2018年 7卷 第4期
2018, 7(4): 395-411.
摘要:
雷达通过发射天线发射电磁波,经过不同物体反射接收到相应的反射波,对其接收结果进行分析,能得到物体距雷达的位置,径向运动速度等信息,所以对雷达信号的分析具有重要的研究意义。近些年深度学习成为各个领域的研究热点,而在雷达领域同样可通过深度学习算法实现对信号的相应的信息处理。与传统方法相比,深度学习算法具有自动提取深层特征、获取较高准确率等优势。该文具体介绍了近期典型的深度学习算法在雷达信号处理中的应用及研究情况。此外,该文介绍了两个在雷达领域中应用深度学习亟待解决的问题,即过拟合和可解译性。 雷达通过发射天线发射电磁波,经过不同物体反射接收到相应的反射波,对其接收结果进行分析,能得到物体距雷达的位置,径向运动速度等信息,所以对雷达信号的分析具有重要的研究意义。近些年深度学习成为各个领域的研究热点,而在雷达领域同样可通过深度学习算法实现对信号的相应的信息处理。与传统方法相比,深度学习算法具有自动提取深层特征、获取较高准确率等优势。该文具体介绍了近期典型的深度学习算法在雷达信号处理中的应用及研究情况。此外,该文介绍了两个在雷达领域中应用深度学习亟待解决的问题,即过拟合和可解译性。
雷达通过发射天线发射电磁波,经过不同物体反射接收到相应的反射波,对其接收结果进行分析,能得到物体距雷达的位置,径向运动速度等信息,所以对雷达信号的分析具有重要的研究意义。近些年深度学习成为各个领域的研究热点,而在雷达领域同样可通过深度学习算法实现对信号的相应的信息处理。与传统方法相比,深度学习算法具有自动提取深层特征、获取较高准确率等优势。该文具体介绍了近期典型的深度学习算法在雷达信号处理中的应用及研究情况。此外,该文介绍了两个在雷达领域中应用深度学习亟待解决的问题,即过拟合和可解译性。 雷达通过发射天线发射电磁波,经过不同物体反射接收到相应的反射波,对其接收结果进行分析,能得到物体距雷达的位置,径向运动速度等信息,所以对雷达信号的分析具有重要的研究意义。近些年深度学习成为各个领域的研究热点,而在雷达领域同样可通过深度学习算法实现对信号的相应的信息处理。与传统方法相比,深度学习算法具有自动提取深层特征、获取较高准确率等优势。该文具体介绍了近期典型的深度学习算法在雷达信号处理中的应用及研究情况。此外,该文介绍了两个在雷达领域中应用深度学习亟待解决的问题,即过拟合和可解译性。
2018, 7(4): 412-424.
摘要:
地球同步轨道合成孔径雷达(GEO SAR)合成孔径时间长、观测范围大,易受到大气层效应时空变化的影响,使成像的聚焦质量和差分干涉处理精度严重下降。该文针对常规对流层和背景电离层等大气层缓变的干扰部分,建立了高精度时频混合GEO SAR信号模型,分析了不同大气层参数的时间变化率对成像质量和差分干涉处理精度的影响。针对大气层干扰中对流层湍流和电离层闪烁等随机扰动造成的影响,基于幂律功率谱模型,建立了大气扰动参数和成像质量的定量化分析模型,获得了大气层随机干扰的强度与成像评估指标间的关系。最后,通过仿真验证了模型的有效性,并分析了长孔径时间内缓变和随机扰动的大气层误差对成像和差分干涉处理质量的影响,仿真结果表明:L波段GEO SAR成像和差分干涉处理受时空变电离层干扰的影响十分严重,必须予以补偿;对流层干扰对其影响较小,仅当积累时间达到数百秒时才需要考虑它对成像性能的恶化。 地球同步轨道合成孔径雷达(GEO SAR)合成孔径时间长、观测范围大,易受到大气层效应时空变化的影响,使成像的聚焦质量和差分干涉处理精度严重下降。该文针对常规对流层和背景电离层等大气层缓变的干扰部分,建立了高精度时频混合GEO SAR信号模型,分析了不同大气层参数的时间变化率对成像质量和差分干涉处理精度的影响。针对大气层干扰中对流层湍流和电离层闪烁等随机扰动造成的影响,基于幂律功率谱模型,建立了大气扰动参数和成像质量的定量化分析模型,获得了大气层随机干扰的强度与成像评估指标间的关系。最后,通过仿真验证了模型的有效性,并分析了长孔径时间内缓变和随机扰动的大气层误差对成像和差分干涉处理质量的影响,仿真结果表明:L波段GEO SAR成像和差分干涉处理受时空变电离层干扰的影响十分严重,必须予以补偿;对流层干扰对其影响较小,仅当积累时间达到数百秒时才需要考虑它对成像性能的恶化。
地球同步轨道合成孔径雷达(GEO SAR)合成孔径时间长、观测范围大,易受到大气层效应时空变化的影响,使成像的聚焦质量和差分干涉处理精度严重下降。该文针对常规对流层和背景电离层等大气层缓变的干扰部分,建立了高精度时频混合GEO SAR信号模型,分析了不同大气层参数的时间变化率对成像质量和差分干涉处理精度的影响。针对大气层干扰中对流层湍流和电离层闪烁等随机扰动造成的影响,基于幂律功率谱模型,建立了大气扰动参数和成像质量的定量化分析模型,获得了大气层随机干扰的强度与成像评估指标间的关系。最后,通过仿真验证了模型的有效性,并分析了长孔径时间内缓变和随机扰动的大气层误差对成像和差分干涉处理质量的影响,仿真结果表明:L波段GEO SAR成像和差分干涉处理受时空变电离层干扰的影响十分严重,必须予以补偿;对流层干扰对其影响较小,仅当积累时间达到数百秒时才需要考虑它对成像性能的恶化。 地球同步轨道合成孔径雷达(GEO SAR)合成孔径时间长、观测范围大,易受到大气层效应时空变化的影响,使成像的聚焦质量和差分干涉处理精度严重下降。该文针对常规对流层和背景电离层等大气层缓变的干扰部分,建立了高精度时频混合GEO SAR信号模型,分析了不同大气层参数的时间变化率对成像质量和差分干涉处理精度的影响。针对大气层干扰中对流层湍流和电离层闪烁等随机扰动造成的影响,基于幂律功率谱模型,建立了大气扰动参数和成像质量的定量化分析模型,获得了大气层随机干扰的强度与成像评估指标间的关系。最后,通过仿真验证了模型的有效性,并分析了长孔径时间内缓变和随机扰动的大气层误差对成像和差分干涉处理质量的影响,仿真结果表明:L波段GEO SAR成像和差分干涉处理受时空变电离层干扰的影响十分严重,必须予以补偿;对流层干扰对其影响较小,仅当积累时间达到数百秒时才需要考虑它对成像性能的恶化。
2018, 7(4): 425-436.
