2018年 7卷 第2期
栏目
2018, 7(2): 153-166.
摘要:
与传统的相控阵只形成方位角依赖性的发射波束不同,频控阵通过在阵元间采用一个小频差来实现波束的自动扫描功能。频控阵能够形成具有距离依赖性和时变性的发射波束,克服了传统相控阵阵列因子不包含距离和时间变量的缺点,因而带来很多独特的应用优势。该文在作者的“频控阵雷达:概念、原理与应用”(《电子与信息学报》,2016, 38(4): 1000–1011)基础上,简要介绍频控阵雷达的基本原理,全面梳理近3年来国内外关于频控阵雷达技术及其应用方面的最新研究进展,讨论几种新的频控阵雷达技术应用前景,主要包括雷达对抗和雷达-通信一体化应用,并指出目前亟待研究解决的波束时变性、有效接收机设计、自适应信号检测与估计和原理样机研制等几个关键问题。 与传统的相控阵只形成方位角依赖性的发射波束不同,频控阵通过在阵元间采用一个小频差来实现波束的自动扫描功能。频控阵能够形成具有距离依赖性和时变性的发射波束,克服了传统相控阵阵列因子不包含距离和时间变量的缺点,因而带来很多独特的应用优势。该文在作者的“频控阵雷达:概念、原理与应用”(《电子与信息学报》,2016, 38(4): 1000–1011)基础上,简要介绍频控阵雷达的基本原理,全面梳理近3年来国内外关于频控阵雷达技术及其应用方面的最新研究进展,讨论几种新的频控阵雷达技术应用前景,主要包括雷达对抗和雷达-通信一体化应用,并指出目前亟待研究解决的波束时变性、有效接收机设计、自适应信号检测与估计和原理样机研制等几个关键问题。
与传统的相控阵只形成方位角依赖性的发射波束不同,频控阵通过在阵元间采用一个小频差来实现波束的自动扫描功能。频控阵能够形成具有距离依赖性和时变性的发射波束,克服了传统相控阵阵列因子不包含距离和时间变量的缺点,因而带来很多独特的应用优势。该文在作者的“频控阵雷达:概念、原理与应用”(《电子与信息学报》,2016, 38(4): 1000–1011)基础上,简要介绍频控阵雷达的基本原理,全面梳理近3年来国内外关于频控阵雷达技术及其应用方面的最新研究进展,讨论几种新的频控阵雷达技术应用前景,主要包括雷达对抗和雷达-通信一体化应用,并指出目前亟待研究解决的波束时变性、有效接收机设计、自适应信号检测与估计和原理样机研制等几个关键问题。 与传统的相控阵只形成方位角依赖性的发射波束不同,频控阵通过在阵元间采用一个小频差来实现波束的自动扫描功能。频控阵能够形成具有距离依赖性和时变性的发射波束,克服了传统相控阵阵列因子不包含距离和时间变量的缺点,因而带来很多独特的应用优势。该文在作者的“频控阵雷达:概念、原理与应用”(《电子与信息学报》,2016, 38(4): 1000–1011)基础上,简要介绍频控阵雷达的基本原理,全面梳理近3年来国内外关于频控阵雷达技术及其应用方面的最新研究进展,讨论几种新的频控阵雷达技术应用前景,主要包括雷达对抗和雷达-通信一体化应用,并指出目前亟待研究解决的波束时变性、有效接收机设计、自适应信号检测与估计和原理样机研制等几个关键问题。
