认知智能雷达抗干扰技术综述与展望

崔国龙 余显祥 魏文强 熊奎 孔昱凯 孔令讲

崔国龙, 余显祥, 魏文强, 等. 认知智能雷达抗干扰技术综述与展望[J]. 雷达学报, 2022, 11(6): 974–1002. doi: 10.12000/JR22191
引用本文: 崔国龙, 余显祥, 魏文强, 等. 认知智能雷达抗干扰技术综述与展望[J]. 雷达学报, 2022, 11(6): 974–1002. doi: 10.12000/JR22191
CUI Guolong, YU Xianxiang, WEI Wenqiang, et al. An overview of antijamming methods and future works on cognitive intelligent radar[J]. Journal of Radars, 2022, 11(6): 974–1002. doi: 10.12000/JR22191
Citation: CUI Guolong, YU Xianxiang, WEI Wenqiang, et al. An overview of antijamming methods and future works on cognitive intelligent radar[J]. Journal of Radars, 2022, 11(6): 974–1002. doi: 10.12000/JR22191

认知智能雷达抗干扰技术综述与展望

DOI: 10.12000/JR22191 CSTR: 32380.14.JR22191
基金项目: 国家自然科学基金(U19B2017, 62101097, 62271126),长江学者基金,中国博士后科学基金(2020M680147, 2021T140096)
详细信息
    作者简介:

    崔国龙,教授,博士生导师,研究方向为最优化理论和算法、雷达目标检测理论、波形多样性以及阵列信号处理等

    余显祥,博士后,研究方向为雷达波形设计与处理、最优化理论算法以及阵列信号处理等

    魏文强,博士生,研究方向为阵列信号处理、最优化理论和算法以及波束赋形等

    熊 奎,博士生,研究方向为多雷达智能协同探测、多智能体学习以及自适应信号处理等

    孔昱凯,博士生,研究方向为雷达杂波抑制、干扰智能认知、雷达抗干扰波形设计等

    孔令讲,教授,博士生导师,研究方向为新体制雷达、统计信号处理、优化理论和算法、雷达信号处理、非合作信号处理技术和自适应阵列信号处理等

    通讯作者:

    崔国龙 cuiguolong@uestc.edu.cn

  • 责任主编:全英汇 Corresponding Editor: QUAN Yinghui
  • 中图分类号: TN958

An Overview of Antijamming Methods and Future Works on Cognitive Intelligent Radar

Funds: The National Natural Science Foundation of China (U19B2017, 62101097, 62271126), The Chang Jiang Scholars Program, Postdoctoral Science Foundation under Grants (2020M680147, 2021T140096)
More Information
  • 摘要: 随着电磁频谱成为现代战争的关键作战域之一,在未来军事作战中,现代雷达将面临日益复杂、灵巧和智能的电磁干扰环境。认知智能雷达具备环境主动感知、任意发射和接收设计、智能处理和资源调度等能力,可适应复杂多变的战场电磁对抗环境,是雷达技术领域重点发展的方向之一。该文将认知智能雷达从结构上分解为认知发射、认知接收、智能处理以及智能控制等4大功能模块,梳理出干扰感知、发射设计、接收设计、信号处理和资源调度等认知智能雷达每个环节的抗干扰原理,并对近几年代表性文献进行归纳总结,分析了该领域技术发展趋势,旨在为以后的技术研究提供必要的参考和依据。

     

  • 图  1  认知智能雷达抗干扰技术架构示意图

    Figure  1.  Schematic diagram of cognitive radar system

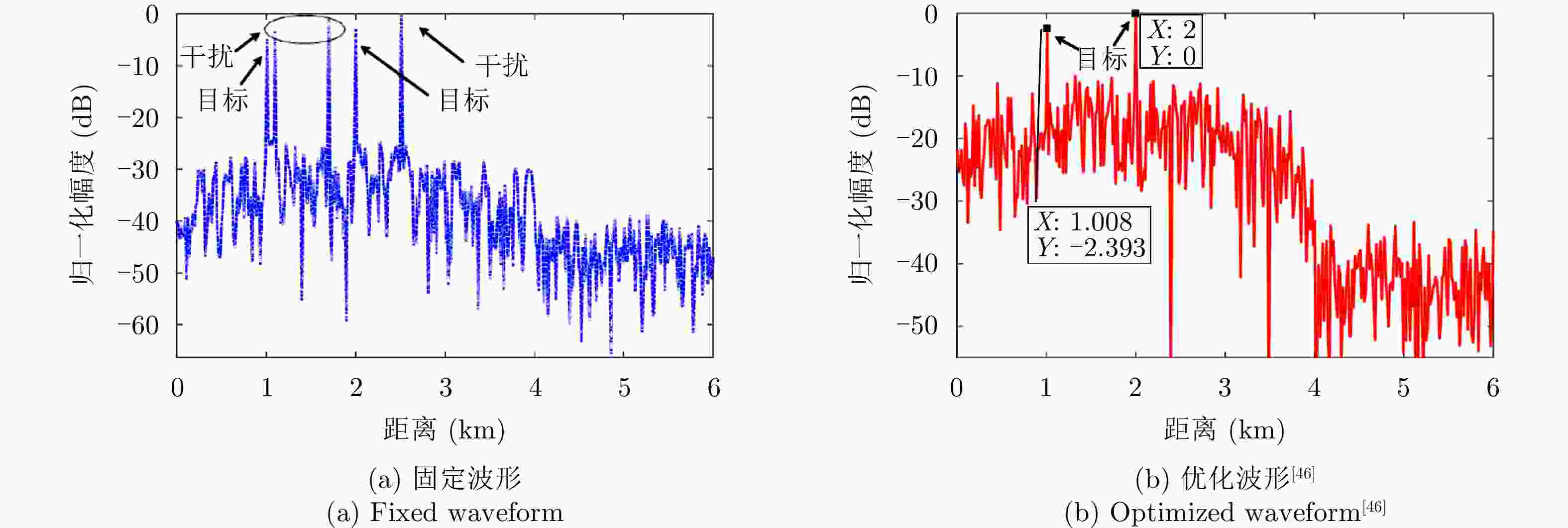
    图  2  脉间初始相位优化波形抗干扰结果

    Figure  2.  Anti-jamming results of initial phase optimized waveform between pulses

    图  3  脉间相位捷变优化波形抗干扰结果

    Figure  3.  Anti-jamming results of the optimized waveform with interpulse phase agility

    图  4  不同场景下抗干扰效果[40]

    Figure  4.  The effect of anti-jamming in different scenarios[40]