摘要:
内定标利用雷达系统内部设备和定标通路来测量系统各部分幅度和相位在成像过程中的相对变化,是保证雷达图像辐射精度的重要手段。该文针对传统有线内定标方案定标通路未覆盖相控阵天线TR输出端至无源阵面路径、定标网络庞大且自身误差控制难等不足,提出了一种新颖的利用辅助天线的无线内定标方法,给出了定标原理和分析模型,推导了SAR天线TR通道幅相特性和系统传递函数的标定方法,并在典型星载SAR系统参数下对标定误差进行了仿真分析,仿真结果表明,辅助天线支撑杆位置引起的TR通道幅度标定误差在10–3 dB量级,可以忽略;引起相位标定误差与支撑杆位置偏差密切相关,可依据文中给出的仿真曲线得到。支持杆位置引起的系统传递函数幅度标定误差小于0.1 dB;引起的相位标定误差对支撑杆位置偏差不敏感。最后在实际相控阵天线上对无线内定标方法进行了验证,获取了TR通道幅相特性标定的实测结果,表明了该方案的可行性和有效性。 内定标利用雷达系统内部设备和定标通路来测量系统各部分幅度和相位在成像过程中的相对变化,是保证雷达图像辐射精度的重要手段。该文针对传统有线内定标方案定标通路未覆盖相控阵天线TR输出端至无源阵面路径、定标网络庞大且自身误差控制难等不足,提出了一种新颖的利用辅助天线的无线内定标方法,给出了定标原理和分析模型,推导了SAR天线TR通道幅相特性和系统传递函数的标定方法,并在典型星载SAR系统参数下对标定误差进行了仿真分析,仿真结果表明,辅助天线支撑杆位置引起的TR通道幅度标定误差在10–3 dB量级,可以忽略;引起相位标定误差与支撑杆位置偏差密切相关,可依据文中给出的仿真曲线得到。支持杆位置引起的系统传递函数幅度标定误差小于0.1 dB;引起的相位标定误差对支撑杆位置偏差不敏感。最后在实际相控阵天线上对无线内定标方法进行了验证,获取了TR通道幅相特性标定的实测结果,表明了该方案的可行性和有效性。
内定标利用雷达系统内部设备和定标通路来测量系统各部分幅度和相位在成像过程中的相对变化,是保证雷达图像辐射精度的重要手段。该文针对传统有线内定标方案定标通路未覆盖相控阵天线TR输出端至无源阵面路径、定标网络庞大且自身误差控制难等不足,提出了一种新颖的利用辅助天线的无线内定标方法,给出了定标原理和分析模型,推导了SAR天线TR通道幅相特性和系统传递函数的标定方法,并在典型星载SAR系统参数下对标定误差进行了仿真分析,仿真结果表明,辅助天线支撑杆位置引起的TR通道幅度标定误差在10–3 dB量级,可以忽略;引起相位标定误差与支撑杆位置偏差密切相关,可依据文中给出的仿真曲线得到。支持杆位置引起的系统传递函数幅度标定误差小于0.1 dB;引起的相位标定误差对支撑杆位置偏差不敏感。最后在实际相控阵天线上对无线内定标方法进行了验证,获取了TR通道幅相特性标定的实测结果,表明了该方案的可行性和有效性。 内定标利用雷达系统内部设备和定标通路来测量系统各部分幅度和相位在成像过程中的相对变化,是保证雷达图像辐射精度的重要手段。该文针对传统有线内定标方案定标通路未覆盖相控阵天线TR输出端至无源阵面路径、定标网络庞大且自身误差控制难等不足,提出了一种新颖的利用辅助天线的无线内定标方法,给出了定标原理和分析模型,推导了SAR天线TR通道幅相特性和系统传递函数的标定方法,并在典型星载SAR系统参数下对标定误差进行了仿真分析,仿真结果表明,辅助天线支撑杆位置引起的TR通道幅度标定误差在10–3 dB量级,可以忽略;引起相位标定误差与支撑杆位置偏差密切相关,可依据文中给出的仿真曲线得到。支持杆位置引起的系统传递函数幅度标定误差小于0.1 dB;引起的相位标定误差对支撑杆位置偏差不敏感。最后在实际相控阵天线上对无线内定标方法进行了验证,获取了TR通道幅相特性标定的实测结果,表明了该方案的可行性和有效性。
2018, 7(4): 437-445.