2018, 7(2): 167-182.
摘要:
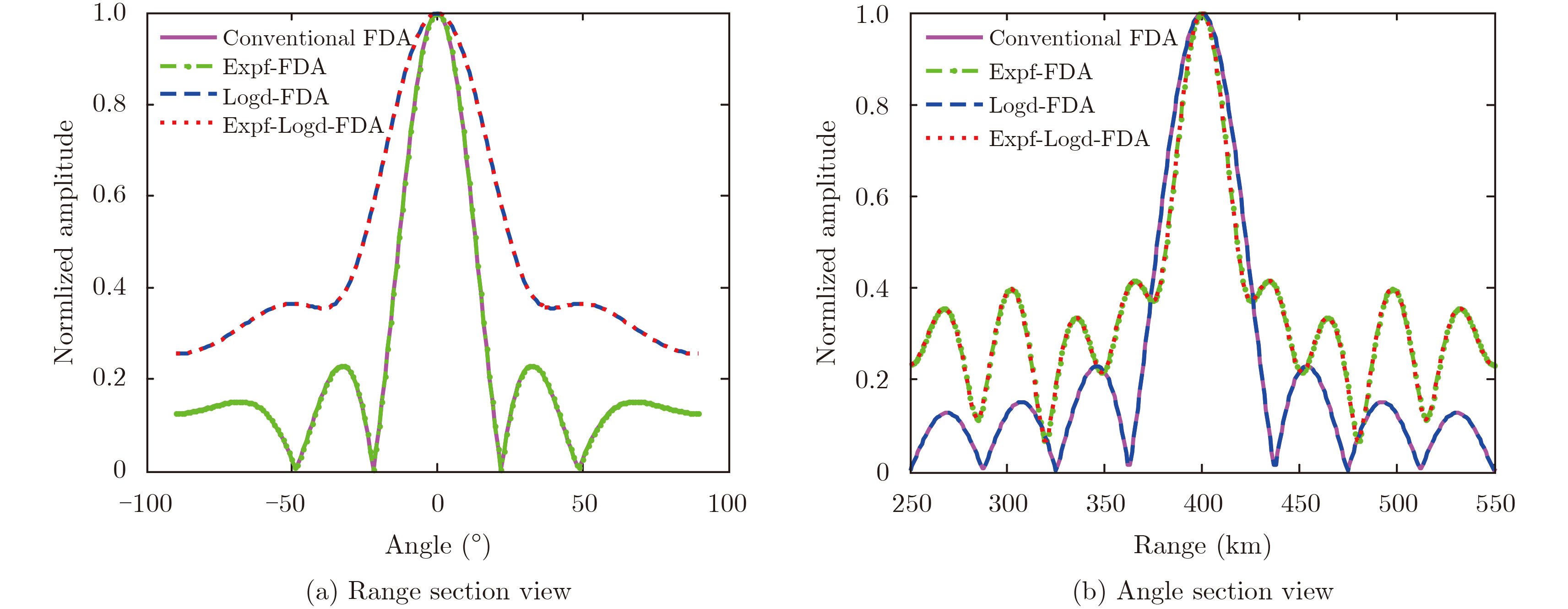
频率分集阵(Frequency Diverse Array, FDA)雷达不同天线单元的发射载频存在微小的差异,从而带来了发射方向图距离角度时间依赖的特性,这一特性提供了FDA雷达新的信息和信号处理灵活度,也带了新的技术问题。该文综述了FDA天线技术及雷达应用的相关研究进展,并重点从雷达系统理论与工程应用的角度,着重分析了相干FDA雷达和正交FDA雷达两种体制的技术特点,指出FDA雷达在抗干扰、抗模糊中的应用优势,梳理了FDA雷达技术的难点和研究方向。 频率分集阵(Frequency Diverse Array, FDA)雷达不同天线单元的发射载频存在微小的差异,从而带来了发射方向图距离角度时间依赖的特性,这一特性提供了FDA雷达新的信息和信号处理灵活度,也带了新的技术问题。该文综述了FDA天线技术及雷达应用的相关研究进展,并重点从雷达系统理论与工程应用的角度,着重分析了相干FDA雷达和正交FDA雷达两种体制的技术特点,指出FDA雷达在抗干扰、抗模糊中的应用优势,梳理了FDA雷达技术的难点和研究方向。
频率分集阵(Frequency Diverse Array, FDA)雷达不同天线单元的发射载频存在微小的差异,从而带来了发射方向图距离角度时间依赖的特性,这一特性提供了FDA雷达新的信息和信号处理灵活度,也带了新的技术问题。该文综述了FDA天线技术及雷达应用的相关研究进展,并重点从雷达系统理论与工程应用的角度,着重分析了相干FDA雷达和正交FDA雷达两种体制的技术特点,指出FDA雷达在抗干扰、抗模糊中的应用优势,梳理了FDA雷达技术的难点和研究方向。 频率分集阵(Frequency Diverse Array, FDA)雷达不同天线单元的发射载频存在微小的差异,从而带来了发射方向图距离角度时间依赖的特性,这一特性提供了FDA雷达新的信息和信号处理灵活度,也带了新的技术问题。该文综述了FDA天线技术及雷达应用的相关研究进展,并重点从雷达系统理论与工程应用的角度,着重分析了相干FDA雷达和正交FDA雷达两种体制的技术特点,指出FDA雷达在抗干扰、抗模糊中的应用优势,梳理了FDA雷达技术的难点和研究方向。
2018, 7(2): 183-193.
