建。
摘要:
机载多功能海上监视雷达系统作为机载平台对海探测的主要任务载荷,具有全天候、全天时、探测范围广和工作环境复杂多变等特点,是极具应用前景的一种广域海上监视雷达系统,在海上作战体系中占有重要地位。该文根据多功能海上监视雷达的系统特点及优势,对系统设计中的雷达体制选择、工作参数选择和工作模式设计等进行了论述,并对影响其关键性能的强海杂波中慢速目标检测、跟踪和目标识别问题以及解决问题的技术途径进行了分析。 机载多功能海上监视雷达系统作为机载平台对海探测的主要任务载荷,具有全天候、全天时、探测范围广和工作环境复杂多变等特点,是极具应用前景的一种广域海上监视雷达系统,在海上作战体系中占有重要地位。该文根据多功能海上监视雷达的系统特点及优势,对系统设计中的雷达体制选择、工作参数选择和工作模式设计等进行了论述,并对影响其关键性能的强海杂波中慢速目标检测、跟踪和目标识别问题以及解决问题的技术途径进行了分析。
论 文
摘要:
3维随机粗糙海面与其上方复杂目标复合电磁(EM)散射特性的建模与分析在微波遥感、目标识别、雷达成像、导弹制导等领域中有着重要的研究价值。该文主要研究了基于高频算法的随机粗糙海面及舰船的复合电磁散射特性,开发了PO-IPO混合方法,为3维随机粗糙海面与复杂目标一体化高效求解提供了新思路。文中分别使用了物理光学方法(PO)、迭代物理光学方法(IPO)、PO-PO以及PO-IPO混合方法对海面及舰船进行了建模与仿真,其中,引入锥形波来代替平面波作为发射源,锥形波可以更好地抑制粗糙面在边缘位置被突然截断而形成的电磁反射和边缘绕射等效应。从数值仿真结果中可以看出,PO-IPO混合方法可将复杂物体本身面元间以及粗糙海面与物体间的耦合作用考虑在内,因此PO-IPO可以作为一种有效的途径来快速获取随机粗糙海面及舰船的复合电磁散射特性。 3维随机粗糙海面与其上方复杂目标复合电磁(EM)散射特性的建模与分析在微波遥感、目标识别、雷达成像、导弹制导等领域中有着重要的研究价值。该文主要研究了基于高频算法的随机粗糙海面及舰船的复合电磁散射特性,开发了PO-IPO混合方法,为3维随机粗糙海面与复杂目标一体化高效求解提供了新思路。文中分别使用了物理光学方法(PO)、迭代物理光学方法(IPO)、PO-PO以及PO-IPO混合方法对海面及舰船进行了建模与仿真,其中,引入锥形波来代替平面波作为发射源,锥形波可以更好地抑制粗糙面在边缘位置被突然截断而形成的电磁反射和边缘绕射等效应。从数值仿真结果中可以看出,PO-IPO混合方法可将复杂物体本身面元间以及粗糙海面与物体间的耦合作用考虑在内,因此PO-IPO可以作为一种有效的途径来快速获取随机粗糙海面及舰船的复合电磁散射特性。
摘要:
随着雷达分辨率的提高及擦地角的减小,海杂波幅度分布明显偏离瑞利分布,表现出很强的非高斯特性,复合高斯模型得到广泛应用。因此该文以复合高斯杂波为背景,研究当信号发生失配时的雷达目标检测问题。该文基于两步广义似然比(GLRT)检验,设计了复合高斯杂波下对失配信号具有选择性的自适应检测器。为了设计选择性检测器,在零假设下引入虚假干扰以修正原始二元假设,并假设该虚假干扰与实际目标信号在白化空间正交。该文提出的检测器对海杂波纹理分量及协方差矩阵恒虚警(CFAR)。最后利用仿真及实测海杂波数据,通过蒙特卡洛实验验证该检测器的有效性。实验表明,该文所提检测器有效提高了对失配信号的选择性,同时对距离扩展目标匹配信号的检测性能也有1~3 dB的提升。 随着雷达分辨率的提高及擦地角的减小,海杂波幅度分布明显偏离瑞利分布,表现出很强的非高斯特性,复合高斯模型得到广泛应用。因此该文以复合高斯杂波为背景,研究当信号发生失配时的雷达目标检测问题。该文基于两步广义似然比(GLRT)检验,设计了复合高斯杂波下对失配信号具有选择性的自适应检测器。为了设计选择性检测器,在零假设下引入虚假干扰以修正原始二元假设,并假设该虚假干扰与实际目标信号在白化空间正交。该文提出的检测器对海杂波纹理分量及协方差矩阵恒虚警(CFAR)。最后利用仿真及实测海杂波数据,通过蒙特卡洛实验验证该检测器的有效性。实验表明,该文所提检测器有效提高了对失配信号的选择性,同时对距离扩展目标匹配信号的检测性能也有1~3 dB的提升。
摘要:
海面目标不仅影响其位置处波浪运动,还会影响其周围的水域,其雷达回波信号分布于多个相邻的距离单元,所以目标回波信号表现出明显的空域相关性。该文根据海面目标信号的空间相关性提出了一种基于空域联合时频分解的海面微弱目标检测方法。该文提出的一种两信号互S-方法将相邻两个距离单元的回波信号变换到时频域,再利用互维格纳-威尔逆变换实现两距离单元信号的联合时频分解,最后根据分解分量的联合时频聚集性实现目标检测。实测X波段雷达海面回波的处理结果表明该文方法能够较精确地从海面回波中检测出微弱目标,并且能够显示目标的瞬时运动特性。 海面目标不仅影响其位置处波浪运动,还会影响其周围的水域,其雷达回波信号分布于多个相邻的距离单元,所以目标回波信号表现出明显的空域相关性。该文根据海面目标信号的空间相关性提出了一种基于空域联合时频分解的海面微弱目标检测方法。该文提出的一种两信号互S-方法将相邻两个距离单元的回波信号变换到时频域,再利用互维格纳-威尔逆变换实现两距离单元信号的联合时频分解,最后根据分解分量的联合时频聚集性实现目标检测。实测X波段雷达海面回波的处理结果表明该文方法能够较精确地从海面回波中检测出微弱目标,并且能够显示目标的瞬时运动特性。
摘要:
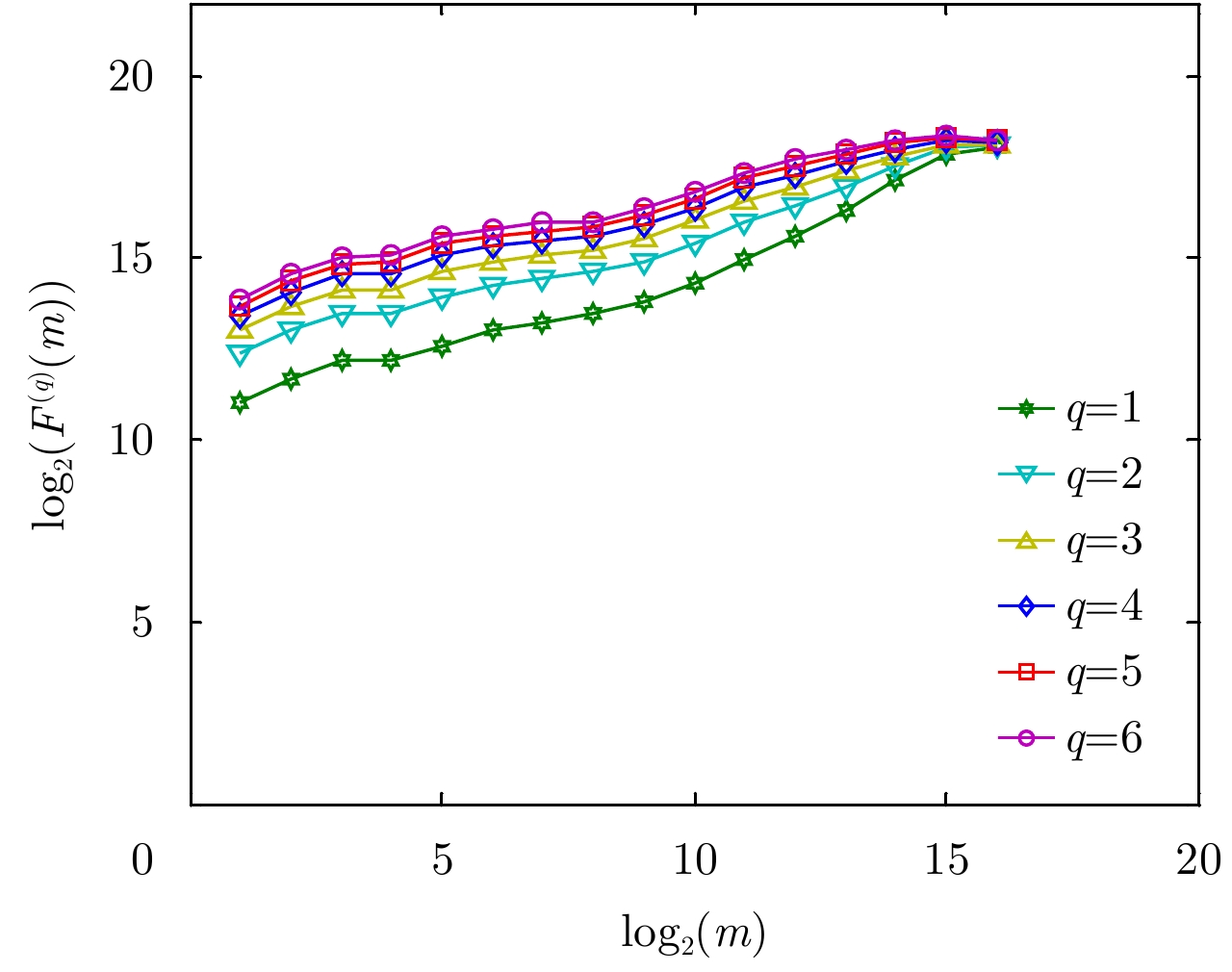
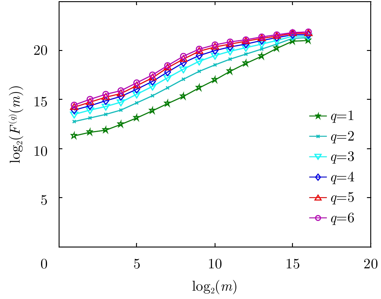