摘要:
脉内聚束模式有效克服了星载合成孔径雷达(Synthetic Aperture Radar, SAR)高分辨率与宽测绘带之间的矛盾,同时可以兼顾回波的信噪比。然而距离维空域滤波的信号分离方法容易受地形起伏的影响,甚至失效。针对此,该文提出了一种结合方位相位编码(Azimuth Phase Coding, APC)的脉内聚束SAR成像方法,利用APC技术使不同子脉冲回波的方位频谱处在不同的脉冲重复频率(Pulse Repetition Frequencies, PRF)范围,然后利用方位自适应波束形成技术来分离回波信号。文中对信号分离方法以及频移因子的选择进行了详细的讨论。最后仿真实验结果验证了所提方法的有效性。 脉内聚束模式有效克服了星载合成孔径雷达(Synthetic Aperture Radar, SAR)高分辨率与宽测绘带之间的矛盾,同时可以兼顾回波的信噪比。然而距离维空域滤波的信号分离方法容易受地形起伏的影响,甚至失效。针对此,该文提出了一种结合方位相位编码(Azimuth Phase Coding, APC)的脉内聚束SAR成像方法,利用APC技术使不同子脉冲回波的方位频谱处在不同的脉冲重复频率(Pulse Repetition Frequencies, PRF)范围,然后利用方位自适应波束形成技术来分离回波信号。文中对信号分离方法以及频移因子的选择进行了详细的讨论。最后仿真实验结果验证了所提方法的有效性。
脉内聚束模式有效克服了星载合成孔径雷达(Synthetic Aperture Radar, SAR)高分辨率与宽测绘带之间的矛盾,同时可以兼顾回波的信噪比。然而距离维空域滤波的信号分离方法容易受地形起伏的影响,甚至失效。针对此,该文提出了一种结合方位相位编码(Azimuth Phase Coding, APC)的脉内聚束SAR成像方法,利用APC技术使不同子脉冲回波的方位频谱处在不同的脉冲重复频率(Pulse Repetition Frequencies, PRF)范围,然后利用方位自适应波束形成技术来分离回波信号。文中对信号分离方法以及频移因子的选择进行了详细的讨论。最后仿真实验结果验证了所提方法的有效性。 脉内聚束模式有效克服了星载合成孔径雷达(Synthetic Aperture Radar, SAR)高分辨率与宽测绘带之间的矛盾,同时可以兼顾回波的信噪比。然而距离维空域滤波的信号分离方法容易受地形起伏的影响,甚至失效。针对此,该文提出了一种结合方位相位编码(Azimuth Phase Coding, APC)的脉内聚束SAR成像方法,利用APC技术使不同子脉冲回波的方位频谱处在不同的脉冲重复频率(Pulse Repetition Frequencies, PRF)范围,然后利用方位自适应波束形成技术来分离回波信号。文中对信号分离方法以及频移因子的选择进行了详细的讨论。最后仿真实验结果验证了所提方法的有效性。
2018, 7(4): 446-454.
摘要:
该文提出一种基于单频时变阈值的1-bit合成孔径雷达(SAR)成像方法,通过将回波数据与时变阈值比较,将其量化为1-bit采样数据,从而降低SAR回波数据的位宽,达到简化系统、提升效率的目的。传统的1-bit采样将信号与0阈值比较,这将造成信号相对幅度的非线性失真,影响成像质量。而随机时变阈值虽然能够保留幅度信息,却会引入额外的类噪声干扰。单频时变阈值将能够有效地保留1-bit采样量化中丢失的相对幅度信息,同时避免引入类噪声干扰,有效地提高了1-bit采样量化下的SAR成像质量。通过仿真实验定量分析了算法的成像聚焦质量、幅度信息保持能力,并通过对场景目标的成像验证了算法的有效性。 该文提出一种基于单频时变阈值的1-bit合成孔径雷达(SAR)成像方法,通过将回波数据与时变阈值比较,将其量化为1-bit采样数据,从而降低SAR回波数据的位宽,达到简化系统、提升效率的目的。传统的1-bit采样将信号与0阈值比较,这将造成信号相对幅度的非线性失真,影响成像质量。而随机时变阈值虽然能够保留幅度信息,却会引入额外的类噪声干扰。单频时变阈值将能够有效地保留1-bit采样量化中丢失的相对幅度信息,同时避免引入类噪声干扰,有效地提高了1-bit采样量化下的SAR成像质量。通过仿真实验定量分析了算法的成像聚焦质量、幅度信息保持能力,并通过对场景目标的成像验证了算法的有效性。
该文提出一种基于单频时变阈值的1-bit合成孔径雷达(SAR)成像方法,通过将回波数据与时变阈值比较,将其量化为1-bit采样数据,从而降低SAR回波数据的位宽,达到简化系统、提升效率的目的。传统的1-bit采样将信号与0阈值比较,这将造成信号相对幅度的非线性失真,影响成像质量。而随机时变阈值虽然能够保留幅度信息,却会引入额外的类噪声干扰。单频时变阈值将能够有效地保留1-bit采样量化中丢失的相对幅度信息,同时避免引入类噪声干扰,有效地提高了1-bit采样量化下的SAR成像质量。通过仿真实验定量分析了算法的成像聚焦质量、幅度信息保持能力,并通过对场景目标的成像验证了算法的有效性。 该文提出一种基于单频时变阈值的1-bit合成孔径雷达(SAR)成像方法,通过将回波数据与时变阈值比较,将其量化为1-bit采样数据,从而降低SAR回波数据的位宽,达到简化系统、提升效率的目的。传统的1-bit采样将信号与0阈值比较,这将造成信号相对幅度的非线性失真,影响成像质量。而随机时变阈值虽然能够保留幅度信息,却会引入额外的类噪声干扰。单频时变阈值将能够有效地保留1-bit采样量化中丢失的相对幅度信息,同时避免引入类噪声干扰,有效地提高了1-bit采样量化下的SAR成像质量。通过仿真实验定量分析了算法的成像聚焦质量、幅度信息保持能力,并通过对场景目标的成像验证了算法的有效性。
2018, 7(4): 455-464.