摘要:
针对复杂环境下对低可观测运动目标探测的迫切需求,该文在系统回顾近几年频控阵雷达国内外发展现状、频控阵雷达阵列结构设计及波束形成、距离和角度的联合估计等技术的基础上,提出了基于空距频聚焦的频控阵雷达信号新方法。充分利用频控阵雷达提供的发射波形自由度、阵元位置自由度、波束方位与距离相关性以及凝视观测的特点,即在空间(角度)、距离和频率(多普勒)的灵活自由度和能量集性,实现空-距-频聚焦和联合参数估计。仿真分析表明该方法具有提高复杂环境下雷达微弱动目标检测和参数估计的潜力,在杂波和干扰抑制、动目标精细化处理等方面有广阔的应用前景。 针对复杂环境下对低可观测运动目标探测的迫切需求,该文在系统回顾近几年频控阵雷达国内外发展现状、频控阵雷达阵列结构设计及波束形成、距离和角度的联合估计等技术的基础上,提出了基于空距频聚焦的频控阵雷达信号新方法。充分利用频控阵雷达提供的发射波形自由度、阵元位置自由度、波束方位与距离相关性以及凝视观测的特点,即在空间(角度)、距离和频率(多普勒)的灵活自由度和能量集性,实现空-距-频聚焦和联合参数估计。仿真分析表明该方法具有提高复杂环境下雷达微弱动目标检测和参数估计的潜力,在杂波和干扰抑制、动目标精细化处理等方面有广阔的应用前景。
针对复杂环境下对低可观测运动目标探测的迫切需求,该文在系统回顾近几年频控阵雷达国内外发展现状、频控阵雷达阵列结构设计及波束形成、距离和角度的联合估计等技术的基础上,提出了基于空距频聚焦的频控阵雷达信号新方法。充分利用频控阵雷达提供的发射波形自由度、阵元位置自由度、波束方位与距离相关性以及凝视观测的特点,即在空间(角度)、距离和频率(多普勒)的灵活自由度和能量集性,实现空-距-频聚焦和联合参数估计。仿真分析表明该方法具有提高复杂环境下雷达微弱动目标检测和参数估计的潜力,在杂波和干扰抑制、动目标精细化处理等方面有广阔的应用前景。 针对复杂环境下对低可观测运动目标探测的迫切需求,该文在系统回顾近几年频控阵雷达国内外发展现状、频控阵雷达阵列结构设计及波束形成、距离和角度的联合估计等技术的基础上,提出了基于空距频聚焦的频控阵雷达信号新方法。充分利用频控阵雷达提供的发射波形自由度、阵元位置自由度、波束方位与距离相关性以及凝视观测的特点,即在空间(角度)、距离和频率(多普勒)的灵活自由度和能量集性,实现空-距-频聚焦和联合参数估计。仿真分析表明该方法具有提高复杂环境下雷达微弱动目标检测和参数估计的潜力,在杂波和干扰抑制、动目标精细化处理等方面有广阔的应用前景。
2018, 7(2): 194-201.
摘要:
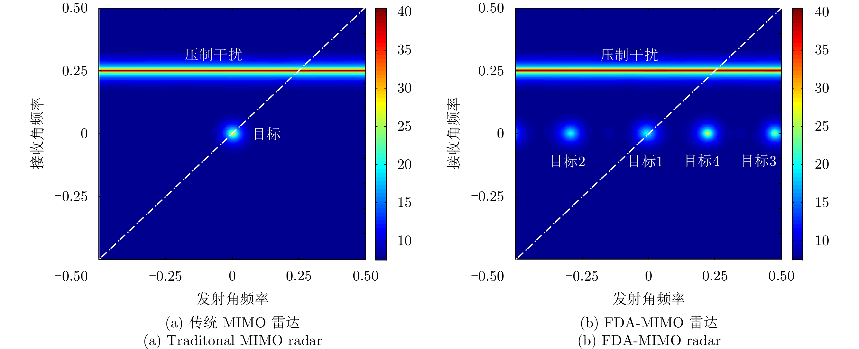
传统MIMO雷达为了获得准确的距离信息不仅需要引入转移矩阵,而且需要积累更多的快拍数。针对该问题,该文提出了基于稀疏迭代的频控阵MIMO雷达多维信息(距离、角度和幅度)估计方法,该方法利用频控阵MIMO的发射导向矢量不仅与目标的方位角有关,同时也与目标的距离有关这一特性,通过优化加权lq范数(0 q 1)的目标函数,采用稀疏迭代优化获取目标的距离、角度和幅度信息。该方法仅需单次快拍,并在每次迭代中求解到了目标的多维信息,故不需借助优化工具获得目标信息。仿真显示,相比DAS,IAA和IAA-R,该方法在有效减少快拍数和处理数据的同时,获得了高分辨率的目标距离、角度和幅度估计性能。 传统MIMO雷达为了获得准确的距离信息不仅需要引入转移矩阵,而且需要积累更多的快拍数。针对该问题,该文提出了基于稀疏迭代的频控阵MIMO雷达多维信息(距离、角度和幅度)估计方法,该方法利用频控阵MIMO的发射导向矢量不仅与目标的方位角有关,同时也与目标的距离有关这一特性,通过优化加权lq范数(0 q 1)的目标函数,采用稀疏迭代优化获取目标的距离、角度和幅度信息。该方法仅需单次快拍,并在每次迭代中求解到了目标的多维信息,故不需借助优化工具获得目标信息。仿真显示,相比DAS,IAA和IAA-R,该方法在有效减少快拍数和处理数据的同时,获得了高分辨率的目标距离、角度和幅度估计性能。
传统MIMO雷达为了获得准确的距离信息不仅需要引入转移矩阵,而且需要积累更多的快拍数。针对该问题,该文提出了基于稀疏迭代的频控阵MIMO雷达多维信息(距离、角度和幅度)估计方法,该方法利用频控阵MIMO的发射导向矢量不仅与目标的方位角有关,同时也与目标的距离有关这一特性,通过优化加权lq范数(0 q 1)的目标函数,采用稀疏迭代优化获取目标的距离、角度和幅度信息。该方法仅需单次快拍,并在每次迭代中求解到了目标的多维信息,故不需借助优化工具获得目标信息。仿真显示,相比DAS,IAA和IAA-R,该方法在有效减少快拍数和处理数据的同时,获得了高分辨率的目标距离、角度和幅度估计性能。 传统MIMO雷达为了获得准确的距离信息不仅需要引入转移矩阵,而且需要积累更多的快拍数。针对该问题,该文提出了基于稀疏迭代的频控阵MIMO雷达多维信息(距离、角度和幅度)估计方法,该方法利用频控阵MIMO的发射导向矢量不仅与目标的方位角有关,同时也与目标的距离有关这一特性,通过优化加权lq范数(0 q 1)的目标函数,采用稀疏迭代优化获取目标的距离、角度和幅度信息。该方法仅需单次快拍,并在每次迭代中求解到了目标的多维信息,故不需借助优化工具获得目标信息。仿真显示,相比DAS,IAA和IAA-R,该方法在有效减少快拍数和处理数据的同时,获得了高分辨率的目标距离、角度和幅度估计性能。
2018, 7(2): 202-211.
