基于时域编码超表面脉内-脉间编码优化的雷达干扰方法

许恒 许红 全英汇 潘秦 沙明辉 陈珲 程强 周小阳

许恒, 许红, 全英汇, 等. 基于时域编码超表面脉内-脉间编码优化的雷达干扰方法[J]. 雷达学报(中英文), 2024, 13(1): 215–226. doi: 10.12000/JR23186
引用本文: 许恒, 许红, 全英汇, 等. 基于时域编码超表面脉内-脉间编码优化的雷达干扰方法[J]. 雷达学报(中英文), 2024, 13(1): 215–226. doi: 10.12000/JR23186
XU Heng, XU Hong, QUAN Yinghui, et al. A radar jamming method based on time domain coding metasurface intrapulse and interpulse coding optimization[J]. Journal of Radars, 2024, 13(1): 215–226. doi: 10.12000/JR23186
Citation: XU Heng, XU Hong, QUAN Yinghui, et al. A radar jamming method based on time domain coding metasurface intrapulse and interpulse coding optimization[J]. Journal of Radars, 2024, 13(1): 215–226. doi: 10.12000/JR23186

基于时域编码超表面脉内-脉间编码优化的雷达干扰方法

DOI: 10.12000/JR23186 CSTR: 32380.14.JR23186
基金项目: 国家自然科学基金重点项目(62331019),陕西省杰出青年科学基金(2021JC-23),陕西省科技创新团队(2019TD-002)
详细信息
    作者简介:

    许 恒,博士生,主要研究方向为雷达波形设计

    许 红,博士,副教授,主要研究方向为雷达目标探测

    全英汇,博士,教授,主要研究方向为智能感知和敏捷雷达

    潘 秦,博士生,主要研究方向为雷达波形设计

    沙明辉,博士,研究员,主要研究方向为雷达系统设计和雷达电子对抗

    陈 珲,博士,副教授,主要研究方向为复杂环境电磁建模

    程 强,博士,教授,主要研究方向为超材料设计理论及其应用

    周小阳,博士,教授,主要研究方向为超大规模复杂电磁仿真计算

    通讯作者:

    全英汇 yhquan@mail.xidian.edu.cn

  • 责任主编:刘泉华 Corresponding Editor: LIU Quanhua
  • 中图分类号: TN957

A Radar Jamming Method Based on Time Domain Coding Metasurface Intrapulse and Interpulse Coding Optimization

Funds: The Key Program of the National Natural Science Foundation of China (62331019), The Shaanxi Provincial Science Fund for Distinguished Young Scholars (2021JC-23), The Science and Technology Innovation Team of Shaanxi Province (2019TD-002)
More Information
  • 摘要: 时域编码超表面是一项可以对电磁波进行时变调制的新技术,针对该技术的调控特性,该文提出了一种基于时域编码超表面脉内-脉间编码优化的雷达干扰方法。首先分别在快时间域和慢时间域建立优化模型,通过优化脉内-脉间相位编码,实现目标能量的搬移,形成距离-多普勒二维图上的欺骗干扰。然后通过遗传算法对该离散优化模型进行求解。另外,该文从超表面编码策略的角度分析了多种调控因素对干扰效果的影响,为实现欺骗干扰的最佳策略提供指导。

     

  • 图  1  雷达与时域超表面交互示意图

    Figure  1.  Schematic diagram of radar interaction with time domain metasurface

    图  2  超表面2比特相位编码调制示意图

    Figure  2.  Schematic diagram of metasurface 2 bit phase coding modulation

    图  3  超表面调制的LFM回波时频图示意图

    Figure  3.  Time-frequency diagram of LFM echo with metasurface modulation

    图  4  相位编码优化求解流程图

    Figure  4.  Flow chart of phase coding optimization solution

    图  5  快时间域相位编码优化欺骗干扰

    Figure  5.  Phase coding optimization of deception jamming in fast time domain

    图  6  慢时间域相位编码优化欺骗干扰

    Figure  6.  Phase coding optimization of deception jamming in slow time domain

    图  7  未调制回波与联合编码调制回波距离-多普勒图

    Figure  7.  Range-Doppler diagram of unmodulated echo and jointly coding modulated echo

    图  8  针对相位编码波形的快时间域相位编码优化欺骗干扰

    Figure  8.  Phase coding optimization of deception jamming in fast time domain for phase coded waveform

    图  9  基于相位编码波形的未调制回波与联合编码调制回波距离-多普勒图

    Figure  9.  Range-Doppler diagram of unmodulated echo and jointly coding modulated echo based on phase coded waveform

    图  10  基于二维全局优化编码调制回波距离-多普勒图

    Figure  10.  Range-Doppler diagram of coded modulation waveform based on two-dimensional global optimization