摘要:
相干变化检测(Coherent Change Detection, CCD)利用变化前后SAR图像间的相位相干性检测场景中发生的微小变化。传统的CCD方法由于对目标探测尺度单一,难以区分场景中目标变化区域与低相干干扰区域。多波段SAR对目标进行多尺度探测,依据电磁波对目标的穿透特性、目标的结构特性以及目标发生的变化尺度形成不同的相干性表征。该文据此提出一种多波段CCD方法。该方法先分别获取各个波段的相干变化差异图,然后依据目标的多波段相干性表征使用改进的期望最大化(Expectation-Maximization, EM)算法对场景分类,接下来根据少量监督样本确定目标变化类别,最后用Dempster-Shafer (DS)证据理论处理,获取多波段融合相干变化差异图。该结果可有效排除各个单波段存在的低相干干扰,达到降低虚警概率的目的。该文采用变化前后的L波段与P波段重轨SAR数据进行方法验证,实验结果与指标参数证明了该方法的有效性与正确性。 相干变化检测(Coherent Change Detection, CCD)利用变化前后SAR图像间的相位相干性检测场景中发生的微小变化。传统的CCD方法由于对目标探测尺度单一,难以区分场景中目标变化区域与低相干干扰区域。多波段SAR对目标进行多尺度探测,依据电磁波对目标的穿透特性、目标的结构特性以及目标发生的变化尺度形成不同的相干性表征。该文据此提出一种多波段CCD方法。该方法先分别获取各个波段的相干变化差异图,然后依据目标的多波段相干性表征使用改进的期望最大化(Expectation-Maximization, EM)算法对场景分类,接下来根据少量监督样本确定目标变化类别,最后用Dempster-Shafer (DS)证据理论处理,获取多波段融合相干变化差异图。该结果可有效排除各个单波段存在的低相干干扰,达到降低虚警概率的目的。该文采用变化前后的L波段与P波段重轨SAR数据进行方法验证,实验结果与指标参数证明了该方法的有效性与正确性。
相干变化检测(Coherent Change Detection, CCD)利用变化前后SAR图像间的相位相干性检测场景中发生的微小变化。传统的CCD方法由于对目标探测尺度单一,难以区分场景中目标变化区域与低相干干扰区域。多波段SAR对目标进行多尺度探测,依据电磁波对目标的穿透特性、目标的结构特性以及目标发生的变化尺度形成不同的相干性表征。该文据此提出一种多波段CCD方法。该方法先分别获取各个波段的相干变化差异图,然后依据目标的多波段相干性表征使用改进的期望最大化(Expectation-Maximization, EM)算法对场景分类,接下来根据少量监督样本确定目标变化类别,最后用Dempster-Shafer (DS)证据理论处理,获取多波段融合相干变化差异图。该结果可有效排除各个单波段存在的低相干干扰,达到降低虚警概率的目的。该文采用变化前后的L波段与P波段重轨SAR数据进行方法验证,实验结果与指标参数证明了该方法的有效性与正确性。 相干变化检测(Coherent Change Detection, CCD)利用变化前后SAR图像间的相位相干性检测场景中发生的微小变化。传统的CCD方法由于对目标探测尺度单一,难以区分场景中目标变化区域与低相干干扰区域。多波段SAR对目标进行多尺度探测,依据电磁波对目标的穿透特性、目标的结构特性以及目标发生的变化尺度形成不同的相干性表征。该文据此提出一种多波段CCD方法。该方法先分别获取各个波段的相干变化差异图,然后依据目标的多波段相干性表征使用改进的期望最大化(Expectation-Maximization, EM)算法对场景分类,接下来根据少量监督样本确定目标变化类别,最后用Dempster-Shafer (DS)证据理论处理,获取多波段融合相干变化差异图。该结果可有效排除各个单波段存在的低相干干扰,达到降低虚警概率的目的。该文采用变化前后的L波段与P波段重轨SAR数据进行方法验证,实验结果与指标参数证明了该方法的有效性与正确性。
2018, 7(4): 465-474.
摘要:
城市地区极化分解对于监测城市扩张速度并研究其对生态环境的影响非常重要。全极化合成孔径雷达(PolSAR)允许我们使用极化目标分解方法来检测地物散射机制,是一种对城区变化进行监测的手段。然而,目标的极化方向角(POA)会影响极化分解结果,导致体散射过估等问题,使得极化分解结果不能正确地体现目标的散射机理。传统的去取向方法只对主导极化方向角较小的地区起到去取向的作用,对取向角较大区域没有明显的效果。该文针对以上问题提出了一种基于高分辨率城市区域图像的POA校正方法。首先,高分辨率图像中城市建筑区域的POA会因为地物变化出现跳变的现象,可以利用POA的随机性对城市地区的范围进行估计。其次,使用线性逼近方法来获取城区中使交叉极化项最小的POA。利用该文提出的POA校正算法,可以使取向角导致的误分解问题得到缓解,提高分解结果的准确度。该算法使用2009年于四川都江堰地区获取的机载X波段全极化数据进行验证,得到了明显的改进结果,城市区域的体散射分量得到了显著的提升。 城市地区极化分解对于监测城市扩张速度并研究其对生态环境的影响非常重要。全极化合成孔径雷达(PolSAR)允许我们使用极化目标分解方法来检测地物散射机制,是一种对城区变化进行监测的手段。然而,目标的极化方向角(POA)会影响极化分解结果,导致体散射过估等问题,使得极化分解结果不能正确地体现目标的散射机理。传统的去取向方法只对主导极化方向角较小的地区起到去取向的作用,对取向角较大区域没有明显的效果。该文针对以上问题提出了一种基于高分辨率城市区域图像的POA校正方法。首先,高分辨率图像中城市建筑区域的POA会因为地物变化出现跳变的现象,可以利用POA的随机性对城市地区的范围进行估计。其次,使用线性逼近方法来获取城区中使交叉极化项最小的POA。利用该文提出的POA校正算法,可以使取向角导致的误分解问题得到缓解,提高分解结果的准确度。该算法使用2009年于四川都江堰地区获取的机载X波段全极化数据进行验证,得到了明显的改进结果,城市区域的体散射分量得到了显著的提升。
城市地区极化分解对于监测城市扩张速度并研究其对生态环境的影响非常重要。全极化合成孔径雷达(PolSAR)允许我们使用极化目标分解方法来检测地物散射机制,是一种对城区变化进行监测的手段。然而,目标的极化方向角(POA)会影响极化分解结果,导致体散射过估等问题,使得极化分解结果不能正确地体现目标的散射机理。传统的去取向方法只对主导极化方向角较小的地区起到去取向的作用,对取向角较大区域没有明显的效果。该文针对以上问题提出了一种基于高分辨率城市区域图像的POA校正方法。首先,高分辨率图像中城市建筑区域的POA会因为地物变化出现跳变的现象,可以利用POA的随机性对城市地区的范围进行估计。其次,使用线性逼近方法来获取城区中使交叉极化项最小的POA。利用该文提出的POA校正算法,可以使取向角导致的误分解问题得到缓解,提高分解结果的准确度。该算法使用2009年于四川都江堰地区获取的机载X波段全极化数据进行验证,得到了明显的改进结果,城市区域的体散射分量得到了显著的提升。 城市地区极化分解对于监测城市扩张速度并研究其对生态环境的影响非常重要。全极化合成孔径雷达(PolSAR)允许我们使用极化目标分解方法来检测地物散射机制,是一种对城区变化进行监测的手段。然而,目标的极化方向角(POA)会影响极化分解结果,导致体散射过估等问题,使得极化分解结果不能正确地体现目标的散射机理。传统的去取向方法只对主导极化方向角较小的地区起到去取向的作用,对取向角较大区域没有明显的效果。该文针对以上问题提出了一种基于高分辨率城市区域图像的POA校正方法。首先,高分辨率图像中城市建筑区域的POA会因为地物变化出现跳变的现象,可以利用POA的随机性对城市地区的范围进行估计。其次,使用线性逼近方法来获取城区中使交叉极化项最小的POA。利用该文提出的POA校正算法,可以使取向角导致的误分解问题得到缓解,提高分解结果的准确度。该算法使用2009年于四川都江堰地区获取的机载X波段全极化数据进行验证,得到了明显的改进结果,城市区域的体散射分量得到了显著的提升。
2018, 7(4): 475-486.
