基于多无人机协作通感一体化的隐蔽通信设计

袁伟杰 伍军 时玉叶

袁伟杰, 伍军, 时玉叶. 基于多无人机协作通感一体化的隐蔽通信设计[J]. 雷达学报(中英文), 2025, 14(4): 797–808. doi: 10.12000/JR25018
引用本文: 袁伟杰, 伍军, 时玉叶. 基于多无人机协作通感一体化的隐蔽通信设计[J]. 雷达学报(中英文), 2025, 14(4): 797–808. doi: 10.12000/JR25018
YUAN Weijie, WU Jun, and SHI Yuye. Multi-UAV collaborative covert communications: An ISAC-based approach[J]. Journal of Radars, 2025, 14(4): 797–808. doi: 10.12000/JR25018
Citation: YUAN Weijie, WU Jun, and SHI Yuye. Multi-UAV collaborative covert communications: An ISAC-based approach[J]. Journal of Radars, 2025, 14(4): 797–808. doi: 10.12000/JR25018

基于多无人机协作通感一体化的隐蔽通信设计

DOI: 10.12000/JR25018 CSTR: 32380.14.JR25018
基金项目: 国家自然科学基金(62471208)
详细信息
    作者简介:

    袁伟杰,博士,助理教授(副研究员),博士生导师,主要研究方向为通感一体化、车联网、低空无线网络通信、OTFS调制等

    伍 军,博士生,主要研究方向为通感一体化、无人机通信

    时玉叶,硕士生,主要研究方向为OTFS、通信感知一体化

    通讯作者:

    袁伟杰 yuanwj@sustech.edu.cn

    责任主编:杨在 Corresponding Editor: YANG Zai

  • 中图分类号: TN958

Multi-UAV Collaborative Covert Communications: An ISAC-based Approach

Funds: The National Natural Science Foundation of China (62471208)
More Information
  • 摘要: 无人机隐蔽通信在实现可持续低空经济方面引起了相当大的关注。该文基于通感一体化(ISAC)框架,研究了多无人机协作隐蔽通信网络的系统策略和资源分配,其中多个无人机进行协作感知并在移动监管者(Willie)存在的情况下同时向多个地面用户(GUs)隐蔽传输下行信息。为了提高通信隐蔽性,无人机在干扰无人机(JUAV)模式和信息无人机(IUAV)模式之间自适应切换。为了应对Willie的移动性,采用基于无迹卡尔曼滤波的方法,利用从ISAC回波中提取的时延和多普勒频移来预测和跟踪Willie的位置。通过联合优化JUAV选择策略、IUAV-GU调度、通信/干扰功率分配,该文提出了一个实时公平性传输最大化问题。采用交替优化方法,将原始问题分解为一系列子问题,从而获得有效的次优解。仿真结果表明,所提出的方案能够准确跟踪Willie并有效保证下行隐蔽传输。

     