    图  11  模型迭代耗时对比图

    Figure  11.  Comparison of model iteration time

    图  12  模型收敛曲线对比图

    Figure  12.  Comparison of model convergence curves

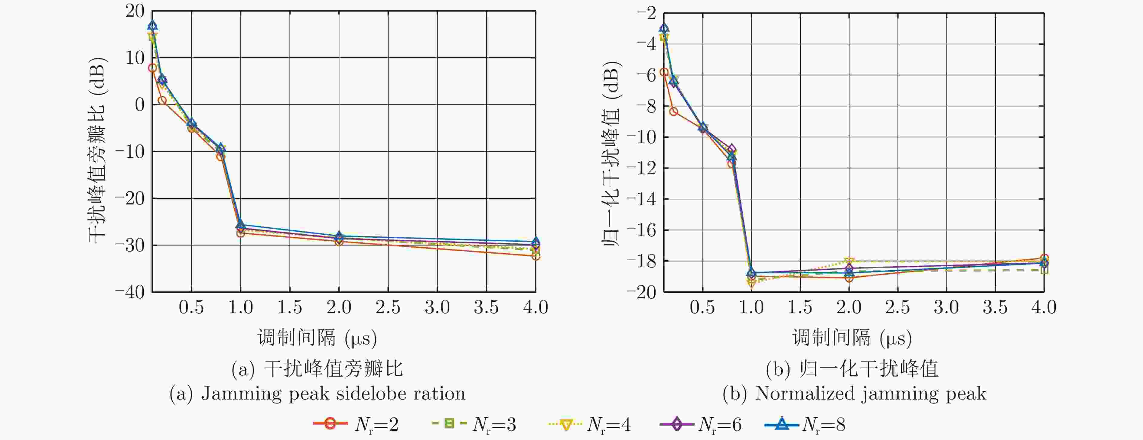
    图  13  快时间域编码调制不同调制间隔、相位调控裕度对比分析

    Figure  13.  Comparative analysis of different modulation intervals and phase control margin in fast time domain coding modulation

    图  14  快时间域编码调制不同干扰距离、相位调控裕度对比分析

    Figure  14.  Comparative analysis of different jamming position and phase control margin in fast time domain coding modulation

    表  1  雷达波形参数设置

    Table  1.   The parameter setting of radar waveform

    参数 数值
    脉冲数N 64
    脉冲脉宽${T_{\rm p}}$ 20 μs
    脉冲带宽B 10 MHz
    脉冲重复周期${T_{\mathrm{r}}}$ 100 μs
    中心载频$ {f_0} $ 10 GHz
    采样率${f_{\mathrm{s}}}$ 20 MHz
    下载: 导出CSV

    表  2  优化模型求解算法参数设置

    Table  2.   The parameter setting of the optimization model solution algorithm

    参数 数值
    种群大小${P_{\mathrm{s}}}$ 100
    迭代次数${G_{\mathrm{s}}}$ 20000
    交叉概率${C_{\mathrm{r}}}$ 0.6
    变异概率${M_{\mathrm{r}}}$ 0.1
    下载: 导出CSV
  • [1] 刘智星, 杜思予, 吴耀君, 等. 脉间-脉内捷变频雷达抗间歇采样干扰方法[J]. 雷达学报, 2022, 11(2): 301–312. doi: 10.12000/JR22001.

    LIU Zhixing, DU Siyu, WU Yaojun, et al. Anti-interrupted sampling repeater jamming method for interpulse and intrapulse frequency-agile radar[J]. Journal of Radars, 2022, 11(2): 301–212. doi: 10.12000/JR22001.
    [2] 全英汇, 方文, 沙明辉, 等. 频率捷变雷达波形对抗技术现状与展望[J]. 系统工程与电子技术, 2021, 43(11): 3126–3136. doi: 10.12305/j.issn.1001-506X.2021.11.11.

    QUAN Yinghui, FANG Wen, SHA Minghui, et al. Present situation and prospects of frequency agility radar wave form countermeasures[J]. Systems Engineering and Electronics, 2021, 43(11): 3126–3136. doi: 10.12305/j.issn.1001-506X.2021.11.11.
    [3] 程强, 戴俊彦, 柯俊臣, 等. 智能超表面在波束及信息调控中的应用[J]. 电信科学, 2021, 37(9): 30–37. doi: 10.11959/j.issn.1000-0801.2021226.

    CHENG Qiang, DAI Junyan, KE Junchen, et al. Application of reconfigurable intelligent surface in beamforming and information modulation[J]. Telecommunications Science, 2021, 37(9): 30–37. doi: 10.11959/j.issn.1000-0801.2021226.
    [4] 王羚. 基于超表面的宽带可重构电磁调控理论与应用研究[D]. [博士论文], 北京邮电大学, 2021.

    WANG Ling. Research on broadband and reconfigurable electromagnetic manipulation theory and their applications based on metasurfaces[D]. [Ph.D. dissertation], Beijing University of Posts and Telecommunications, 2021.
    [5] 张然. 相位调制表面的特性及其雷达效应研究[D]. [硕士论文], 国防科技大学, 2016.