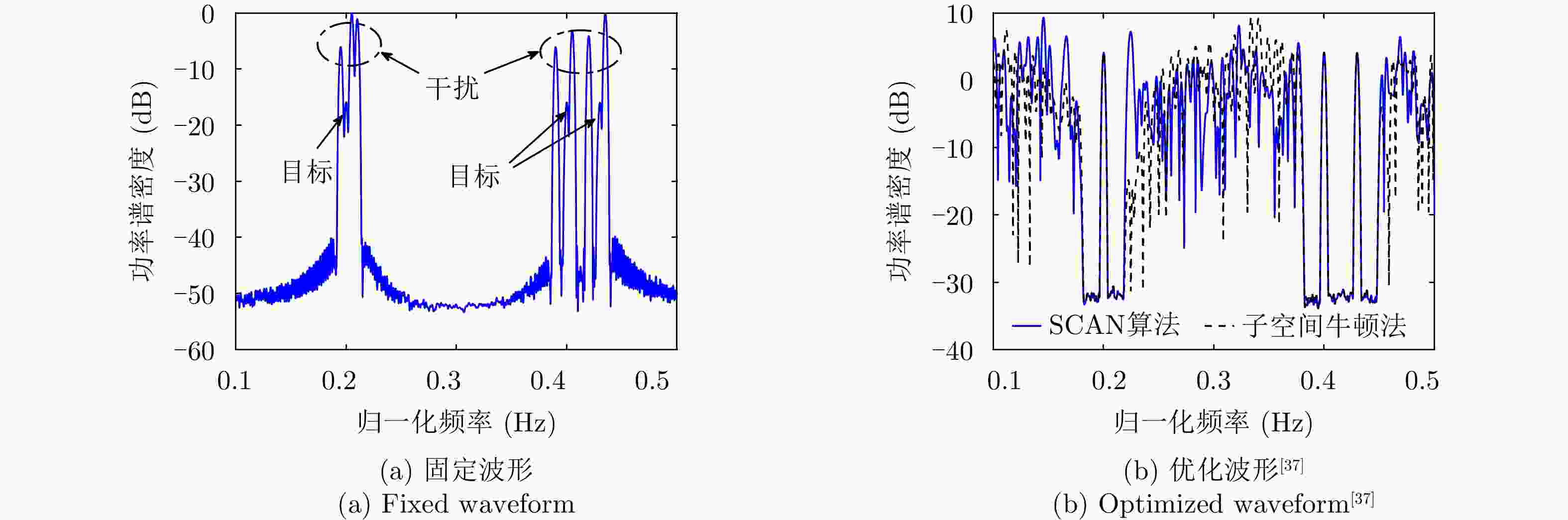
    图  5  多目标多距离欺骗干扰抗干扰结果

    Figure  5.  Anti-multi-distance spoofing jamming results in multi-target scenarios

    图  6  密集复制假目标干扰下单目标探测结果

    Figure  6.  Anti-dense replication false target jamming results in single target scenario

    图  7  重复间歇采样干扰抑制距离-多普勒平面图[53]

    Figure  7.  The range-Doppler graph of jamming suppression for repetitive repeater interference scenario[53]

    图  8  部分脉冲转发干扰抑制效果图[53]

    Figure  8.  The results of jamming suppression for partial pulse repeater interference scenario[53]

    图  9  直接间歇采样干扰抑制效果图[53]

    Figure  9.  The results of jamming suppression for direct repeater interference scenario[53]

    图  10  基于ADMM框架的旁瓣控制波束图设计[72]

    Figure  10.  Beampattern synthesis with sidelobe level control via ADMM framework[72]

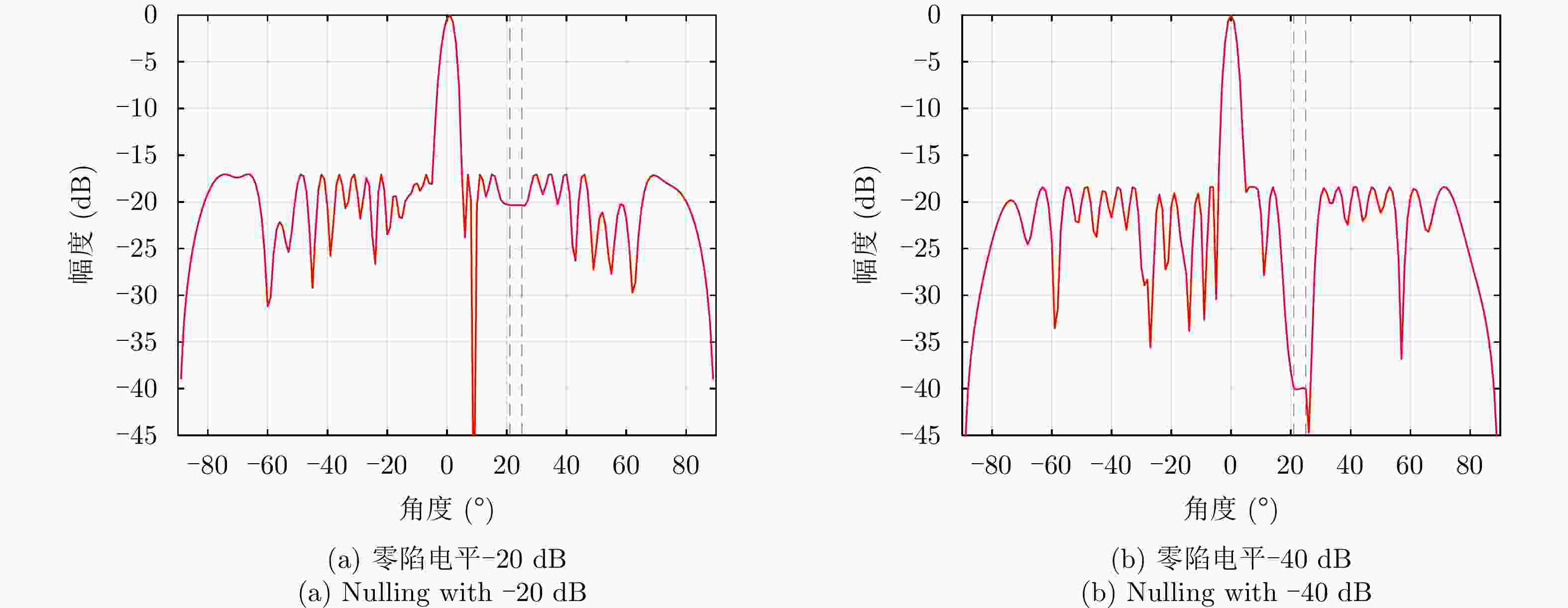
    图  11  基于FOICA算法的零陷方向图[95]

    Figure  11.  Beampattern synthesis with nulling via FOICA[95]

    图  12  雷达对抗效能常用指标

    Figure  12.  Commonly used effectiveness indexes for radar countermeasure

    表  1  基于试验、仿真和解析计算的效能评估方法对比

    Table  1.   Performance evaluation methods based on experiment, simulation, and analytical computation

    评估方法实现方式优点缺点
    试验法外场试验实时性好,数据可靠,结果可信成本高,灵活性差
    仿真法计算机实时仿真成本低,适应性好,可近似得到外场试验效果数据可靠性和结果可信度次于试验法
    解析计算法通过数学分析指标之间的关系,建立评估模型,
    借助试验和仿真手段,进行量化评估
    可理论上探讨可能的对抗效能,受资金、设备和技术的制约小实时性差
    下载: 导出CSV
  • [1] HAYKIN S. Cognitive radar: A way of the future[J]. IEEE Signal Processing Magazine, 2006, 23(1): 30–40. doi: 10.1109/MSP.2006.1593335
    [2] 崔国龙, 余显祥, 杨婧, 等. 认知雷达波形优化设计方法综述[J]. 雷达学报, 2019, 8(5): 537–557. doi: 10.12000/JR19072