  • 图  1  多无人机协作通感一体化的隐蔽通信场景

    Figure  1.  Multi-UAV collaborative ISAC-based covert communications

    图  2  系统配置示意图及Willie轨迹跟踪性能

    Figure  2.  System configuration and Willie trajectory tracking performance

    图  3  EKF和UKF跟踪性能比较

    Figure  3.  Tacking performance comparison between EKF and UKF

    图  4  所提算法的收敛性

    Figure  4.  Convergence behavior of our proposed algorithm

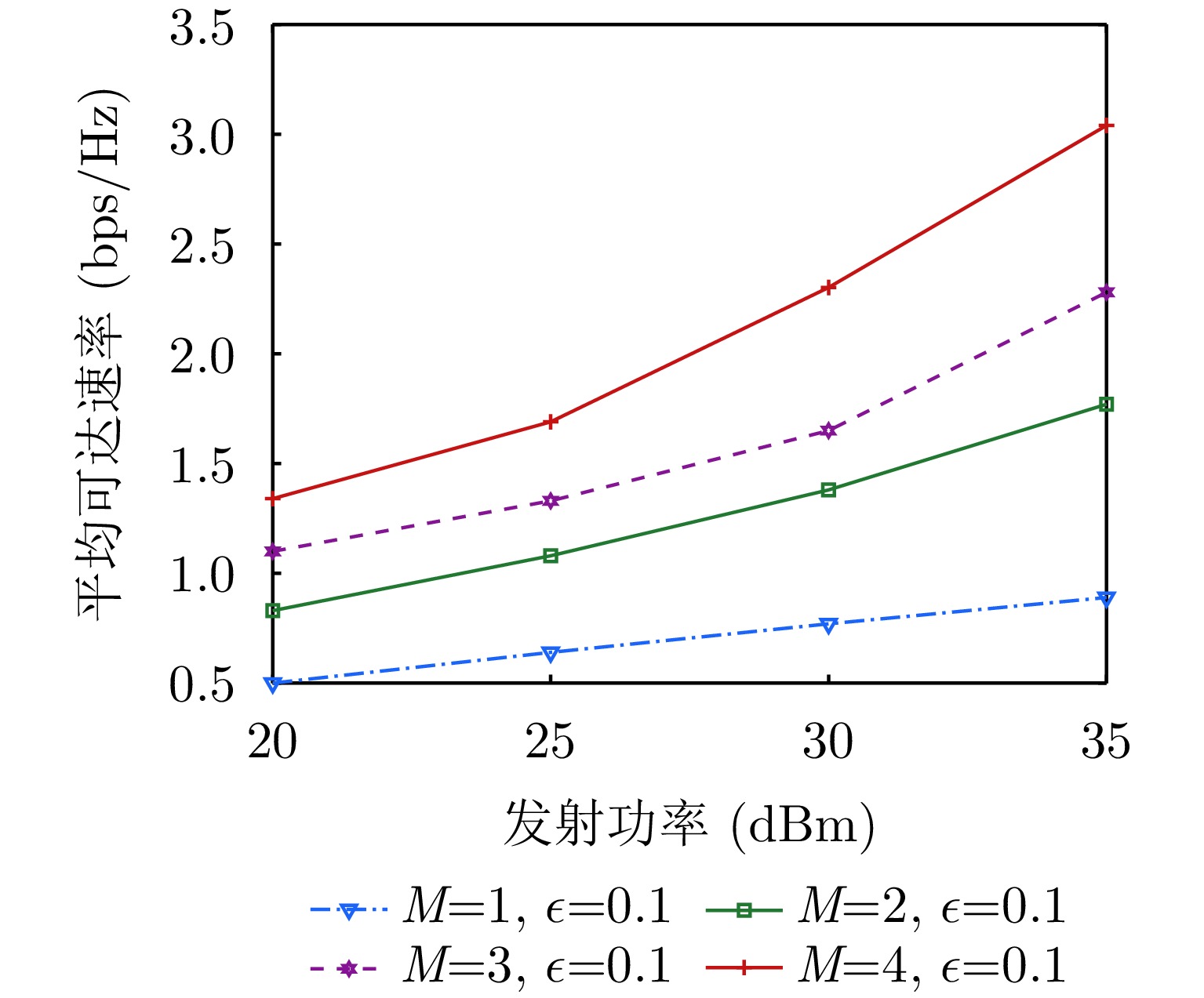
    图  5  无人机数量对系统性能的影响

    Figure  5.  Effect of UAV numbers on system performance

    图  6  系统平均总可达速率的累积分布函数

    Figure  6.  The CDF of the average achieved capacity

    图  7  不同隐蔽性阈值$\epsilon $对于系统性能影响

    Figure  7.  The average achieved capacity with various $\epsilon $

    图  8  不同隐蔽性阈值$\epsilon $和发射功率下系统吞吐量

    Figure  8.  System throughput at different $\epsilon $ and transmit powers

    图  9  系统公平性比较

    Figure  9.  Fairness comparison with sum-rate-maximization scheme

    1  多无人机联合干扰策略优化算法

    1.   Jamming strategy optimization algorithm

     输入:迭代索引${r_1} = 0$, ${r_{1,\max }}$, ${\kappa _{\max }}$和可行点
     $ \left\{ {{\mathcal{B}^0},{\mathcal{P}^0},{{\tilde {\mathcal{P}}}}^0},{\mu ^0} \right\} $
     输出:$\left\{ {{\mathcal{B}^*},{\mathcal{P}^{J,*}},{{\tilde {\mathcal{P}}}^{J,*}},{\mu ^*}} \right\}$
     1.给定$\left\{ {{\mathcal{B}^{{r_1}}},{\mathcal{P}^{J,{r_1}}},{{\tilde {\mathcal{P}}}^{J,{r_1}}},{\mu ^{{r_1}}}} \right\}$,求解(P1-1),并将解表示
     为$\left\{ {{\mathcal{B}^*},{\mathcal{P}^{J,*}},{{\tilde {\mathcal{P}}}^{J,*}},{\mu ^*}} \right\}$
     2.令$\left\{ {{\mathcal{B}^{{r_1}}},{\mathcal{P}^{J,{r_1}}},{{\tilde {\mathcal{P}}}^{J,{r_1}}},{\mu ^{{r_1}}}} \right\} = \left\{ {{\mathcal{B}^*},{\mathcal{P}^{J,*}},{{\tilde {\mathcal{P}}}^{J,*}},{\mu ^*}} \right\}$
     3.更新 ${\kappa ^{{r_1} + 1}} = \min \{ {a_0}{\kappa ^{{r_1}}},{\kappa _{\max }}\} $
     4.更新 ${r_1} = {r_1} + 1$
     5.重复上述步骤直到收敛
    下载: 导出CSV

    2  多无人机隐蔽通信总体设计算法

    2.   Overall algorithm of multi-UAV-based covert communications

     输入:$n = 2,$$\ell = 0,{{\boldsymbol{\hat x}}_{\rm w}}[1],{{\hat {\boldsymbol C}}}[1]$,最大迭代次数为${\ell _{\max }}$和
     $\left\{ {{\mathcal{A}^0},{\mathcal{P}^{I,0}}} \right\}$
     输出:$\left\{ {\mathcal{A},{\mathcal{P}^I},\mathcal{B},{\mathcal{P}^\mathcal{J}}} \right\}$
     1. 计算预测值${{\boldsymbol{\hat x}}_{\rm w}}[n\mid n - 1]$和${{\hat {\boldsymbol C}}}[n\mid n - 1]$