摘要:
双频联合解缠不需要满足Iton假设,因此双频干涉可以有效地提取地形起伏较大区域的高程信息。针对目前双频干涉处理中高程重建精度低的问题,该文提出了一种有效的双频干涉SAR地形高程重建方法。该方法对常规处理流程中的关键步骤进行了改进,首先在不同波段配准之前采用非局部参数估计(NL-InSAR)技术对幅度图、相干系数、干涉相位进行精确估计,利用各个波段滤波后的幅度信息来实现不同波段的干涉相位的配准。然后采用聚类分析技术对联合解缠相位标记有效点和噪点,并利用这些有效点对联合解缠相位进行均值滤波。用于实验的机载实测数据包括同一场景的C波段和X波段主、辅SAR图像复数据,在针对实测数据处理中,该方法取得了较好的高程重建结果。 双频联合解缠不需要满足Iton假设,因此双频干涉可以有效地提取地形起伏较大区域的高程信息。针对目前双频干涉处理中高程重建精度低的问题,该文提出了一种有效的双频干涉SAR地形高程重建方法。该方法对常规处理流程中的关键步骤进行了改进,首先在不同波段配准之前采用非局部参数估计(NL-InSAR)技术对幅度图、相干系数、干涉相位进行精确估计,利用各个波段滤波后的幅度信息来实现不同波段的干涉相位的配准。然后采用聚类分析技术对联合解缠相位标记有效点和噪点,并利用这些有效点对联合解缠相位进行均值滤波。用于实验的机载实测数据包括同一场景的C波段和X波段主、辅SAR图像复数据,在针对实测数据处理中,该方法取得了较好的高程重建结果。
双频联合解缠不需要满足Iton假设,因此双频干涉可以有效地提取地形起伏较大区域的高程信息。针对目前双频干涉处理中高程重建精度低的问题,该文提出了一种有效的双频干涉SAR地形高程重建方法。该方法对常规处理流程中的关键步骤进行了改进,首先在不同波段配准之前采用非局部参数估计(NL-InSAR)技术对幅度图、相干系数、干涉相位进行精确估计,利用各个波段滤波后的幅度信息来实现不同波段的干涉相位的配准。然后采用聚类分析技术对联合解缠相位标记有效点和噪点,并利用这些有效点对联合解缠相位进行均值滤波。用于实验的机载实测数据包括同一场景的C波段和X波段主、辅SAR图像复数据,在针对实测数据处理中,该方法取得了较好的高程重建结果。 双频联合解缠不需要满足Iton假设,因此双频干涉可以有效地提取地形起伏较大区域的高程信息。针对目前双频干涉处理中高程重建精度低的问题,该文提出了一种有效的双频干涉SAR地形高程重建方法。该方法对常规处理流程中的关键步骤进行了改进,首先在不同波段配准之前采用非局部参数估计(NL-InSAR)技术对幅度图、相干系数、干涉相位进行精确估计,利用各个波段滤波后的幅度信息来实现不同波段的干涉相位的配准。然后采用聚类分析技术对联合解缠相位标记有效点和噪点,并利用这些有效点对联合解缠相位进行均值滤波。用于实验的机载实测数据包括同一场景的C波段和X波段主、辅SAR图像复数据,在针对实测数据处理中,该方法取得了较好的高程重建结果。
2018, 7(4): 487-497.
摘要:
该文基于TerraSAR-X/TanDEM-X (TSX/TDX)双基升降轨数据,首先采用非局部干涉(NonLocal Interferometric SAR, NL-InSAR)相位滤波分别得到单航过升轨和降轨模式下的高分辨率DEM。在此基础上,基于NL-InSAR估计得到的较准确相干系数,提出一种升降轨DEM融合方法,恢复SAR侧视成像造成的几何畸变,提高DEM重建精度。该文采用两幅北京地区的TSX/TDX升降轨干涉对进行融合处理,结果表明,在地形复杂地区的叠掩和阴影等无效区域,融合之后的DEM无效点数明显减少。经统计,融合后无效点数比例由升轨、降轨的4.93%和4.52%降低到1.34%。同时,融合DEM的精度相比于升轨的6.74 m提高了8.7%、相比于降轨的6.67 m提高了9.6%,融合后高程精度达到6.09 m。 该文基于TerraSAR-X/TanDEM-X (TSX/TDX)双基升降轨数据,首先采用非局部干涉(NonLocal Interferometric SAR, NL-InSAR)相位滤波分别得到单航过升轨和降轨模式下的高分辨率DEM。在此基础上,基于NL-InSAR估计得到的较准确相干系数,提出一种升降轨DEM融合方法,恢复SAR侧视成像造成的几何畸变,提高DEM重建精度。该文采用两幅北京地区的TSX/TDX升降轨干涉对进行融合处理,结果表明,在地形复杂地区的叠掩和阴影等无效区域,融合之后的DEM无效点数明显减少。经统计,融合后无效点数比例由升轨、降轨的4.93%和4.52%降低到1.34%。同时,融合DEM的精度相比于升轨的6.74 m提高了8.7%、相比于降轨的6.67 m提高了9.6%,融合后高程精度达到6.09 m。
该文基于TerraSAR-X/TanDEM-X (TSX/TDX)双基升降轨数据,首先采用非局部干涉(NonLocal Interferometric SAR, NL-InSAR)相位滤波分别得到单航过升轨和降轨模式下的高分辨率DEM。在此基础上,基于NL-InSAR估计得到的较准确相干系数,提出一种升降轨DEM融合方法,恢复SAR侧视成像造成的几何畸变,提高DEM重建精度。该文采用两幅北京地区的TSX/TDX升降轨干涉对进行融合处理,结果表明,在地形复杂地区的叠掩和阴影等无效区域,融合之后的DEM无效点数明显减少。经统计,融合后无效点数比例由升轨、降轨的4.93%和4.52%降低到1.34%。同时,融合DEM的精度相比于升轨的6.74 m提高了8.7%、相比于降轨的6.67 m提高了9.6%,融合后高程精度达到6.09 m。 该文基于TerraSAR-X/TanDEM-X (TSX/TDX)双基升降轨数据,首先采用非局部干涉(NonLocal Interferometric SAR, NL-InSAR)相位滤波分别得到单航过升轨和降轨模式下的高分辨率DEM。在此基础上,基于NL-InSAR估计得到的较准确相干系数,提出一种升降轨DEM融合方法,恢复SAR侧视成像造成的几何畸变,提高DEM重建精度。该文采用两幅北京地区的TSX/TDX升降轨干涉对进行融合处理,结果表明,在地形复杂地区的叠掩和阴影等无效区域,融合之后的DEM无效点数明显减少。经统计,融合后无效点数比例由升轨、降轨的4.93%和4.52%降低到1.34%。同时,融合DEM的精度相比于升轨的6.74 m提高了8.7%、相比于降轨的6.67 m提高了9.6%,融合后高程精度达到6.09 m。
2018, 7(4): 498-506.