摘要:
正侧视阵MIMO(Multiple-Input Multiple-Output)双基地雷达系统具有严重的距离依赖问题和杂波谱展宽现象,该文分析其杂波特性,提出了一种距离模糊杂波抑制方法。该方法在传统的MIMO双基雷达中引入距离相关的相位项,从而提供额外的自由度,通过该相位项的距离信息实现不同距离的杂波分离,并进一步对其进行有效抑制。从而解决了双基地预警雷达大场景下地面杂波距离杂波模糊的问题,仿真结果显示该方法的正确性,并且和已有的DW(Doppler Warping)距离模糊杂波抑制方法进行比较,使用IF(Improve Factor)谱线对抑制结果进行对比,显示该方法有更优的性能。 正侧视阵MIMO(Multiple-Input Multiple-Output)双基地雷达系统具有严重的距离依赖问题和杂波谱展宽现象,该文分析其杂波特性,提出了一种距离模糊杂波抑制方法。该方法在传统的MIMO双基雷达中引入距离相关的相位项,从而提供额外的自由度,通过该相位项的距离信息实现不同距离的杂波分离,并进一步对其进行有效抑制。从而解决了双基地预警雷达大场景下地面杂波距离杂波模糊的问题,仿真结果显示该方法的正确性,并且和已有的DW(Doppler Warping)距离模糊杂波抑制方法进行比较,使用IF(Improve Factor)谱线对抑制结果进行对比,显示该方法有更优的性能。
正侧视阵MIMO(Multiple-Input Multiple-Output)双基地雷达系统具有严重的距离依赖问题和杂波谱展宽现象,该文分析其杂波特性,提出了一种距离模糊杂波抑制方法。该方法在传统的MIMO双基雷达中引入距离相关的相位项,从而提供额外的自由度,通过该相位项的距离信息实现不同距离的杂波分离,并进一步对其进行有效抑制。从而解决了双基地预警雷达大场景下地面杂波距离杂波模糊的问题,仿真结果显示该方法的正确性,并且和已有的DW(Doppler Warping)距离模糊杂波抑制方法进行比较,使用IF(Improve Factor)谱线对抑制结果进行对比,显示该方法有更优的性能。 正侧视阵MIMO(Multiple-Input Multiple-Output)双基地雷达系统具有严重的距离依赖问题和杂波谱展宽现象,该文分析其杂波特性,提出了一种距离模糊杂波抑制方法。该方法在传统的MIMO双基雷达中引入距离相关的相位项,从而提供额外的自由度,通过该相位项的距离信息实现不同距离的杂波分离,并进一步对其进行有效抑制。从而解决了双基地预警雷达大场景下地面杂波距离杂波模糊的问题,仿真结果显示该方法的正确性,并且和已有的DW(Doppler Warping)距离模糊杂波抑制方法进行比较,使用IF(Improve Factor)谱线对抑制结果进行对比,显示该方法有更优的性能。
2018, 7(2): 212-219.