     2. 解问题(P1-1)来确定干扰策略$\left\{ {{\mathcal{B}^{\ell + 1}},{\mathcal{P}^{\mathcal{J},\ell + 1}}} \right\}$
     3. 基于$\left\{ {{\mathcal{B}^{\ell + 1}},{\mathcal{P}^{\mathcal{J},\ell + 1}}} \right\}$,解(P2-1)和(P3-1)确定
     $\left\{ {{\mathcal{A}^{\ell + 1}},{\mathcal{P}^{I,\ell + 1}}} \right\}$
     4. 更新$\ell = \ell + 1$并重复步骤2、步骤3,直到收敛或者$\ell \ge {\ell _{{\text{max }}}}$
     5. 更新$n = n + 1$,并重复上述步骤,直到$n > N$
    下载: 导出CSV
  • [1] JIANG Yihang, LI Xiaoyang, ZHU Guangxu, et al. 6G non-terrestrial networks enabled low-altitude economy: Opportunities and challenges[EB/OL]. https://arxiv.org/abs/2311.09047, 2024.
    [2] MOTLAGH N H, TALEB T, and AROUK O. Low-altitude unmanned aerial vehicles-based internet of things services: Comprehensive survey and future perspectives[J]. IEEE Internet of Things Journal, 2016, 3(6): 899–922. doi: 10.1109/JIOT.2016.2612119.
    [3] ZHANG Ruizhi, ZHANG Ying, TANG Rui, et al. A joint UAV trajectory, user association, and beamforming design strategy for multi-UAV-assisted ISAC systems[J]. IEEE Internet of Things Journal, 2024, 11(18): 29360–29374. doi: 10.1109/JIOT.2024.3430390.
    [4] CAI Yuanxin, WEI Zhiqiang, LI Ruide, et al. Joint trajectory and resource allocation design for energy-efficient secure UAV communication systems[J]. IEEE Transactions on Communications, 2020, 68(7): 4536–4553. doi: 10.1109/TCOMM.2020.2982152.
    [5] WU Jun, YUAN Weijie, and BAI Lin. Multi-UAV enabled sensing: Cramér-Rao bound optimization[C]. 2023 IEEE International Conference on Communications Workshops, Rome, Italy, 2023: 925–930. doi: 10.1109/ICCWorkshops57953.2023.10283770.
    [6] WEI Zhiqiang, LIU Fan, LIU Chang, et al. Integrated sensing, navigation, and communication for secure UAV networks with a mobile eavesdropper[J]. IEEE Transactions on Wireless Communications, 2024, 23(7): 7060–7078. doi: 10.1109/TWC.2023.3337148.
    [7] WU Jun, YUAN Weijie, and HANZO L. When UAVs meet ISAC: Real-time trajectory design for secure communications[J]. IEEE Transactions on Vehicular Technology, 2023, 72(12): 16766–16771. doi: 10.1109/TVT.2023.3290033.
    [8] CHEN Xinying, AN Jianping, XIONG Zehui, et al. Covert communications: A comprehensive survey[J]. IEEE Communications Surveys & Tutorials, 2023, 25(2): 1173–1198. doi: 10.1109/COMST.2023.3263921.
    [9] 白恒志, 王海超, 李国鑫, 等. 无人机隐蔽通信网络研究综述[J]. 电信科学, 2023, 39(8): 1–16. doi: 10.11959/j.issn.1000-0801.2023162.