摘要:
为了提高雷达发射波形的检测性能,同时使发射机发挥其最大效能,以发射波形的低峰均比(PAR)为约束条件,该文提出了一种信号相关杂波背景下的认知雷达发射波形和接收机滤波器联合优化方法。首先,面向距离扩展目标检测问题,构建关于雷达输出信干噪比(SINR)的优化模型;然后将该模型转化为Rayleigh商形式,给出了接收机权值的解析表达式;在此基础上,通过半正定松弛,将关于发射波形半正定矩阵的非凸问题转化为凸问题,求得发射波形的最优矩阵解;最后,将秩1近似法和最近邻方法相结合,从最优矩阵解中提取出发射波形的最优向量解。该方法在给定PAR取值范围内可使波形的输出SINR达到最大,PAR=2时波形的SINR值与能量约束下优化波形的SINR值相同,并且比PAR=1时所得波形高出约0.5 dB。仿真结果验证了所提方法的有效性。 为了提高雷达发射波形的检测性能,同时使发射机发挥其最大效能,以发射波形的低峰均比(PAR)为约束条件,该文提出了一种信号相关杂波背景下的认知雷达发射波形和接收机滤波器联合优化方法。首先,面向距离扩展目标检测问题,构建关于雷达输出信干噪比(SINR)的优化模型;然后将该模型转化为Rayleigh商形式,给出了接收机权值的解析表达式;在此基础上,通过半正定松弛,将关于发射波形半正定矩阵的非凸问题转化为凸问题,求得发射波形的最优矩阵解;最后,将秩1近似法和最近邻方法相结合,从最优矩阵解中提取出发射波形的最优向量解。该方法在给定PAR取值范围内可使波形的输出SINR达到最大,PAR=2时波形的SINR值与能量约束下优化波形的SINR值相同,并且比PAR=1时所得波形高出约0.5 dB。仿真结果验证了所提方法的有效性。
为了提高雷达发射波形的检测性能,同时使发射机发挥其最大效能,以发射波形的低峰均比(PAR)为约束条件,该文提出了一种信号相关杂波背景下的认知雷达发射波形和接收机滤波器联合优化方法。首先,面向距离扩展目标检测问题,构建关于雷达输出信干噪比(SINR)的优化模型;然后将该模型转化为Rayleigh商形式,给出了接收机权值的解析表达式;在此基础上,通过半正定松弛,将关于发射波形半正定矩阵的非凸问题转化为凸问题,求得发射波形的最优矩阵解;最后,将秩1近似法和最近邻方法相结合,从最优矩阵解中提取出发射波形的最优向量解。该方法在给定PAR取值范围内可使波形的输出SINR达到最大,PAR=2时波形的SINR值与能量约束下优化波形的SINR值相同,并且比PAR=1时所得波形高出约0.5 dB。仿真结果验证了所提方法的有效性。 为了提高雷达发射波形的检测性能,同时使发射机发挥其最大效能,以发射波形的低峰均比(PAR)为约束条件,该文提出了一种信号相关杂波背景下的认知雷达发射波形和接收机滤波器联合优化方法。首先,面向距离扩展目标检测问题,构建关于雷达输出信干噪比(SINR)的优化模型;然后将该模型转化为Rayleigh商形式,给出了接收机权值的解析表达式;在此基础上,通过半正定松弛,将关于发射波形半正定矩阵的非凸问题转化为凸问题,求得发射波形的最优矩阵解;最后,将秩1近似法和最近邻方法相结合,从最优矩阵解中提取出发射波形的最优向量解。该方法在给定PAR取值范围内可使波形的输出SINR达到最大,PAR=2时波形的SINR值与能量约束下优化波形的SINR值相同,并且比PAR=1时所得波形高出约0.5 dB。仿真结果验证了所提方法的有效性。
2018, 7(4): 507-513.