    CUI Guolong, YU Xianxiang, YANG Jing, et al. An overview of waveform optimization methods for cognitive radar[J]. Journal of Radars, 2019, 8(5): 537–557. doi: 10.12000/JR19072
    [3] SHI Yuchun, JIU Bo, YAN Junkun, et al. Data-Driven radar selection and power allocation method for target tracking in multiple radar system[J]. IEEE Sensors Journal, 2021, 21(17): 19296–19306. doi: 10.1109/JSEN.2021.3087747
    [4] SHI Chenguang, WANG Yijie, SALOUS S, et al. Joint transmit resource management and waveform selection strategy for target tracking in distributed phased array radar network[J]. IEEE Transactions on Aerospace and Electronic Systems, 2022, 58(4): 2762–2778. doi: 10.1109/TAES.2021.3138869
    [5] ZHANG Haowei, LIU Weijian, ZONG Binfeng, et al. An efficient power allocation strategy for maneuvering target tracking in cognitive MIMO radar[J]. IEEE Transactions on Signal Processing, 2021, 69: 1591–1602. doi: 10.1109/TSP.2020.3047227
    [6] YUAN Ye, YI Wei, HOSEINNEZHAD R, et al. Robust power allocation for resource-aware multi-target tracking with colocated MIMO radars[J]. IEEE Transactions on Signal Processing, 2020, 69: 443–458. doi: 10.1109/TSP.2020.3047519
    [7] BERGER S D. The spectrum of a digital radio frequency memory linear range gate stealer electronic attack signal[C]. 2001 IEEE Radar Conference, Atlanta, USA, 2001: 27–30.
    [8] BERGER S D. Digital radio frequency memory linear range gate stealer spectrum[J]. IEEE Transactions on Aerospace and Electronic Systems, 2003, 39(2): 725–735. doi: 10.1109/TAES.2003.1207279
    [9] 李建勋, 唐斌, 吕强. 双谱特征提取在欺骗式干扰方式识别中的应用[J]. 电子科技大学学报, 2009, 38(3): 329–332. doi: 10.3969/j.issn.1001-0548.2009.03.003

    LI Jianxun, TANG Bin, and LÜ Qiang. Bispectrum feature extraction used in deceptive jamming modes recognition[J]. Journal of University of Electronic Science and Technology of China, 2009, 38(3): 329–332. doi: 10.3969/j.issn.1001-0548.2009.03.003
    [10] 田晓, 唐斌. 基于归一化小波分解能量比的雷达有源欺骗干扰识别[J]. 数据采集与处理, 2013, 28(4): 416–420. doi: 10.16337/j.1004-9037.2013.04.001

    TIAN Xiao and TANG Bin. Active deception jamming recognition of radar based on normalized wavelet decomposition power ratio[J]. Journal of Data Acquisition and Processing, 2013, 28(4): 416–420. doi: 10.16337/j.1004-9037.2013.04.001
    [11] 杨少奇, 田波, 李欣, 等. 基于时频图像特征提取的LFM雷达有源欺骗干扰识别[J]. 空军工程大学学报:自然科学版, 2016, 17(1): 56–59. doi: 10.3969/j.issn.1009-3516.2016.01.011

    YANG Shaoqi, TIAN Bo, LI Xin, et al. A recognition method of LFM radar active deception jamming based on SPWVD figure[J]. Journal of Air Force Engineering University:Natural Science Edition, 2016, 17(1): 56–59. doi: 10.3969/j.issn.1009-3516.2016.01.011
    [12] 李紫航, 宋万杰. 有源干扰感知的熵理论方法[J]. 信号处理, 2017, 33(12): 1652–1656. doi: 10.16798/j.issn.1003-0530.2017.12.018

    LI Zihang and SONG Wanjie. Entropy theory method for active jamming perception[J]. Journal of Signal Processing, 2017, 33(12): 1652–1656. doi: 10.16798/j.issn.1003-0530.2017.12.018
    [13] ZHANG Yang, WEI Yinsheng, and YU Lei. Interrupted sampling repeater jamming recognition and suppression based on phase-coded signal processing[J]. Signal Processing, 2022, 198: 108596. doi: 10.1016/j.sigpro.2022.108596
    [14] ZHOU Chao, LIU Quanhua, and CHEN Xinliang. Parameter estimation and suppression for DRFM-based interrupted sampling repeater jammer[J]. IET Radar, Sonar & Navigation, 2018, 12(1): 56–63. doi: 10.1049/iet-rsn.2017.0114
    [15] 杨小鹏, 韩博文, 吴旭晨, 等. 基于短时分数阶傅里叶变换的间歇采样转发干扰辨识方法[J]. 信号处理, 2019, 35(6): 1002–1010. doi: 10.16798/j.issn.1003-0530.2019.06.010

    YANG Xiaopeng, HAN Bowen, WU Xuchen, et al. Interrupted sampling repeater jamming identification method based on Short-time fractional Fourier transform[J]. Journal of Signal Processing, 2019, 35(6): 1002–1010. doi: 10.16798/j.issn.1003-0530.2019.06.010
    [16] 周畅, 范甘霖, 汤子跃, 等. 间歇采样转发干扰的关键参数估计[J]. 太赫兹科学与电子信息学报, 2019, 17(5): 782–787. doi: 10.11805/TKYDA201905.0782

    ZHOU Chang, FAN Ganlin, TANG Ziyue, et al. Parameter estimation of intermittent sampling repeater jamming[J]. Journal of Terahertz Science and Electronic Information Technology, 2019, 17(5): 782–787. doi: 10.11805/TKYDA201905.0782
    [17] 周超, 刘泉华, 曾涛. DRFM间歇采样转发式干扰辨识算法研究[J]. 信号处理, 2017, 33(7): 911–917. doi: 10.16798/j.issn.1003-0530.2017.07.002

    ZHOU Chao, LIU Quanhua, and ZENG Tao. Research on DRFM repeater jamming recognition[J]. Journal of Signal Processing, 2017, 33(7): 911–917. doi: 10.16798/j.issn.1003-0530.2017.07.002
    [18] 尚东东, 张劲东, 胡婉婉, 等. 基于ADMM的间歇采样转发式干扰的参数估计[J]. 雷达科学与技术, 2021, 19(4): 417–422,429. doi: 10.3969/j.issn.1672-2337.2021.04.008