摘要:
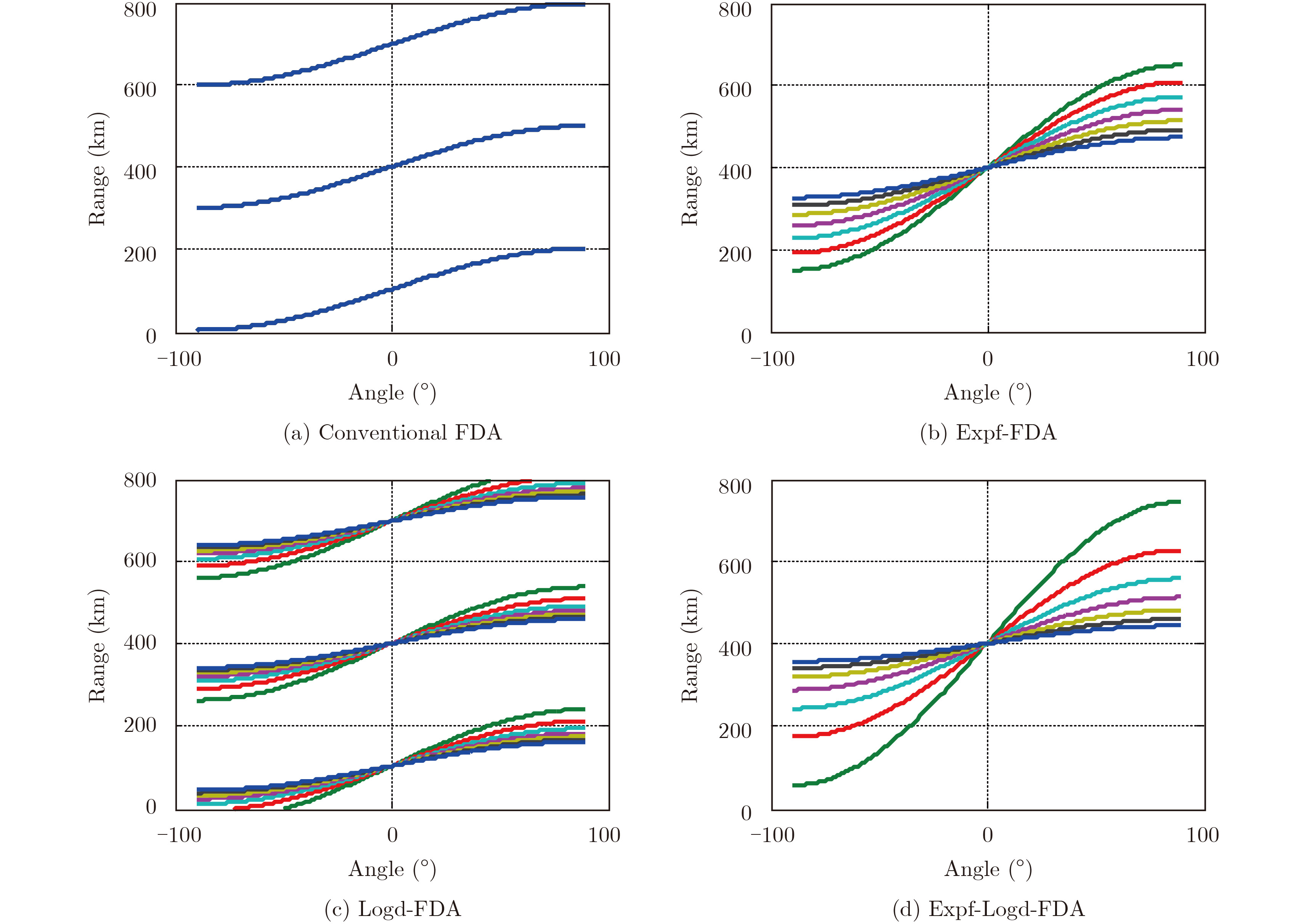
常规频率分集雷达(FDA)在发射阵元采用均匀的频率间隔,从而可以形成距离-角度耦合的波束方向图。但是该方向图在多个距离上均形成多峰值波束,当干扰位于任一波束最大指向的距离时,将会带来信干噪比损失。针对上述问题,该文通过分析波束形成的表达式,从原理上提出一个关于频率分集雷达阵列配置的基本原则,能够在指定的距离角度范围内,形成单峰值的波束方向图。几种特例和仿真结果均证明了该原则的有效性。
常规频率分集雷达(FDA)在发射阵元采用均匀的频率间隔,从而可以形成距离-角度耦合的波束方向图。但是该方向图在多个距离上均形成多峰值波束,当干扰位于任一波束最大指向的距离时,将会带来信干噪比损失。针对上述问题,该文通过分析波束形成的表达式,从原理上提出一个关于频率分集雷达阵列配置的基本原则,能够在指定的距离角度范围内,形成单峰值的波束方向图。几种特例和仿真结果均证明了该原则的有效性。
2018, 7(2): 220-234.