摘要:
针对相位编码正交频分复用(Orthogonal Frequency Division Multiplexing, OFDM)雷达动目标探测问题,该文提出了一种基于通道分离和最大似然原理相结合的运动参数估计方法。首先,利用OFDM信号的正交性分离出多通道信号,并与相位编码参考信号在快时间域相关后获得各通道的1维距离像。随后,利用Keystone变换校正子载波多普勒偏移与慢时间之间的耦合,并在慢时间域和子载波域进行相参积累得到距离-多普勒2维谱。结合CLEAN技术对距离-多普勒2维谱进行谱峰搜索,获得各个目标的位置和速度参数估计量。以此为初值,利用牛顿迭代算法对似然函数进行优化,最终获得运动参数的近似最大似然估计(Approximate Maximum Likelihood Estimator, AMLE)。仿真实验表明,该文算法在计算复杂性和参数估计精度上都优于传统的Keystone估计算法,在相同均方根误差(Root-Mean-Square Error, RMSE)下其输入信噪比改善了约4 dB,且均方误差接近Cramer-Rao下限。 针对相位编码正交频分复用(Orthogonal Frequency Division Multiplexing, OFDM)雷达动目标探测问题,该文提出了一种基于通道分离和最大似然原理相结合的运动参数估计方法。首先,利用OFDM信号的正交性分离出多通道信号,并与相位编码参考信号在快时间域相关后获得各通道的1维距离像。随后,利用Keystone变换校正子载波多普勒偏移与慢时间之间的耦合,并在慢时间域和子载波域进行相参积累得到距离-多普勒2维谱。结合CLEAN技术对距离-多普勒2维谱进行谱峰搜索,获得各个目标的位置和速度参数估计量。以此为初值,利用牛顿迭代算法对似然函数进行优化,最终获得运动参数的近似最大似然估计(Approximate Maximum Likelihood Estimator, AMLE)。仿真实验表明,该文算法在计算复杂性和参数估计精度上都优于传统的Keystone估计算法,在相同均方根误差(Root-Mean-Square Error, RMSE)下其输入信噪比改善了约4 dB,且均方误差接近Cramer-Rao下限。
针对相位编码正交频分复用(Orthogonal Frequency Division Multiplexing, OFDM)雷达动目标探测问题,该文提出了一种基于通道分离和最大似然原理相结合的运动参数估计方法。首先,利用OFDM信号的正交性分离出多通道信号,并与相位编码参考信号在快时间域相关后获得各通道的1维距离像。随后,利用Keystone变换校正子载波多普勒偏移与慢时间之间的耦合,并在慢时间域和子载波域进行相参积累得到距离-多普勒2维谱。结合CLEAN技术对距离-多普勒2维谱进行谱峰搜索,获得各个目标的位置和速度参数估计量。以此为初值,利用牛顿迭代算法对似然函数进行优化,最终获得运动参数的近似最大似然估计(Approximate Maximum Likelihood Estimator, AMLE)。仿真实验表明,该文算法在计算复杂性和参数估计精度上都优于传统的Keystone估计算法,在相同均方根误差(Root-Mean-Square Error, RMSE)下其输入信噪比改善了约4 dB,且均方误差接近Cramer-Rao下限。 针对相位编码正交频分复用(Orthogonal Frequency Division Multiplexing, OFDM)雷达动目标探测问题,该文提出了一种基于通道分离和最大似然原理相结合的运动参数估计方法。首先,利用OFDM信号的正交性分离出多通道信号,并与相位编码参考信号在快时间域相关后获得各通道的1维距离像。随后,利用Keystone变换校正子载波多普勒偏移与慢时间之间的耦合,并在慢时间域和子载波域进行相参积累得到距离-多普勒2维谱。结合CLEAN技术对距离-多普勒2维谱进行谱峰搜索,获得各个目标的位置和速度参数估计量。以此为初值,利用牛顿迭代算法对似然函数进行优化,最终获得运动参数的近似最大似然估计(Approximate Maximum Likelihood Estimator, AMLE)。仿真实验表明,该文算法在计算复杂性和参数估计精度上都优于传统的Keystone估计算法,在相同均方根误差(Root-Mean-Square Error, RMSE)下其输入信噪比改善了约4 dB,且均方误差接近Cramer-Rao下限。
2018, 7(4): 514-522.
摘要:
LTE (Long Term Evolution)信号具有大带宽、高覆盖率、强通用性等优点,是一种新型的外辐射源雷达机会照射源。该文从FDD-LTE (Frequency Division Duplexing Long Term Evolution)信号结构入手,探讨了该信号作为第三方机会照射源的模糊函数特性;根据实测FDD-LTE信号,阐述了模糊函数中帧间模糊带抑制的必要性,并对该帧间模糊带的形成机理进行了详细的分析,分析结果表明LTE信号结构中的确定性特征既是引起模糊带的主要因素,同时也是信号相干积累的主要能量来源。对此,该文提出了基于OFDM (Orthogonal Frequency Division Multiplexing)符号子载波系数归一化的帧间模糊带抑制方法,该方法能够在抑制帧间模糊带的同时,又不影响信号相干积累进行目标探测。仿真和实测结果验证了该抑制方法的有效性,为LTE外辐射源雷达目标探测奠定了基础。 LTE (Long Term Evolution)信号具有大带宽、高覆盖率、强通用性等优点,是一种新型的外辐射源雷达机会照射源。该文从FDD-LTE (Frequency Division Duplexing Long Term Evolution)信号结构入手,探讨了该信号作为第三方机会照射源的模糊函数特性;根据实测FDD-LTE信号,阐述了模糊函数中帧间模糊带抑制的必要性,并对该帧间模糊带的形成机理进行了详细的分析,分析结果表明LTE信号结构中的确定性特征既是引起模糊带的主要因素,同时也是信号相干积累的主要能量来源。对此,该文提出了基于OFDM (Orthogonal Frequency Division Multiplexing)符号子载波系数归一化的帧间模糊带抑制方法,该方法能够在抑制帧间模糊带的同时,又不影响信号相干积累进行目标探测。仿真和实测结果验证了该抑制方法的有效性,为LTE外辐射源雷达目标探测奠定了基础。
LTE (Long Term Evolution)信号具有大带宽、高覆盖率、强通用性等优点,是一种新型的外辐射源雷达机会照射源。该文从FDD-LTE (Frequency Division Duplexing Long Term Evolution)信号结构入手,探讨了该信号作为第三方机会照射源的模糊函数特性;根据实测FDD-LTE信号,阐述了模糊函数中帧间模糊带抑制的必要性,并对该帧间模糊带的形成机理进行了详细的分析,分析结果表明LTE信号结构中的确定性特征既是引起模糊带的主要因素,同时也是信号相干积累的主要能量来源。对此,该文提出了基于OFDM (Orthogonal Frequency Division Multiplexing)符号子载波系数归一化的帧间模糊带抑制方法,该方法能够在抑制帧间模糊带的同时,又不影响信号相干积累进行目标探测。仿真和实测结果验证了该抑制方法的有效性,为LTE外辐射源雷达目标探测奠定了基础。 LTE (Long Term Evolution)信号具有大带宽、高覆盖率、强通用性等优点,是一种新型的外辐射源雷达机会照射源。该文从FDD-LTE (Frequency Division Duplexing Long Term Evolution)信号结构入手,探讨了该信号作为第三方机会照射源的模糊函数特性;根据实测FDD-LTE信号,阐述了模糊函数中帧间模糊带抑制的必要性,并对该帧间模糊带的形成机理进行了详细的分析,分析结果表明LTE信号结构中的确定性特征既是引起模糊带的主要因素,同时也是信号相干积累的主要能量来源。对此,该文提出了基于OFDM (Orthogonal Frequency Division Multiplexing)符号子载波系数归一化的帧间模糊带抑制方法,该方法能够在抑制帧间模糊带的同时,又不影响信号相干积累进行目标探测。仿真和实测结果验证了该抑制方法的有效性,为LTE外辐射源雷达目标探测奠定了基础。
2018, 7(4): 523-530.