    SHANG Dongdong, ZHANG Jindong, HU Wanwan, et al. Parameter estimation of interrupted sampling repeater jamming based on ADMM[J]. Radar Science and Technology, 2021, 19(4): 417–422,429. doi: 10.3969/j.issn.1672-2337.2021.04.008
    [19] MENG Yunyun, YU Lei, WEI Yinsheng, et al. A novel parameter estimation method of interrupted sampling repeater jamming[C]. 2019 IEEE International Conference on Signal, Information and Data Processing, Chongqing, China, 2019: 1–5.
    [20] ZHOU Chao, SHI Fuqiang, and LIU Quanhua. Research on parameters estimation and suppression for C&I Jamming[C]. 2016 CIE International Conference on Radar, Guangzhou, China, 2016: 1–4.
    [21] WU Chuanzhang, CHEN Baixiao, YANG Minglei, et al. A method of parameter estimation and suppression for smeared spectrum jamming[C]. 2019 5th International Conference on Frontiers of Signal Processing, Marseille, France, 2019: 149–153.
    [22] 刘国满, 聂旭娜. 一种基于卷积神经网络的雷达干扰识别算法[J]. 北京理工大学学报, 2021, 41(9): 990–998. doi: 10.15918/j.tbit1001-0645.2020.220

    LIU Guoman and NIE Xuna. A radar jamming recognition algorithm based on convolutional neural network[J]. Transactions of Beijing Institute of Technology, 2021, 41(9): 990–998. doi: 10.15918/j.tbit1001-0645.2020.220
    [23] QU Qizhe, WEI Shunjun, LIU Shan, et al. JRNet: Jamming recognition networks for radar compound suppression jamming signals[J]. IEEE Transactions on Vehicular Technology, 2020, 69(12): 15035–15045. doi: 10.1109/TVT.2020.3032197
    [24] ZHANG Haoyu, YU Lei, CHEN Yushi, et al. Fast complex-valued CNN for radar jamming signal recognition[J]. Remote Sensing, 2021, 13(15): 2867. doi: 10.3390/rs13152867
    [25] QIN Ying, YANG Jing, ZHU Mengtao, et al. Fast recognition of pull-off jamming using LSTM[C]. 2019 IEEE International Conference on Signal, Information and Data Processing, Chongqing, China, 2019: 1–5.
    [26] SHAO Guangqing, CHEN Yushi, and WEI Yinsheng. Deep fusion for radar jamming signal classification based on CNN[J]. IEEE Access, 2020, 8: 117236–117244. doi: 10.1109/ACCESS.2020.3004188
    [27] KONG Yukai, WANG Xiang, WU Changxin, et al. Active deception jamming recognition in the presence of extended target[J]. IEEE Geoscience and Remote Sensing Letters, 2022, 19: 4024905. doi: 10.1109/LGRS.2022.3184997
    [28] LV Qinzhe, QUAN Yinghui, FENG Wei, et al. Radar deception jamming recognition based on weighted ensemble CNN with transfer learning[J]. IEEE Transactions on Geoscience and Remote Sensing, 2022, 60: 5107511. doi: 10.1109/TGRS.2021.3129645
    [29] SHAO Guangqing, CHEN Yushi, and WEI Yinsheng. Convolutional neural network-based radar jamming signal classification with sufficient and limited samples[J]. IEEE Access, 2020, 8: 80588–80598. doi: 10.1109/ACCESS.2020.2990629
    [30] HAYKIN S, XUE Yanbo, and DAVIDSON T N. Optimal waveform design for cognitive radar[C]. 2008 42nd Asilomar Conference on Signals, Systems and Computers, Pacific Grove, USA, 2008: 3–7.
    [31] 吴悦, 张劲东, 张杰, 等. 认知雷达干扰和旁瓣均衡抑制的波形设计[J]. 雷达科学与技术, 2018, 16(1): 61–67. doi: 10.3969/j.issn.1672-2337.2018.01.010

    WU Yue, ZHANG Jindong, ZHANG Jie, et al. Waveform design for equally suppressing interference and sidelobes in cognitive radar[J]. Radar Science and Technology, 2018, 16(1): 61–67. doi: 10.3969/j.issn.1672-2337.2018.01.010
    [32] 张杰, 陈婉迎, 吴悦. 认知雷达二维自适应抗干扰捷变波形设计[J]. 雷达科学与技术, 2019, 17(4): 415–420, 425. doi: 10.3969/j.issn.1672-2337.2019.04.010

    ZHANG Jie, CHEN Wanying, and WU Yue. Adaptive anti-jamming design for two-dimensional waveform agility in cognitive radar system[J]. Radar Science and Technology, 2019, 17(4): 415–420, 425. doi: 10.3969/j.issn.1672-2337.2019.04.010
    [33] SOLTANALIAN M, TANG Bo, LI Jian, et al. Joint design of the receive filter and transmit sequence for active sensing[J]. IEEE Signal Processing Letters, 2013, 20(5): 423–426. doi: 10.1109/LSP.2013.2250279
    [34] 蒋孟燃, 李伟, 兰星, 等. 干扰条件下基于MMSE准则的弹载雷达认知波形优化[J]. 火力与指挥控制, 2018, 43(4): 158–164. doi: 10.3969/j.issn.1002-0640.2018.04.035

    JIANG Mengran, LI Wei, LAN Xing, et al. Cognitive waveform optimization for missile-borne radar using MMSE criterion[J]. Fire Control &Command Control, 2018, 43(4): 158–164. doi: 10.3969/j.issn.1002-0640.2018.04.035
    [35] TANG Bo, TUCK J, and STOICA P. Polyphase waveform design for MIMO radar space time adaptive processing[J]. IEEE Transactions on Signal Processing, 2020, 68: 2143–2154. doi: 10.1109/TSP.2020.2983833
    [36] ZHANG Jindong, ZHU Daiyin, and ZHANG Gong. New antivelocity deception jamming technique using pulses with adaptive initial phases[J]. IEEE Transactions on Aerospace and Electronic Systems, 2013, 49(2): 1290–1300. doi: 10.1109/TAES.2013.6494414
    [37] 吴健. 基于波形分集的雷达抗有源欺骗干扰技术研究[D]. [硕士论文], 电子科技大学, 2015.

    WU Jian. Research of technology against radar active deception jamming based on waveform diversity[D]. [Master dissertation], University of Electronic Science and Technology of China, 2015.
    [38] XIONG Wei, WANG Xinhai, and ZHANG Gong. Cognitive waveform design for anti-velocity deception jamming with adaptive initial phases[C]. 2016 IEEE Radar Conference, Philadelphia, USA, 2016: 1–5.
    [39] 卜祎. 机载雷达认知抗干扰波形设计与处理方法[D]. [硕士论文], 电子科技大学, 2021.

    BU Yi. Design and processing of cognitive anti-jamming waveforms for airborne radar[D]. [Master dissertation], University of Electronic Science and Technology of China, 2021.
    [40] 葛萌萌. 认知雷达多维联合抗主瓣干扰研究[D]. [博士论文], 电子科技大学, 2021.