摘要:
针对传统合成孔径雷达(SAR)体制带来的模式单一、核心指标已接近极限等瓶颈问题,近年来提出了一种新体制多输入多输出合成孔径雷达(MIMO-SAR)。该雷达系统通过更多的收发阵元获得更为丰富的系统自由度,并以此突破传统SAR体制限制,实现高分辨率宽测绘带跨越发展和多模式协同。该文深度剖析了MIMO-SAR概念内涵与技术特点,概括了国内外研究现状与技术发展趋势,总结归纳了国际首部同时同频MIMO-SAR研制经验与飞行试验结果,并展望分析了MIMO SAR应用前景,以期为我国未来SAR技术奠定基础。 针对传统合成孔径雷达(SAR)体制带来的模式单一、核心指标已接近极限等瓶颈问题,近年来提出了一种新体制多输入多输出合成孔径雷达(MIMO-SAR)。该雷达系统通过更多的收发阵元获得更为丰富的系统自由度,并以此突破传统SAR体制限制,实现高分辨率宽测绘带跨越发展和多模式协同。该文深度剖析了MIMO-SAR概念内涵与技术特点,概括了国内外研究现状与技术发展趋势,总结归纳了国际首部同时同频MIMO-SAR研制经验与飞行试验结果,并展望分析了MIMO SAR应用前景,以期为我国未来SAR技术奠定基础。
针对传统合成孔径雷达(SAR)体制带来的模式单一、核心指标已接近极限等瓶颈问题,近年来提出了一种新体制多输入多输出合成孔径雷达(MIMO-SAR)。该雷达系统通过更多的收发阵元获得更为丰富的系统自由度,并以此突破传统SAR体制限制,实现高分辨率宽测绘带跨越发展和多模式协同。该文深度剖析了MIMO-SAR概念内涵与技术特点,概括了国内外研究现状与技术发展趋势,总结归纳了国际首部同时同频MIMO-SAR研制经验与飞行试验结果,并展望分析了MIMO SAR应用前景,以期为我国未来SAR技术奠定基础。 针对传统合成孔径雷达(SAR)体制带来的模式单一、核心指标已接近极限等瓶颈问题,近年来提出了一种新体制多输入多输出合成孔径雷达(MIMO-SAR)。该雷达系统通过更多的收发阵元获得更为丰富的系统自由度,并以此突破传统SAR体制限制,实现高分辨率宽测绘带跨越发展和多模式协同。该文深度剖析了MIMO-SAR概念内涵与技术特点,概括了国内外研究现状与技术发展趋势,总结归纳了国际首部同时同频MIMO-SAR研制经验与飞行试验结果,并展望分析了MIMO SAR应用前景,以期为我国未来SAR技术奠定基础。
2018, 7(2): 235-243.
摘要:
射频干扰(the Radio Frequency Interference, RFI)会对有用信号产生不利影响,进而严重影响成像质量。该文提出了一种改进的基于特征子空间的合成孔径雷达(Synthetic Aperture Radar, SAR)图像射频干扰抑制算法。相比传统算法,所提算法增加了专门用于射频干扰检测的预处理模块。在预处理阶段,分别在频域和时域对干扰所在的数据区域进行检测。在后处理阶段,只对检测到干扰的数据区域进行基于特征子空间的干扰抑制。相比传统算法,所提算法在保持图像细部结构方面效果更好,且避免了时域逐脉冲干扰抑制带来的巨大运算量,运算效率大幅提高。 射频干扰(the Radio Frequency Interference, RFI)会对有用信号产生不利影响,进而严重影响成像质量。该文提出了一种改进的基于特征子空间的合成孔径雷达(Synthetic Aperture Radar, SAR)图像射频干扰抑制算法。相比传统算法,所提算法增加了专门用于射频干扰检测的预处理模块。在预处理阶段,分别在频域和时域对干扰所在的数据区域进行检测。在后处理阶段,只对检测到干扰的数据区域进行基于特征子空间的干扰抑制。相比传统算法,所提算法在保持图像细部结构方面效果更好,且避免了时域逐脉冲干扰抑制带来的巨大运算量,运算效率大幅提高。
射频干扰(the Radio Frequency Interference, RFI)会对有用信号产生不利影响,进而严重影响成像质量。该文提出了一种改进的基于特征子空间的合成孔径雷达(Synthetic Aperture Radar, SAR)图像射频干扰抑制算法。相比传统算法,所提算法增加了专门用于射频干扰检测的预处理模块。在预处理阶段,分别在频域和时域对干扰所在的数据区域进行检测。在后处理阶段,只对检测到干扰的数据区域进行基于特征子空间的干扰抑制。相比传统算法,所提算法在保持图像细部结构方面效果更好,且避免了时域逐脉冲干扰抑制带来的巨大运算量,运算效率大幅提高。 射频干扰(the Radio Frequency Interference, RFI)会对有用信号产生不利影响,进而严重影响成像质量。该文提出了一种改进的基于特征子空间的合成孔径雷达(Synthetic Aperture Radar, SAR)图像射频干扰抑制算法。相比传统算法,所提算法增加了专门用于射频干扰检测的预处理模块。在预处理阶段,分别在频域和时域对干扰所在的数据区域进行检测。在后处理阶段,只对检测到干扰的数据区域进行基于特征子空间的干扰抑制。相比传统算法,所提算法在保持图像细部结构方面效果更好,且避免了时域逐脉冲干扰抑制带来的巨大运算量,运算效率大幅提高。
2018, 7(2): 244-253.