    BAI Hengzhi, WANG Haichao, LI Guoxin, et al. Review on unmanned aerial vehicle covert communication network[J]. Telecommunications Science, 2023, 39(8): 1–16. doi: 10.11959/j.issn.1000-0801.2023162.
    [10] BASH B A, GOECKEL D, and TOWSLEY D. Limits of reliable communication with low probability of detection on AWGN channels[J]. IEEE Journal on Selected Areas in Communications, 2013, 31(9): 1921–1930. doi: 10.1109/JSAC.2013.130923.
    [11] JIANG Xu, CHEN Xinying, TANG Jie, et al. Covert communication in UAV-assisted air-ground networks[J]. IEEE Wireless Communications, 2021, 28(4): 190–197. doi: 10.1109/MWC.001.2000454.
    [12] HE Biao, YAN Shihao, ZHOU Xiangyun, et al. On covert communication with noise uncertainty[J]. IEEE Communications Letters, 2017, 21(4): 941–944. doi: 10.1109/LCOMM.2016.2647716.
    [13] CHEN Xinying, ZHANG Ning, TANG Jie, et al. UAV-aided covert communication with a multi-antenna jammer[J]. IEEE Transactions on Vehicular Technology, 2021, 70(11): 11619–11631. doi: 10.1109/TVT.2021.3112121.
    [14] ZHENG Tongxing, YANG Ziteng, WANG Chao, et al. Wireless covert communications aided by distributed cooperative jamming over slow fading channels[J]. IEEE Transactions on Wireless Communications, 2021, 20(11): 7026–7039. doi: 10.1109/TWC.2021.3080382.
    [15] HE Rongrong, CHEN Jin, LI Guoxin, et al. Channel-aware jammer selection and power control in covert communication[J]. IEEE Transactions on Vehicular Technology, 2024, 73(2): 2266–2279. doi: 10.1109/TVT.2023.3317638.
    [16] WANG Huiming, ZHANG Yan, ZHANG Xu, et al. Secrecy and covert communications against UAV surveillance via multi-hop networks[J]. IEEE Transactions on Communications, 2020, 68(1): 389–401. doi: 10.1109/TCOMM.2019.2950940.
    [17] WANG Chao, LI Zan, and NG D W K. Covert rate optimization of millimeter wave full-duplex communications[J]. IEEE Transactions on Wireless Communications, 2022, 21(5): 2844–2861. doi: 10.1109/TWC.2021.3116106.
    [18] 刘学敏, 钱玉文, 宋耀良, 等. 一种基于无人机与智能反射面的隐蔽通信系统研究[J]. 电子与信息学报, 2025, 47(2): 386–396. doi: 10.11999/JEIT240663.