    GE Mengmeng. Cognitive radar mainlobe jamming suppression methods via multidimensional signal design and processing[D]. [Ph. D. dissertation], University of Electronic Science and Technology of China, 2021.
    [41] FENG Xiang, SONG Yangchun, ZHOU Zhiquan, et al. Designing unimodular waveform with low range sidelobes and stopband for cognitive radar via relaxed alternating projection[J]. International Journal of Antennas and Propagation, 2016: 6280508. doi: 10.1155/2016/6280508
    [42] SOUMEKH M. SAR-ECCM using phase-perturbed LFM chirp signals and DRFM repeat jammer penalization[J]. IEEE Transactions on Aerospace and Electronic Systems, 2006, 42(1): 191–205. doi: 10.1109/TAES.2006.1603414
    [43] AKHTAR J. An ECCM scheme for orthogonal independent range-focusing of real and false targets[C]. 2007 IEEE Radar Conference, Waltham, USA, 2007: 846–849.
    [44] AKHTAR J. Orthogonal block coded ECCM schemes against repeat radar jammers[J]. IEEE Transactions on Aerospace and Electronic Systems, 2009, 45(3): 1218–1226. doi: 10.1109/TAES.2009.5259195
    [45] YANG Ya, CUI Guolong, WU Jian, et al. Optimized phase-coded waveforms design against range repeat jamming[C]. 2015 IEEE Radar Conference, Arlington, USA, 2015: 395–399.
    [46] BU Yi, YU Xianxiang, YANG Jing, et al. A new approach for design of constant modulus discrete phase radar waveform with low WISL[J]. Signal Processing, 2021, 187: 108145. doi: 10.1016/j.sigpro.2021.108145
    [47] 张梅仓, 王磊. 火控雷达认知抗干扰技术研究[J]. 现代雷达, 2016, 38(12): 91–94. doi: 10.16592/j.cnki.1004-7859.2016.12.019

    ZHANG Meicang and WANG Lei. A study on the technology of cognitive anti-jamming for fire control radar[J]. Modern Radar, 2016, 38(12): 91–94. doi: 10.16592/j.cnki.1004-7859.2016.12.019
    [48] 吴悦. 基于自适应捷变波形的认知雷达干扰对抗技术[D]. [硕士论文], 南京航空航天大学, 2018.

    WU Yue. Anti-jamming technology of cognitive radar based on adaptive agile waveform[D]. [Master dissertation], Nanjing University of Aeronautics and Astronautics, 2018.
    [49] 崔国龙, 樊涛, 孔昱凯, 等. 机载雷达脉间波形参数伪随机跳变技术[J]. 雷达学报, 2022, 11(2): 213–226. doi: 10.12000/JR21189

    CUI Guolong, FAN Tao, KONG Yukai, et al. Pseudo-random agility technology for interpulse waveform parameters in airborne radar[J]. Journal of Radars, 2022, 11(2): 213–226. doi: 10.12000/JR21189
    [50] 周超, 刘泉华, 胡程. 间歇采样转发式干扰的时频域辨识与抑制[J]. 雷达学报, 2019, 8(1): 100–106. doi: 10.12000/JR18080

    ZHOU Chao, LIU Quanhua, and HU Cheng. Time-frequency analysis techniques for recognition and suppression of interrupted sampling repeater jamming[J]. Journal of Radars, 2019, 8(1): 100–106. doi: 10.12000/JR18080
    [51] ZHOU Kai, LI Dexin, SU Yi, et al. Joint design of transmit waveform and mismatch filter in the presence of interrupted sampling repeater jamming[J]. IEEE Signal Processing Letters, 2020, 27: 1610–1614. doi: 10.1109/LSP.2020.3021667
    [52] 何金阳, 程子扬, 何子述. 抗间歇采样转发干扰的认知恒模波形设计方法[J]. 系统工程与电子技术, 2021, 43(9): 2448–2456. doi: 10.12305/j.issn.1001-506X.2021.09.10

    HE Jinyang, CHENG Ziyang, and HE Zishu. Cognitive constant modulus waveform design method against interrupted sampling repeater jamming[J]. Systems Engineering and Electronics, 2021, 43(9): 2448–2456. doi: 10.12305/j.issn.1001-506X.2021.09.10
    [53] GE Mengmeng, YU Xianxiang, YAN Zhengxin, et al. Joint cognitive optimization of transmit waveform and receive filter against deceptive interference[J]. Signal Processing, 2021, 185: 108084. doi: 10.1016/j.sigpro.2021.108084
    [54] 周畅, 汤子跃, 余方利, 等. 基于脉内正交的抗间歇采样转发干扰方法[J]. 系统工程与电子技术, 2017, 39(2): 269–276. doi: 10.3969/j.issn.1001-506X.2017.02.06

    ZHOU Chang, TANG Ziyue, YU Fangli, et al. Anti intermittent sampling repeater jamming method based on intrapulse orthogonality[J]. Systems Engineering and Electronics, 2017, 39(2): 269–276. doi: 10.3969/j.issn.1001-506X.2017.02.06
    [55] 吴少鹏, 袁越, 涂刚毅. 间歇采样干扰识别的抗欺骗干扰波形设计[J]. 现代防御技术, 2018, 46(2): 1–5, 81. doi: 10.3969/j.issn.1009-086x.2018.02.001

    WU Shaopeng, YUAN Yue, and TU Gangyi. Design of anti deception jamming waveform for intermittent sampling interference identification[J]. Modern Defence Technology, 2018, 46(2): 1–5, 81. doi: 10.3969/j.issn.1009-086x.2018.02.001
    [56] 谭怀英, 张鹏, 贺青, 等. 雷达参数级智能化抗干扰研究及应用[J]. 现代雷达, 2021, 43(11): 15–22. doi: 10.16592/j.cnki.1004-7859.2021.11.003

    TAN Huaiying, ZHANG Peng, HE Qing, et al. Research and application on radar parametric level intelligent anti-jamming[J]. Modern Radar, 2021, 43(11): 15–22. doi: 10.16592/j.cnki.1004-7859.2021.11.003
    [57] WEI Zhenhua, LIU Zhen, PENG Bo, et al. ECCM scheme against interrupted sampling repeater jammer based on parameter-adjusted waveform design[J]. Sensors, 2018, 18(4): 1141. doi: 10.3390/s18041141
    [58] 刘智星, 杜思予, 吴耀君, 等. 脉间-脉内捷变频雷达抗间歇采样干扰方法[J]. 雷达学报, 2022, 11(2): 301–312. doi: 10.12000/JR22001

    LIU Zhixing, DU Siyu, WU Yaojun, et al. Anti-interrupted sampling repeater jamming method for interpulse and intrapulse frequency-agile radar[J]. Journal of Radars, 2022, 11(2): 301–312. doi: 10.12000/JR22001
    [59] 杜思予, 刘智星, 吴耀君, 等. 频率捷变波形联合时频滤波器抗间歇采样转发干扰[J/OL]. 系统工程与电子技术, http://kns.cnki.net/kcms/detail/11.2422.TN.20220611.1458.012.html, 2022.