摘要:
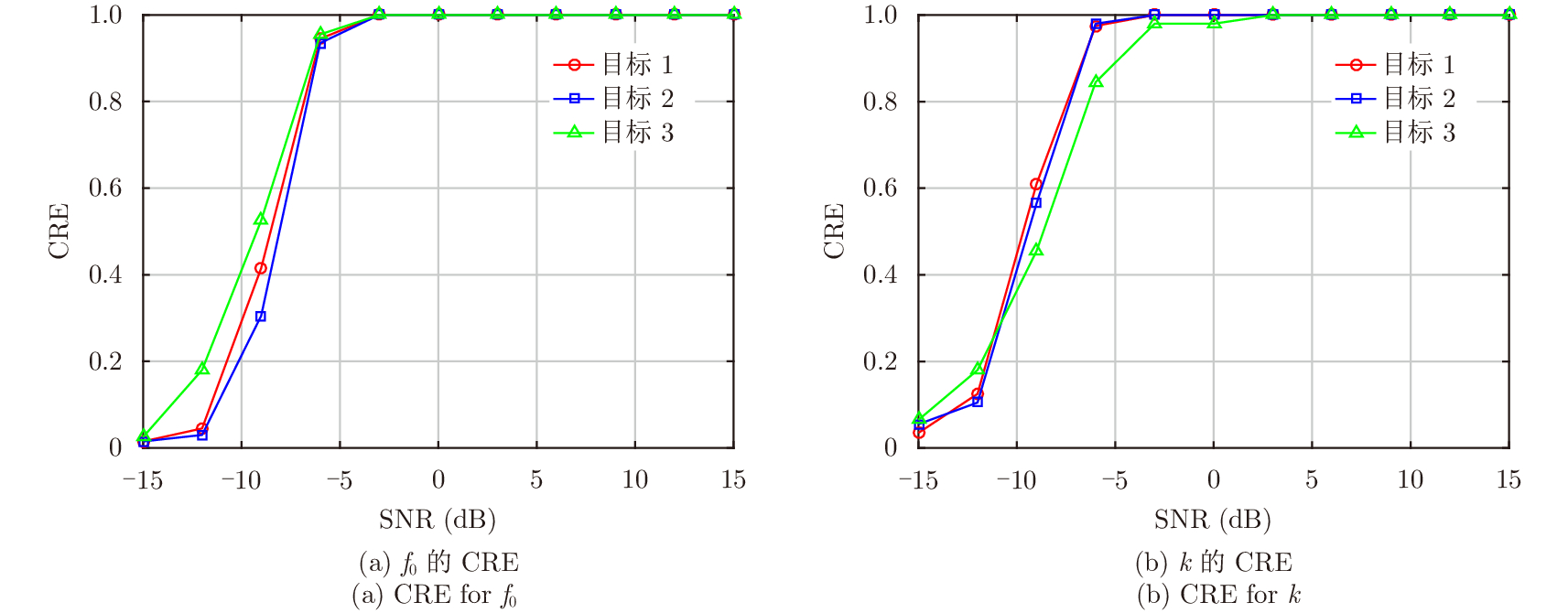
直接定位(DPD)算法能充分利用观测回波信息,在低信噪比条件下其定位精度一般要高于传统的两步定位算法。为解决多基站无源雷达系统中多个未知线性调频(LFM)信号辐射源的定位问题,该文提出一种基于DPD算法和分数傅里叶变换(FRFT)相结合的多目标定位算法。首先,根据建立的信号模型推导了理论上最优的高维最大似然估计器;其次,由于高维信号参数和目标位置联合估计的计算复杂度限制,利用基于FRFT和基本分类算法的降维策略将多目标定位问题转化为多个单目标定位问题;最后,目标的位置及相应信号参数可通过4维网格搜索得到有效估计。仿真结果表明,相比于已存在的忽略发射信号的DPD算法,该文提出算法定位性能更优。 直接定位(DPD)算法能充分利用观测回波信息,在低信噪比条件下其定位精度一般要高于传统的两步定位算法。为解决多基站无源雷达系统中多个未知线性调频(LFM)信号辐射源的定位问题,该文提出一种基于DPD算法和分数傅里叶变换(FRFT)相结合的多目标定位算法。首先,根据建立的信号模型推导了理论上最优的高维最大似然估计器;其次,由于高维信号参数和目标位置联合估计的计算复杂度限制,利用基于FRFT和基本分类算法的降维策略将多目标定位问题转化为多个单目标定位问题;最后,目标的位置及相应信号参数可通过4维网格搜索得到有效估计。仿真结果表明,相比于已存在的忽略发射信号的DPD算法,该文提出算法定位性能更优。
直接定位(DPD)算法能充分利用观测回波信息,在低信噪比条件下其定位精度一般要高于传统的两步定位算法。为解决多基站无源雷达系统中多个未知线性调频(LFM)信号辐射源的定位问题,该文提出一种基于DPD算法和分数傅里叶变换(FRFT)相结合的多目标定位算法。首先,根据建立的信号模型推导了理论上最优的高维最大似然估计器;其次,由于高维信号参数和目标位置联合估计的计算复杂度限制,利用基于FRFT和基本分类算法的降维策略将多目标定位问题转化为多个单目标定位问题;最后,目标的位置及相应信号参数可通过4维网格搜索得到有效估计。仿真结果表明,相比于已存在的忽略发射信号的DPD算法,该文提出算法定位性能更优。 直接定位(DPD)算法能充分利用观测回波信息,在低信噪比条件下其定位精度一般要高于传统的两步定位算法。为解决多基站无源雷达系统中多个未知线性调频(LFM)信号辐射源的定位问题,该文提出一种基于DPD算法和分数傅里叶变换(FRFT)相结合的多目标定位算法。首先,根据建立的信号模型推导了理论上最优的高维最大似然估计器;其次,由于高维信号参数和目标位置联合估计的计算复杂度限制,利用基于FRFT和基本分类算法的降维策略将多目标定位问题转化为多个单目标定位问题;最后,目标的位置及相应信号参数可通过4维网格搜索得到有效估计。仿真结果表明,相比于已存在的忽略发射信号的DPD算法,该文提出算法定位性能更优。
作者中心
专家审稿
责编办公
编辑办公
上一期
摘要
1096KB
微信 | 公众平台 