摘要:
三大同步是分布式星载SAR系统需要解决的关键问题之一。该文系统分析了时间同步和波束同步误差对分布式星载SAR系统的影响,时间同步部分首先推导了时间同步误差对成像的影响,其次基于时间同步误差模型和脉冲对传相位同步模型,分析时间同步和相位同步导致的相位误差之间的关系,波束同步部分基于星载双基SAR系统的不同姿态导引方式,分析波束指向误差和卫星姿态误差对合成天线方向图的影响,以及对多普勒去相干的影响,最后分析波束同步误差对距离向重叠幅宽的影响。仿真结果验证了本文理论分析的正确性,分析结果可以为分布式星载SAR的系统设计提供重要指导。 三大同步是分布式星载SAR系统需要解决的关键问题之一。该文系统分析了时间同步和波束同步误差对分布式星载SAR系统的影响,时间同步部分首先推导了时间同步误差对成像的影响,其次基于时间同步误差模型和脉冲对传相位同步模型,分析时间同步和相位同步导致的相位误差之间的关系,波束同步部分基于星载双基SAR系统的不同姿态导引方式,分析波束指向误差和卫星姿态误差对合成天线方向图的影响,以及对多普勒去相干的影响,最后分析波束同步误差对距离向重叠幅宽的影响。仿真结果验证了本文理论分析的正确性,分析结果可以为分布式星载SAR的系统设计提供重要指导。
三大同步是分布式星载SAR系统需要解决的关键问题之一。该文系统分析了时间同步和波束同步误差对分布式星载SAR系统的影响,时间同步部分首先推导了时间同步误差对成像的影响,其次基于时间同步误差模型和脉冲对传相位同步模型,分析时间同步和相位同步导致的相位误差之间的关系,波束同步部分基于星载双基SAR系统的不同姿态导引方式,分析波束指向误差和卫星姿态误差对合成天线方向图的影响,以及对多普勒去相干的影响,最后分析波束同步误差对距离向重叠幅宽的影响。仿真结果验证了本文理论分析的正确性,分析结果可以为分布式星载SAR的系统设计提供重要指导。 三大同步是分布式星载SAR系统需要解决的关键问题之一。该文系统分析了时间同步和波束同步误差对分布式星载SAR系统的影响,时间同步部分首先推导了时间同步误差对成像的影响,其次基于时间同步误差模型和脉冲对传相位同步模型,分析时间同步和相位同步导致的相位误差之间的关系,波束同步部分基于星载双基SAR系统的不同姿态导引方式,分析波束指向误差和卫星姿态误差对合成天线方向图的影响,以及对多普勒去相干的影响,最后分析波束同步误差对距离向重叠幅宽的影响。仿真结果验证了本文理论分析的正确性,分析结果可以为分布式星载SAR的系统设计提供重要指导。
2018, 7(2): 254-262.
摘要:
该文主要运用检测前跟踪动态规划(Dynamic Programming-Track Before Detect)算法解决目标跟踪问题。动态规划(Dynamic Programming, DP)是一种通过对量测空间栅格化处理,然后对离散的量测空间中所有可能的物理路径进行遍历的算法。然而,该算法提供的是一种未经滤波和平滑的点迹序列。随着实际战争环境日益复杂,基于单雷达的DP-TBD算法在信噪比(SNR)较低时跟踪效果不佳。此外,由于DP-TBD算法没有状态误差协方差矩阵,因此无法将不同雷达的点迹序列进行融合。而且由于通信时延和不同的采样周期,不同雷达的数据往往是异步的。为了解决以上问题,该文提出了一种基于DP-TBD的分布式异步迭代滤波融合算法(DynamicProgramming Fuison, DPF)。该算法分为两步,第1步提出了一种迭代滤波方法对DP点迹进行处理;第2步将不同雷达获得的异步状态估计转化为同步的,接着利用几种分布式的融合方法来获取融合之后的状态估计。仿真结果说明,和单雷达相比,该融合算法可以有效提升目标跟踪的性能,同时,该算法也可以降低航迹丢失率和计算量。 该文主要运用检测前跟踪动态规划(Dynamic Programming-Track Before Detect)算法解决目标跟踪问题。动态规划(Dynamic Programming, DP)是一种通过对量测空间栅格化处理,然后对离散的量测空间中所有可能的物理路径进行遍历的算法。然而,该算法提供的是一种未经滤波和平滑的点迹序列。随着实际战争环境日益复杂,基于单雷达的DP-TBD算法在信噪比(SNR)较低时跟踪效果不佳。此外,由于DP-TBD算法没有状态误差协方差矩阵,因此无法将不同雷达的点迹序列进行融合。而且由于通信时延和不同的采样周期,不同雷达的数据往往是异步的。为了解决以上问题,该文提出了一种基于DP-TBD的分布式异步迭代滤波融合算法(DynamicProgramming Fuison, DPF)。该算法分为两步,第1步提出了一种迭代滤波方法对DP点迹进行处理;第2步将不同雷达获得的异步状态估计转化为同步的,接着利用几种分布式的融合方法来获取融合之后的状态估计。仿真结果说明,和单雷达相比,该融合算法可以有效提升目标跟踪的性能,同时,该算法也可以降低航迹丢失率和计算量。