    DU Siyu, LIU Zhixing, WU Yaojun, et al. Frequency agility waveform combined with time-frequency filter to suppress interrupted-sampling repeater jamming[J/OL]. Systems Engineering and Electronics, http://kns.cnki.net/kcms/detail/11.2422.TN.20220611.1458.012.html, 2022.
    [60] 全英汇, 陈侠达, 阮锋, 等. 一种捷变频联合Hough变换的抗密集假目标干扰算法[J]. 电子与信息学报, 2019, 41(11): 2639–2645. doi: 10.11999/JEIT190010

    QUAN Yinghui, CHEN Xiada, RUAN Feng, et al. An anti-dense false target jamming algorithm based on agile frequency joint Hough transform[J]. Journal of Electronics & Information Technology, 2019, 41(11): 2639–2645. doi: 10.11999/JEIT190010
    [61] 方文, 全英汇, 沙明辉, 等. 捷变频联合波形熵的密集假目标干扰抑制算法[J]. 系统工程与电子技术, 2021, 43(6): 1506–1514. doi: 10.12305/j.issn.1001-506X.2021.06.07

    FANG Wen, QUAN Yinghui, SHA Minghui, et al. Dense false targets jamming suppression algorithm based on frequency agility and waveform entropy[J]. Systems Engineering and Electronics, 2021, 43(6): 1506–1514. doi: 10.12305/j.issn.1001-506X.2021.06.07
    [62] LU Shuping, CUI Guolong, YU Xianxiang, et al. Cognitive radar waveform design against signal-dependent modulated jamming[J]. Progress in Electromagnetics Research B, 2018, 80: 59–77. doi: 10.2528/PIERB18010805
    [63] 王福来, 庞晨, 殷加鹏, 等. 一种多普勒容忍的抗间歇采样转发干扰恒模互补波形和接收滤波器联合设计方法[J]. 雷达学报, 2022, 11(2): 278–288. doi: 10.12000/JR22020

    WANG Fulai, PANG Chen, YIN Jiapeng, et al. Joint design of Doppler-tolerant complementary sequences and receiving filters against interrupted sampling repeater jamming[J]. Journal of Radars, 2022, 11(2): 278–288. doi: 10.12000/JR22020
    [64] ANGELETTI P, BERRETTI L, MADDIO S, et al. Phase-only synthesis for large planar arrays via Zernike polynomials and invasive weed optimization[J]. IEEE Transactions on Antennas and Propagation, 2022, 70(3): 1954–1964. doi: 10.1109/TAP.2021.3119113
    [65] 刘肖萌, 高文军, 邓云凯, 等. 基于投影矩阵法的阵列天线波束形成方法[J]. 雷达学报, 2012, 1(1): 50–57. doi: 10.3724/SP.J.1300.2012.20012