    ZHANG Ran. Research on the properties and radar effect of phase switched screen[D]. [Master dissertation], National University of Defense Technology, 2016.
    [6] CHENG Qiang, ZHANG Lei, DAI Junyan, et al. Reconfigurable intelligent surfaces: Simplified-architecture transmitters—from theory to implementations[J]. Proceedings of the IEEE, 2022, 110(9): 1266–1289. doi: 10.1109/JPROC.2022.3170498.
    [7] DAI Junyan, TANG Wankai, ZHAO Jie, et al. Wireless communications through a simplified architecture based on time-domain digital coding metasurface[J]. Advanced Materials Technologies, 2019, 4(7): 1900044. doi: 10.1002/admt.201900044.
    [8] DAI Junyan, ZHAO Jie, CHENG Qiang, et al. Independent control of harmonic amplitudes and phases via a time-domain digital coding metasurface[J]. Light: Science & Applications, 2018, 7(1): 90. doi: 10.1038/s41377-018-0092-z.
    [9] WANG Siran, CHEN Mingzheng, KE Junchen, et al. Asynchronous space-time-coding digital metasurface[J]. Advanced Science, 2022, 9(24): 2200106. doi: 10.1002/advs.202200106.
    [10] ZHANG Lei, CHEN Xiaoqing, LIU Shuo, et al. Space-time-coding digital metasurfaces[J]. Nature Communications, 2018, 9(1): 4334. doi: 10.1038/s41467-018-06802-0.
    [11] CUI Tiejun, QI Mingqing, WAN Xiang, et al. Coding metamaterials, digital metamaterials and programmable metamaterials[J]. Light: Science & Applications, 2014, 3(10): e218. doi: 10.1038/lsa.2014.99.
    [12] 戴俊彦. 时域超表面理论研究与应用[D]. [博士论文], 东南大学, 2021.

    DAI Junyan. Research and application of time-domain metasurface[D]. [Ph.D. dissertation], Southeast University, 2021.
    [13] LI Shiyuan, WANG Jianyang, FANG Xinyu, et al. Jamming of ISAR imaging with time-modulated metasurface partially covered on targets[J]. IEEE Antennas and Wireless Propagation Letters, 2023, 22(2): 372–376. doi: 10.1109/LAWP.2022.3212923.
    [14] XU Heng, QUAN Yinghui, ZHOU Xiaoyang, et al. A novel approach for radar passive jamming based on multiphase coding rapid modulation[J]. IEEE Transactions on Geoscience and Remote Sensing, 2023, 61: 5101614. doi: 10.1109/TGRS.2023.3243411.
    [15] KE Junchen, DAI Junyan, ZHANG Junwei, et al. Frequency-modulated continuous waves controlled by space-time-coding metasurface with nonlinearly periodic phases[J]. Light: Science & Applications, 2022, 11(1): 273. doi: 10.1038/s41377-022-00973-8.
    [16] LIU Mingkai, KOZYREV A B, and SHADRIVOV I V. Time-varying metasurfaces for broadband spectral camouflage[J]. Physical Review Applied, 2019, 12(5): 054052. doi: 10.1103/PhysRevApplied.12.054052.
    [17] WANG Xiaoyi and CALOZ C. Spread-spectrum selective camouflaging based on time-modulated metasurface[J]. IEEE Transactions on Antennas and Propagation, 2021, 69(1): 286–295. doi: 10.1109/TAP.2020.3008621.
    [18] KOZLOV V, VOVCHUK D, and GINZBURG P. Broadband radar invisibility with time-dependent metasurfaces[J]. Scientific Reports, 2021, 11(1): 14187. doi: 10.1038/s41598-021-93600-2.
    [19] FENG Dejun, XU Letao, PAN Xiaoyi, et al. Jamming wideband radar using interrupted-sampling repeater[J]. IEEE Transactions on Aerospace and Electronic Systems, 2017, 53(3): 1341–1354. doi: 10.1109/TAES.2017.2670958.
    [20] SHI Qingzhan, YANG Zhiyuan, WANG Chao, et al. Fast generation of ISAR deceptive jamming signal based on phase modulation[C]. 2019 International Conference on Microwave and Millimeter Wave Technology, Guangzhou, China, 2019: 1–3. doi: 10.1109/ICMMT45702.2019.8992401.
  • 加载中
图(14) / 表(2)
计量
  • 文章访问数: 
  • HTML全文浏览量: 
  • PDF下载量: 
  • 被引次数: 0
出版历程
  • 收稿日期:  2023-10-04
  • 修回日期:  2023-12-10
  • 网络出版日期:  2024-01-08
  • 刊出日期:  2024-02-28

目录

    /

    返回文章
    返回