根据海杂波和目标多普勒谱的聚集性差异,可以用熵特征来检测海杂波背景下的小目标,然而常用的香农熵仅仅是统计学角度的宏观量值,并不能反映出海杂波的非线性特性。非广延熵是香农熵的推广,可以描述海杂波已被证实的多重分形特性。该文首先给出了非广延熵与分形维数的关系,然后结合有目标单元回波的多普勒谱较纯杂波单元回波的多普勒谱聚集性更强以及海杂波回波具有多重分形特性的特点,提出了基于多普勒谱非广延熵的海杂波背景下的小目标检测方法,最后通过实测数据进行实验比较,验证了该文算法的有效性,在观测时间较短的情况下,与现有的多重分形频域Hurst指数方法和基于香农熵的方法相比,该文算法具有更好的检测性能。 根据海杂波和目标多普勒谱的聚集性差异,可以用熵特征来检测海杂波背景下的小目标,然而常用的香农熵仅仅是统计学角度的宏观量值,并不能反映出海杂波的非线性特性。非广延熵是香农熵的推广,可以描述海杂波已被证实的多重分形特性。该文首先给出了非广延熵与分形维数的关系,然后结合有目标单元回波的多普勒谱较纯杂波单元回波的多普勒谱聚集性更强以及海杂波回波具有多重分形特性的特点,提出了基于多普勒谱非广延熵的海杂波背景下的小目标检测方法,最后通过实测数据进行实验比较,验证了该文算法的有效性,在观测时间较短的情况下,与现有的多重分形频域Hurst指数方法和基于香农熵的方法相比,该文算法具有更好的检测性能。
摘要:
在杂波背景条件下,现有的基于概率假设密度(PHD)滤波的粒子滤波检测前跟踪(TBD)算法,存在对密集多目标数目估计不准,使用粒子数目较多会造成维数灾难的问题。因此,该文引入两层粒子的概念,将基于平行分割(PP)理论的辅助粒子滤波(APF)应用于基于概率假设密度的检测前跟踪 (PHD-TBD)算法中,提出基于概率假设密度滤波的平行分割辅助粒子滤波检测前跟踪(APP-PF-PHD-TBD)算法以提高目标数目及状态估计精度。仿真实验证明,相对于现有基于PHD的粒子滤波检测前跟踪算法,该算法在目标数目和状态估计精度上具有显著的性能优势,在密集目标场景下,优势尤为突出。最后,利用导航雷达实测所得海杂波背景数据证明,该算法在应用中性能更加优异。 在杂波背景条件下,现有的基于概率假设密度(PHD)滤波的粒子滤波检测前跟踪(TBD)算法,存在对密集多目标数目估计不准,使用粒子数目较多会造成维数灾难的问题。因此,该文引入两层粒子的概念,将基于平行分割(PP)理论的辅助粒子滤波(APF)应用于基于概率假设密度的检测前跟踪 (PHD-TBD)算法中,提出基于概率假设密度滤波的平行分割辅助粒子滤波检测前跟踪(APP-PF-PHD-TBD)算法以提高目标数目及状态估计精度。仿真实验证明,相对于现有基于PHD的粒子滤波检测前跟踪算法,该算法在目标数目和状态估计精度上具有显著的性能优势,在密集目标场景下,优势尤为突出。最后,利用导航雷达实测所得海杂波背景数据证明,该算法在应用中性能更加优异。
摘要:
自适应检测技术可有效提升岸对海警戒雷达海面目标探测性能,但海岛和陆地会导致成片或离散强杂波点,污染协方差矩阵估计的样本,海杂波的复杂性使得整片海杂波难以采用单一模型描述。为解决海面目标自适应检测时面临的非均匀样本参与协方差矩阵估计时杂波抑制性能严重下降问题和海杂波建模准确性不高的问题,该文提出一种面向海面目标检测的陆海分离和海面分区算法。