    LIU Xiaomeng, GAO Wenjun, DENG Yunkai, et al. Beam synthesis technique for array antenna based on projection matrix algorithm[J]. Journal of Radars, 2012, 1(1): 50–57. doi: 10.3724/SP.J.1300.2012.20012
    [66] ASLAN Y, PUSKELY J, ROEDERER A, et al. Phase-only control of peak sidelobe level and pattern nulls using iterative phase perturbations[J]. IEEE Antennas and Wireless Propagation Letters, 2019, 18(10): 2081–2085. doi: 10.1109/LAWP.2019.2937682
    [67] ZHAO Zhonghui, ZHAO Huiling, WANG Zhaoping, et al. Radial basis function neural network optimal modeling for phase-only array pattern nulling[J]. IEEE Transactions on Antennas and Propagation, 2021, 69(11): 7971–7975. doi: 10.1109/TAP.2021.3083787
    [68] ZHANG Xuan, WANG Xiangrong, and SO H C. Linear arbitrary array pattern synthesis with shape constraints and excitation range control[J]. IEEE Antennas and Wireless Propagation Letters, 2021, 20(6): 1018–1022. doi: 10.1109/LAWP.2021.3069743
    [69] KAJENSKI P J. Phase only antenna pattern notching via a semidefinite programming relaxation[J]. IEEE Transactions on Antennas and Propagation, 2012, 60(5): 2562–2565. doi: 10.1109/TAP.2012.2189709
    [70] FUCHS B. Application of convex relaxation to array synthesis problems[J]. IEEE Transactions on Antennas and Propagation, 2014, 62(2): 634–640. doi: 10.1109/TAP.2013.2290797
    [71] LIANG Junli, FAN Xuhui, FAN Wen, et al. Phase-only pattern synthesis for linear antenna arrays[J]. IEEE Antennas and Wireless Propagation Letters, 2017, 16: 3232–3235. doi: 10.1109/LAWP.2017.2771380
    [72] GEMECHU A Y, CUI Guolong, YU Xianxiang, et al. Beampattern synthesis with sidelobe control and applications[J]. IEEE Transactions on Antennas and Propagation, 2020, 68(1): 297–310. doi: 10.1109/TAP.2019.2938730
    [73] DOLPH C L. A current distribution for broadside arrays which optimizes the relationship between beam width and side-lobe level[J]. Proceedings of the IRE, 1946, 34(6): 335–348. doi: 10.1109/JRPROC.1946.225956
    [74] TAYLOR T T. Design of line-source antennas for narrow beamwidth and low side lobes[J]. Transactions of the IRE Professional Group on Antennas and Propagation, 1955, 3(1): 16–28. doi: 10.1109/TPGAP.1955.5720407
    [75] DE ABREU G T and KOHNO R. A modified Dolph-Chebyshev approach for the synthesis of low sidelobe beampatterns with adjustable beamwidth[J]. IEEE Transactions on Antennas and Propagation, 2003, 51(10): 3014–3017. doi: 10.1109/TAP.2003.817989
    [76] SAHIDULLAH M and SAHA G. A novel windowing technique for efficient computation of MFCC for speaker recognition[J]. IEEE Signal Processing Letters, 2013, 20(2): 149–152. doi: 10.1109/LSP.2012.2235067
    [77] KULKARNI R G. Polynomial windows with fast decaying sidelobes for narrow-band signals[J]. Signal Processing, 2003, 83(6): 1145–1149. doi: 10.1016/S0165-1684(03)00019-7
    [78] OKARMA K. Polynomial windows with low sidelobes’ level[J]. Signal Processing, 2007, 87(4): 782–788. doi: 10.1016/j.sigpro.2006.09.007
    [79] LIM Y C, SARAMÄKI T, DINIZ P S R, et al. Fast convergence method for scaling window sidelobe magnitude[J]. IEEE Signal Processing Letters, 2021, 28: 2078–2081. doi: 10.1109/LSP.2021.3116517
    [80] LIM Y C, SARAMÄKI T, DINIZ P S R, et al. A method for scaling window sidelobe magnitude[J]. IEEE Signal Processing Letters, 2021, 28: 1056–1059. doi: 10.1109/LSP.2021.3079847
    [81] CHEN Kesong, YUN Xiaohua, HE Zishu, et al. Synthesis of sparse planar arrays using modified real genetic algorithm[J]. IEEE Transactions on Antennas and Propagation, 2007, 55(4): 1067–1073. doi: 10.1109/TAP.2007.893375
    [82] MURINO V, TRUCCO A, and REGAZZONI C S. Synthesis of unequally spaced arrays by simulated annealing[J]. IEEE Transactions on Signal Processing, 1996, 44(1): 119–122. doi: 10.1109/78.482017
    [83] BOERINGER D W and WERNER D H. Particle swarm optimization versus genetic algorithms for phased array synthesis[J]. IEEE Transactions on Antennas and Propagation, 2004, 52(3): 771–779. doi: 10.1109/TAP.2004.825102
    [84] REED I S, MALLETT J D, and BRENNAN L E. Rapid convergence rate in adaptive arrays[J]. IEEE Transactions on Aerospace and Electronic Systems, 1974, AES-10(6): 853–863. doi: 10.1109/TAES.1974.307893
    [85] ZHANG Xuejing, HE Zishu, LIAO Bin, et al. A2RC: An accurate array response control algorithm for pattern synthesis[J]. IEEE Transactions on Signal Processing, 2017, 65(7): 1810–1824. doi: 10.1109/TSP.2017.2649487
    [86] ZHANG Xuejing, HE Zishu, LIAO Bin, et al. Pattern synthesis with multipoint accurate array response control[J]. IEEE Transactions on Antennas and Propagation, 2017, 65(8): 4075–4088. doi: 10.1109/TAP.2017.2718582
    [87] ZHANG Xuejing, HE Zishu, LIAO Bin, et al. Pattern synthesis for arbitrary arrays via weight vector orthogonal decomposition[J]. IEEE Transactions on Signal Processing, 2018, 66(5): 1286–1299. doi: 10.1109/TSP.2017.2787143
    [88] ZHANG Xuejing, HE Zishu, LIAO Bin, et al. Pattern synthesis via oblique projection-based multipoint array response control[J]. IEEE Transactions on Antennas and Propagation, 2019, 67(7): 4602–4616. doi: 10.1109/TAP.2019.2911317
    [89] ZHOU P Y and INGRAM M A. Pattern synthesis for arbitrary arrays using an adaptive array method[J]. IEEE Transactions on Antennas and Propagation, 1999, 47(5): 862–869. doi: 10.1109/8.774142
    [90] SHI Zhan and FENG Zhenghe. A new array pattern synthesis algorithm using the two-step least-squares method[J]. IEEE Signal Processing Letters, 2005, 12(3): 250–253. doi: 10.1109/LSP.2004.842282
    [91] WANG Fan, BALAKRISHNAN V, ZHOU P Y, et al. Optimal array pattern synthesis using semidefinite programming[J]. IEEE Transactions on Signal Processing, 2003, 51(5): 1172–1183. doi: 10.1109/TSP.2003.810308
    [92] CAO Pan, THOMPSON J S, and HAAS H. Constant modulus shaped beam synthesis via convex relaxation[J]. IEEE Antennas and Wireless Propagation Letters, 2017, 16: 617–620. doi: 10.1109/LAWP.2016.2594141
    [93] LIANG Junli, FAN Xuhui, SO H C, et al. Array beampattern synthesis without specifying lobe level masks[J]. IEEE Transactions on Antennas and Propagation, 2020, 68(6): 4526–4539. doi: 10.1109/TAP.2020.2972331
    [94] ZHANG Xuejing, HE Zishu, ZHANG Xuepan, et al. High-performance beampattern synthesis via linear fractional semidefinite relaxation and quasi-convex optimization[J]. IEEE Transactions on Antennas and Propagation, 2018, 66(7): 3421–3431. doi: 10.1109/TAP.2018.2835310
    [95] LU Qinghui, CUI Guolong, LIU Ruitao, et al. Beampattern synthesis via first-order iterative convex approximation[J]. IEEE Antennas and Wireless Propagation Letters, 2021, 20(8): 1493–1497. doi: 10.1109/LAWP.2021.3088472
    [96] LIU Ruitao, ZHANG Wei, YU Xianxiang, et al. Transmit-receive beamforming for distributed phased-MIMO radar system[J]. IEEE Transactions on Vehicular Technology, 2022, 71(2): 1439–1453. doi: 10.1109/TVT.2021.3133596
    [97] CAPON J. High-resolution frequency-wavenumber spectrum analysis[J]. Proceedings of the IEEE, 1969, 57(8): 1408–1418. doi: 10.1109/PROC.1969.7278
    [98] WANG Xiangrong, GRECO M S, and GINI F. Adaptive sparse array beamformer design by regularized complementary antenna switching[J]. IEEE Transactions on Signal Processing, 2021, 69: 2302–2315. doi: 10.1109/TSP.2021.3064183
    [99] COX H, ZESKIND R, and OWEN M. Robust adaptive beamforming[J]. IEEE Transactions on Acoustics, Speech, and Signal Processing, 1987, 35(10): 1365–1376. doi: 10.1109/TASSP.1987.1165054
    [100] CARLSON B D. Covariance matrix estimation errors and diagonal loading in adaptive arrays[J]. IEEE Transactions on Aerospace and Electronic Systems, 1988, 24(4): 397–401. doi: 10.1109/7.7181
    [101] FELDMAN D D and GRIFFITHS L J. A projection approach for robust adaptive beamforming[J]. IEEE Transactions on Signal Processing, 1994, 42(4): 867–876. doi: 10.1109/78.285650
    [102] CHANG L and YEH C C. Performance of DMI and eigenspace-based beamformers[J]. IEEE Transactions on Antennas and Propagation, 1992, 40(11): 1336–1347. doi: 10.1109/8.202711
    [103] VOROBYOV S A, GERSHMAN A B, and LUO Zhiquan. Robust adaptive beamforming using worst-case performance optimization: A solution to the signal mismatch problem[J]. IEEE Transactions on Signal Processing, 2003, 51(2): 313–324. doi: 10.1109/TSP.2002.806865
    [104] LI Jian, STOICA P, and WANG Zhisong. On robust capon beamforming and diagonal loading[J]. IEEE Transactions on Signal Processing, 2003, 51(7): 1702–1715. doi: 10.1109/TSP.2003.812831
    [105] SHAHBAZPANAHI S, GERSHMAN A B, LUO Zhiquan, et al. Robust adaptive beamforming for general-rank signal models[J]. IEEE Transactions on Signal Processing, 2003, 51(9): 2257–2269. doi: 10.1109/TSP.2003.815395
    [106] LORENZ R G and BOYD S P. Robust minimum variance beamforming[J]. IEEE Transactions on Signal Processing, 2005, 53(5): 1684–1696. doi: 10.1109/TSP.2005.845436
    [107] LIAO Bin, GUO Chongtao, HUANG Lei, et al. Robust adaptive beamforming with precise main beam control[J]. IEEE Transactions on Aerospace and Electronic Systems, 2017, 53(1): 345–356. doi: 10.1109/TAES.2017.2650578
    [108] LIAO Bin, TSUI K M, and CHAN S C. Robust beamforming with magnitude response constraints using iterative second-order cone programming[J]. IEEE Transactions on Antennas and Propagation, 2011, 59(9): 3477–3482. doi: 10.1109/TAP.2011.2161445
    [109] LIAO Bin and CHAN S C. Adaptive beamforming for uniform linear arrays with unknown mutual coupling[J]. IEEE Antennas and Wireless Propagation Letters, 2012, 11: 464–467. doi: 10.1109/LAWP.2012.2196017
    [110] DU Dongping and TANG Bin. Noise FM jamming suppression via logarithm transform[C]. 2008 International Conference on Communications, Circuits and Systems, Xiamen, China, 2008: 957–959.
    [111] 杜东平, 唐斌. 基于频域对消的噪声调幅干扰抑制算法[J]. 电子与信息学报, 2007, 29(3): 557–559. doi: 10.3724/SP.J.1146.2005.00999

    DU Dongping and TANG Bin. A high performance algorithm of noise amplitude modulation interference suppression based on frequency domain cancellation[J]. Journal of Electronics &Information Technology, 2007, 29(3): 557–559. doi: 10.3724/SP.J.1146.2005.00999
    [112] 张帅. 分布式雷达抗干扰与目标检测方法研究[D]. [硕士论文], 电子科技大学, 2017.