    LIU Xuemin, QIAN Yuwen, SONG Yaoliang, et al. An intelligent reflecting surface assisted covert communication system with a cooperative unmanned aerial vehicle[J]. Journal of Electronics & Information Technology, 2025, 47(2): 386–396. doi: 10.11999/JEIT240663.
    [19] WU Jun, YUAN Weijie, WEI Zhiqiang, et al. Optimal BER minimum precoder design for OTFS-Based ISAC systems[C]. 2024 IEEE International Conference on Acoustics, Speech and Signal Processing, Seoul, Korea, Republic of, 2024: 12966–12970. doi: 10.1109/ICASSP48485.2024.10446140.
    [20] ZHANG Xiaoqi, YUAN Weijie, LIU Chang, et al. Predictive beamforming for vehicles with complex behaviors in ISAC systems: A deep learning approach[J]. IEEE Journal of Selected Topics in Signal Processing, 2024, 18(5): 828–841. doi: 10.1109/JSTSP.2024.3405856.
    [21] LIU Yulin, SHI Yuye, ZHANG Xiaoqi, et al. Reinforcement learning-based car-following control for autonomous vehicles with OTFS[C]. 2024 IEEE Wireless Communications and Networking Conference, Dubai, United Arab Emirates, 2024: 1–6. doi: 10.1109/WCNC57260.2024.10570722.
    [22] LU Shihang, LIU Fan, LI Yunxin, et al. Integrated sensing and communications: Recent advances and ten open challenges[J]. IEEE Internet of Things Journal, 2024, 11(11): 19094–19120. doi: 10.1109/JIOT.2024.3361173.
    [23] WU Jun, YUAN Weijie, WEI Zhiqiang, et al. Low-complexity minimum BER precoder design for ISAC systems: A delay-Doppler perspective[J]. IEEE Transactions on Wireless Communications, 2025, 24(2): 1526–1540. doi: 10.1109/TWC.2024.3509973.
    [24] 杨小鹏, 马忠杰, 钟世超, 等. 基于遗传算法的无人机载穿墙三维SAR航迹规划方法[J]. 雷达学报(中英文), 2024, 13(4): 731–746. doi: 10.12000/JR24068.

    YANG Xiaopeng, MA Zhongjie, ZHONG Shichao, et al. Trajectory planning method for UAV-through-the-wall 3D SAR based on a genetic algorithm[J]. Journal of Radars, 2024, 13(4): 731–746. doi: 10.12000/JR24068.
    [25] WU Jun, YUAN Weijie, and BAI Lin. On the interplay between sensing and communications for UAV trajectory design[J]. IEEE Internet of Things Journal, 2023, 10(23): 20383–20395. doi: 10.1109/JIOT.2023.3287991.
    [26] WANG Xinyi, FEI Zesong, LIU Peng, et al. Sensing-aided covert communications: Turning interference into allies[J]. IEEE Transactions on Wireless Communications, 2024, 23(9): 10726–10739. doi: 10.1109/TWC.2024.3374775.
    [27] XIONG Kaiqi, ZHANG H Y, and CHAN C W. Performance evaluation of UKF-based nonlinear filtering[J]. Automatica, 2006, 42(2): 261–270. doi: 10.1016/j.automatica.2005.10.004.
    [28] LI Ruide, WEI Zhiqiang, YANG Lei, et al. Resource allocation for secure multi-UAV communication systems with multi-eavesdropper[J]. IEEE Transactions on Communications, 2020, 68(7): 4490–4506. doi: 10.1109/TCOMM.2020.2983040.
    [29] CHENG Gaoyuan, FANG Yuan, XU Jie, et al. Optimal coordinated transmit beamforming for networked integrated sensing and communications[J]. IEEE Transactions on Wireless Communications, 2024, 23(8): 8200–8214. doi: 10.1109/TWC.2023.3346457.
    [30] CHEN Xinying, SHENG Min, ZHAO Nan, et al. UAV-relayed covert communication towards a flying warden[J]. IEEE Transactions on Communications, 2021, 69(11): 7659–7672. doi: 10.1109/TCOMM.2021.3106354.
  • 加载中
图(9) / 表(2)
计量
  • 文章访问数: 
  • HTML全文浏览量: 
  • PDF下载量: 
  • 被引次数: 0
出版历程
  • 收稿日期:  2025-01-22
  • 修回日期:  2025-04-02
  • 网络出版日期:  2025-04-30
  • 刊出日期:  2025-08-28

目录

    /

    返回文章
    返回