首先,根据陆地回波序列的相位之间具有强相关性,而海洋回波序列为随机值这一特性,区分陆地杂波和海杂波;然后,根据擦地角对海杂波分区,拟合出每个分区的最优分布后选择合适的检测器进行自适应检测;最后,基于某S波段雷达实测数据验证该算法,检测结果与性能分析表明该算法相对传统算法可有效提高海面目标的检测率。 自适应检测技术可有效提升岸对海警戒雷达海面目标探测性能,但海岛和陆地会导致成片或离散强杂波点,污染协方差矩阵估计的样本,海杂波的复杂性使得整片海杂波难以采用单一模型描述。为解决海面目标自适应检测时面临的非均匀样本参与协方差矩阵估计时杂波抑制性能严重下降问题和海杂波建模准确性不高的问题,该文提出一种面向海面目标检测的陆海分离和海面分区算法。首先,根据陆地回波序列的相位之间具有强相关性,而海洋回波序列为随机值这一特性,区分陆地杂波和海杂波;然后,根据擦地角对海杂波分区,拟合出每个分区的最优分布后选择合适的检测器进行自适应检测;最后,基于某S波段雷达实测数据验证该算法,检测结果与性能分析表明该算法相对传统算法可有效提高海面目标的检测率。
摘要:
调频连续波逆合成孔径雷达(FMCW-ISAR)具有造价低、功耗低和重量轻的优点,因此被广泛用于对各类目标成像。FMCW信号可以看作是占空比为1的脉冲信号,其脉冲宽度相对较长,在此期间内目标的运动常常不可忽略。此时,利用传统的“走-停”模式和距离-多普勒(R-D)算法得到的ISAR像将出现距离-方位2维的模糊,导致图像分辨率下降。该文针对FMCW-ISAR对舰船目标实测数据成像时出现的模糊现象进行了研究,首先建立目标的运动模型,并分析目标在调频周期内的运动分量对距离压缩结果和最终成像结果的影响,最后提出相应的脉内补偿方法以改善图像分辨率。对比补偿前后对仿真模型与实测数据的成像结果,该文所提出的脉内补偿方法能够有效抑制1维距离像的展宽,提高FMCW-ISAR的成像质量。 调频连续波逆合成孔径雷达(FMCW-ISAR)具有造价低、功耗低和重量轻的优点,因此被广泛用于对各类目标成像。FMCW信号可以看作是占空比为1的脉冲信号,其脉冲宽度相对较长,在此期间内目标的运动常常不可忽略。此时,利用传统的“走-停”模式和距离-多普勒(R-D)算法得到的ISAR像将出现距离-方位2维的模糊,导致图像分辨率下降。该文针对FMCW-ISAR对舰船目标实测数据成像时出现的模糊现象进行了研究,首先建立目标的运动模型,并分析目标在调频周期内的运动分量对距离压缩结果和最终成像结果的影响,最后提出相应的脉内补偿方法以改善图像分辨率。对比补偿前后对仿真模型与实测数据的成像结果,该文所提出的脉内补偿方法能够有效抑制1维距离像的展宽,提高FMCW-ISAR的成像质量。
摘要:
海洋涡旋对海洋热循环起着关键作用,是海洋科学研究中的一个重要分支。合成孔径雷达(Synthetic Aperture Radar, SAR)为海洋涡旋的观测和研究提供了大量的图像数据,但是涡旋在SAR成像时会受到各种海洋环境因素的影响,难以解译涡旋SAR图像特征。仿真SAR图像可以用于研究涡旋的特征,但是目前极少有关于涡旋SAR图像仿真方法的研究。为了更好地解译SAR图像中的涡旋特征,该文提出了一种涡旋SAR图像仿真方法。首先,基于流体力学中典型的Burgers-Rott涡旋模型,建立涡旋2维表面流场;然后,利用SAR海洋成像仿真模型,仿真给定涡旋2维流场、海面风场以及雷达系统参数下的涡旋SAR图像。该文针对气旋式涡旋与反气旋式涡旋进行了仿真实验,并建立了仿真涡旋SAR图像的相似度评价标准。实验结果表明,仿真的涡旋SAR图像与真实星载涡旋SAR图像能够较好地吻合,验证了方法的有效性。 海洋涡旋对海洋热循环起着关键作用,是海洋科学研究中的一个重要分支。合成孔径雷达(Synthetic Aperture Radar, SAR)为海洋涡旋的观测和研究提供了大量的图像数据,但是涡旋在SAR成像时会受到各种海洋环境因素的影响,难以解译涡旋SAR图像特征。仿真SAR图像可以用于研究涡旋的特征,但是目前极少有关于涡旋SAR图像仿真方法的研究。为了更好地解译SAR图像中的涡旋特征,该文提出了一种涡旋SAR图像仿真方法。首先,基于流体力学中典型的Burgers-Rott涡旋模型,建立涡旋2维表面流场;然后,利用SAR海洋成像仿真模型,仿真给定涡旋2维流场、海面风场以及雷达系统参数下的涡旋SAR图像。该文针对气旋式涡旋与反气旋式涡旋进行了仿真实验,并建立了仿真涡旋SAR图像的相似度评价标准。实验结果表明,仿真的涡旋SAR图像与真实星载涡旋SAR图像能够较好地吻合,验证了方法的有效性。
摘要:
多普勒中心偏移是合成孔径雷达(SAR)反演海面风场、海表流场的重要参数。该文针对机载正侧视提出一种多普勒中心偏移计算方法,分别利用载机运动状态数据和海洋探测回波数据计算多普勒中心频率,再作差求解多普勒中心偏移,并在多普勒谱分析中加入小波分析去除噪声的影响来提高计算精度。以CDOP经验模型计算结果作为比对真值,机载SAR飞行探测试验结果表明,9组探测数据多普勒中心偏移计算误差的绝对值均小于2 Hz,均方根误差为1.4 Hz,满足海洋环境要素反演的精度要求。实验表明高精度的平台运动状态数据和探测回波数据是多普勒中心偏移海洋应用的关键。 多普勒中心偏移是合成孔径雷达(SAR)反演海面风场、海表流场的重要参数。该文针对机载正侧视提出一种多普勒中心偏移计算方法,分别利用载机运动状态数据和海洋探测回波数据计算多普勒中心频率,再作差求解多普勒中心偏移,并在多普勒谱分析中加入小波分析去除噪声的影响来提高计算精度。以CDOP经验模型计算结果作为比对真值,机载SAR飞行探测试验结果表明,9组探测数据多普勒中心偏移计算误差的绝对值均小于2 Hz,均方根误差为1.4 Hz,满足海洋环境要素反演的精度要求。实验表明高精度的平台运动状态数据和探测回波数据是多普勒中心偏移海洋应用的关键。
摘要:
SAR图像的水域分割在舰船目标检测、灾害监测等军事和民用领域具有重要意义。针对传统水域分割算法鲁棒性差、难以准确进行分割等问题,该文首先建立了基于高分三号的SAR图像水域分割数据集,并基于深度学习技术提出了基于密集深度分离卷积的分割网络架构,该网络以SAR图像作为输入,通过密集分离卷积和扩张卷积提取图像高维特征,并构造基于双线性插值的上采样解码模块用于输出分割结果。在水域分割数据集上的实验结果表明,与传统方法相比,该方法不仅在分割准确度上有大幅提高,在算法的鲁棒性和分割速度上也具有部分优势,具备较好的工程实用价值。 SAR图像的水域分割在舰船目标检测、灾害监测等军事和民用领域具有重要意义。针对传统水域分割算法鲁棒性差、难以准确进行分割等问题,该文首先建立了基于高分三号的SAR图像水域分割数据集,并基于深度学习技术提出了基于密集深度分离卷积的分割网络架构,该网络以SAR图像作为输入,通过密集分离卷积和扩张卷积提取图像高维特征,并构造基于双线性插值的上采样解码模块用于输出分割结果。在水域分割数据集上的实验结果表明,与传统方法相比,该方法不仅在分割准确度上有大幅提高,在算法的鲁棒性和分割速度上也具有部分优势,具备较好的工程实用价值。
摘要:
针对大场景遥感图像舰船目标的快速检测问题,该文设计了一种级联型卷积神经网络检测框架。该检测框架由目标预筛选全卷积网络(P-FCN)和目标精确检测全卷积网络(D-FCN)两个全卷积网络级联而成。P-FCN是一个轻量级的图像分类网络,负责对大场景图像中可能的舰船区域进行快速预筛选,其层数少、训练简单,候选框冗余较少,能够减少后续网络的计算负担;D-FCN是一个改进的U-Net网络,通过在传统U-Net结构中加入目标掩膜和舰船朝向估计层以进行多任务的学习,实现任意朝向舰船目标的精细定位。该文分别使用TerraSAR-X雷达遥感图像和从91卫图、DOTA数据集中获得的光学遥感图像对算法进行了测试,结果表明该方法的检测准确率分别为0.928和0.926,与传统滑窗法相当,但目标检测时间仅为滑窗法的1/3左右。该文所提的级联型卷积神经网络检测框架在保持检测精度的前提下能显著提高目标检测效率,可实现大场景遥感图像中舰船目标的快速检测。 针对大场景遥感图像舰船目标的快速检测问题,该文设计了一种级联型卷积神经网络检测框架。该检测框架由目标预筛选全卷积网络(P-FCN)和目标精确检测全卷积网络(D-FCN)两个全卷积网络级联而成。P-FCN是一个轻量级的图像分类网络,负责对大场景图像中可能的舰船区域进行快速预筛选,其层数少、训练简单,候选框冗余较少,能够减少后续网络的计算负担;D-FCN是一个改进的U-Net网络,通过在传统U-Net结构中加入目标掩膜和舰船朝向估计层以进行多任务的学习,实现任意朝向舰船目标的精细定位。该文分别使用TerraSAR-X雷达遥感图像和从91卫图、DOTA数据集中获得的光学遥感图像对算法进行了测试,结果表明该方法的检测准确率分别为0.928和0.926,与传统滑窗法相当,但目标检测时间仅为滑窗法的1/3左右。该文所提的级联型卷积神经网络检测框架在保持检测精度的前提下能显著提高目标检测效率,可实现大场景遥感图像中舰船目标的快速检测。