该文主要运用检测前跟踪动态规划(Dynamic Programming-Track Before Detect)算法解决目标跟踪问题。动态规划(Dynamic Programming, DP)是一种通过对量测空间栅格化处理,然后对离散的量测空间中所有可能的物理路径进行遍历的算法。然而,该算法提供的是一种未经滤波和平滑的点迹序列。随着实际战争环境日益复杂,基于单雷达的DP-TBD算法在信噪比(SNR)较低时跟踪效果不佳。此外,由于DP-TBD算法没有状态误差协方差矩阵,因此无法将不同雷达的点迹序列进行融合。而且由于通信时延和不同的采样周期,不同雷达的数据往往是异步的。为了解决以上问题,该文提出了一种基于DP-TBD的分布式异步迭代滤波融合算法(DynamicProgramming Fuison, DPF)。该算法分为两步,第1步提出了一种迭代滤波方法对DP点迹进行处理;第2步将不同雷达获得的异步状态估计转化为同步的,接着利用几种分布式的融合方法来获取融合之后的状态估计。仿真结果说明,和单雷达相比,该融合算法可以有效提升目标跟踪的性能,同时,该算法也可以降低航迹丢失率和计算量。 该文主要运用检测前跟踪动态规划(Dynamic Programming-Track Before Detect)算法解决目标跟踪问题。动态规划(Dynamic Programming, DP)是一种通过对量测空间栅格化处理,然后对离散的量测空间中所有可能的物理路径进行遍历的算法。然而,该算法提供的是一种未经滤波和平滑的点迹序列。随着实际战争环境日益复杂,基于单雷达的DP-TBD算法在信噪比(SNR)较低时跟踪效果不佳。此外,由于DP-TBD算法没有状态误差协方差矩阵,因此无法将不同雷达的点迹序列进行融合。而且由于通信时延和不同的采样周期,不同雷达的数据往往是异步的。为了解决以上问题,该文提出了一种基于DP-TBD的分布式异步迭代滤波融合算法(DynamicProgramming Fuison, DPF)。该算法分为两步,第1步提出了一种迭代滤波方法对DP点迹进行处理;第2步将不同雷达获得的异步状态估计转化为同步的,接着利用几种分布式的融合方法来获取融合之后的状态估计。仿真结果说明,和单雷达相比,该融合算法可以有效提升目标跟踪的性能,同时,该算法也可以降低航迹丢失率和计算量。
2018, 7(2): 263-274.
摘要:
该文对合成孔径激光雷达(Synthetic Aperture Ladar, SAL)光学系统和作用距离进行了分析。根据SAL成像特点,提出了SAL使用非成像衍射光学系统的概念,并引入相控阵模型对其性能进行分析。通过在压缩光路中馈源和主镜两处使用二元光学器件,在口径300 mm条件下将2°接收视场信号收入光纤,对所需的相位参数和对应的波束方向图进行了计算仿真。给出了SAL作用距离方程,分析了相干探测和信号积累增益,明确了SAL具有良好的微弱信号探测能力的结论。针对实际应用需求,给出了一个远距离高分辨率机载SAL系统参数和工作模式。5 cm分辨率时,在连续条带成像模式下,其作用距离可达5 km,幅宽可达1.5 km;在滑动聚束成像模式下,作用距离可达10 km,幅宽可达1 km。 该文对合成孔径激光雷达(Synthetic Aperture Ladar, SAL)光学系统和作用距离进行了分析。根据SAL成像特点,提出了SAL使用非成像衍射光学系统的概念,并引入相控阵模型对其性能进行分析。通过在压缩光路中馈源和主镜两处使用二元光学器件,在口径300 mm条件下将2°接收视场信号收入光纤,对所需的相位参数和对应的波束方向图进行了计算仿真。给出了SAL作用距离方程,分析了相干探测和信号积累增益,明确了SAL具有良好的微弱信号探测能力的结论。针对实际应用需求,给出了一个远距离高分辨率机载SAL系统参数和工作模式。5 cm分辨率时,在连续条带成像模式下,其作用距离可达5 km,幅宽可达1.5 km;在滑动聚束成像模式下,作用距离可达10 km,幅宽可达1 km。
该文对合成孔径激光雷达(Synthetic Aperture Ladar, SAL)光学系统和作用距离进行了分析。根据SAL成像特点,提出了SAL使用非成像衍射光学系统的概念,并引入相控阵模型对其性能进行分析。通过在压缩光路中馈源和主镜两处使用二元光学器件,在口径300 mm条件下将2°接收视场信号收入光纤,对所需的相位参数和对应的波束方向图进行了计算仿真。给出了SAL作用距离方程,分析了相干探测和信号积累增益,明确了SAL具有良好的微弱信号探测能力的结论。针对实际应用需求,给出了一个远距离高分辨率机载SAL系统参数和工作模式。5 cm分辨率时,在连续条带成像模式下,其作用距离可达5 km,幅宽可达1.5 km;在滑动聚束成像模式下,作用距离可达10 km,幅宽可达1 km。 该文对合成孔径激光雷达(Synthetic Aperture Ladar, SAL)光学系统和作用距离进行了分析。根据SAL成像特点,提出了SAL使用非成像衍射光学系统的概念,并引入相控阵模型对其性能进行分析。通过在压缩光路中馈源和主镜两处使用二元光学器件,在口径300 mm条件下将2°接收视场信号收入光纤,对所需的相位参数和对应的波束方向图进行了计算仿真。给出了SAL作用距离方程,分析了相干探测和信号积累增益,明确了SAL具有良好的微弱信号探测能力的结论。针对实际应用需求,给出了一个远距离高分辨率机载SAL系统参数和工作模式。5 cm分辨率时,在连续条带成像模式下,其作用距离可达5 km,幅宽可达1.5 km;在滑动聚束成像模式下,作用距离可达10 km,幅宽可达1 km。