    ZHANG Shuai. Research of distributed radar technology against jamming and target detection[D]. [Master dissertation], University of Electronic Science and Technology of China, 2017.
    [113] CUI Guolong, YU Xianxiang, YUAN Ye, et al. Range jamming suppression with a coupled sequential estimation algorithm[J]. IET Radar, Sonar & Navigation, 2018, 12(3): 341–347. doi: 10.1049/iet-rsn.2017.0365
    [114] CUI Guolong, JI Hongmin, CAROTENUTO V, et al. An adaptive sequential estimation algorithm for velocity jamming suppression[J]. Signal Processing, 2017, 134: 70–75. doi: 10.1016/j.sigpro.2016.11.012
    [115] ZHANG Shuai, YANG Ya, CUI Guolong, et al. Range-velocity jamming suppression algorithm based on adaptive iterative filtering[C]. 2016 IEEE Radar Conference, Philadelphia, USA, 2016: 1–6.
    [116] NATHANSON F E. Adaptive circular polarization[C]. International Radar Conference, Arlington, USA, 1975: 221–225.
    [117] 施龙飞. 雷达极化抗干扰技术研究[D]. [博士论文], 国防科学技术大学, 2007.

    SHI Longfei. Study on the suppression of interference with radar polarization information[D]. [Ph. D. dissertation], National University of Defense Technology, 2007.
    [118] 王雪松. 宽带极化信息处理的研究[D]. [博士论文], 国防科学技术大学, 1999.

    WANG Xuesong. Study on wideband polarization information processing[D]. [Ph. D. dissertation], National University of Defense Technology, 1999.
    [119] XIONG Wei, ZHANG Gong, and LIU Wenbo. Efficient filter design against interrupted sampling repeater jamming for wideband radar[J]. EURASIP Journal on Advances in Signal Processing, 2017, 2017(1): 9. doi: 10.1186/s13634-017-0446-3
    [120] CHEN Jian, WU Wenzhen, XU Shiyou, et al. Band pass filter design against interrupted-sampling repeater jamming based on time-frequency analysis[J]. IET Radar, Sonar & Navigation, 2019, 13(10): 1646–1654. doi: 10.1049/iet-rsn.2018.5658
    [121] 孙正阳, 董玫, 陈伯孝. 时频分析联合带通滤波抑制间歇采样转发干扰[J]. 西安电子科技大学学报, 2021, 48(2): 139–146, 180. doi: 10.19665/j.issn1001-2400.2021.02.018

    SUN Zhengyang, DONG Mei, and CHEN Baixiao. Interrupted sampling repeater jamming suppression based on time-frequency analysis and band-pass filtering[J]. Journal of Xidian University, 2021, 48(2): 139–146, 180. doi: 10.19665/j.issn1001-2400.2021.02.018
    [122] ELGAMEL S A and SORAGHAN J J. Using EMD-FrFT filtering to mitigate very high power interference in chirp tracking radars[J]. IEEE Signal Processing Letters, 2011, 18(4): 263–266. doi: 10.1109/lsp.2011.2115239
    [123] BRENNAN L E and REED I S. Theory of adaptive radar[J]. IEEE Transactions on Aerospace and Electronic Systems, 1973, AES-9(2): 237–252. doi: 10.1109/TAES.1973.309792
    [124] TANG Bo, LI Jun, ZHANG Yu, et al. Design of MIMO radar waveform covariance matrix for Clutter and Jamming suppression based on space time adaptive processing[J]. Signal Processing, 2016, 121: 60–69. doi: 10.1016/j.sigpro.2015.10.033
    [125] BOLHASANI M, MEHRSHAHI E, and GHORASHI S A. Waveform covariance matrix design for robust signal-dependent interference suppression in colocated MIMO radars[J]. Signal Processing, 2018, 152: 311–319. doi: 10.1016/j.sigpro.2018.06.007
    [126] XU Jingwei, LIAO Guisheng, ZHU Shengqi, et al. Deceptive jamming suppression with frequency diverse MIMO radar[J]. Signal Processing, 2015, 113: 9–17. doi: 10.1016/j.sigpro.2015.01.014
    [127] WEN Cai, PENG Jinye, ZHOU Yan, et al. Enhanced three-dimensional joint domain localized STAP for airborne FDA-MIMO radar under dense false-target jamming scenario[J]. IEEE Sensors Journal, 2018, 18(10): 4154–4166. doi: 10.1109/jsen.2018.2820905
    [128] 徐振海, 王雪松, 肖顺平, 等. 极化敏感阵列滤波性能分析: 完全极化情形[J]. 电子学报, 2004, 32(8): 1310–1313. doi: 10.3321/j.issn:0372-2112.2004.08.019

    XU Zhenhai, WANG Xuesong, XIAO Shunping, et al. Filtering performance of polarization sensitive array: Completely polarized case[J]. Acta Electronica Sinica, 2004, 32(8): 1310–1313. doi: 10.3321/j.issn:0372-2112.2004.08.019
    [129] 徐振海, 王雪松, 肖顺平, 等. 极化敏感阵列滤波性能分析: 相关干扰情形[J]. 通信学报, 2004, 25(10): 8–15. doi: 10.3321/j.issn:1000-436X.2004.10.002

    XU Zhenhai, WANG Xuesong, XIAO Shunping, et al. Filtering performance of polarization sensitive array: Correlated interference case[J]. Journal of China Institute of Communications, 2004, 25(10): 8–15. doi: 10.3321/j.issn:1000-436X.2004.10.002
    [130] MA Jiazhi, SHI Longfei, LI Yongzhen, et al. Angle estimation of extended targets in main-lobe interference with polarization filtering[J]. IEEE Transactions on Aerospace and Electronic Systems, 2017, 53(1): 169–189. doi: 10.1109/TAES.2017.2649783
    [131] 唐佳, 于海洋, 杨福荣. 一种新的基于空极联合估计抗干扰方法[J]. 电子信息对抗技术, 2021, 36(6): 18–22. doi: 10.3969/j.issn.1674-2230.2021.06.004

    TANG Jia, YU Haiyang, and YANG Furong. A new algorithm of anti-jamming based on space-polar joint estimation[J]. Electronic Information Warfare Technology, 2021, 36(6): 18–22. doi: 10.3969/j.issn.1674-2230.2021.06.004
    [132] 宁立跃. 基于空-极化域联合的主瓣干扰抑制算法研究[D]. [硕士论文], 北京理工大学, 2018.

    NING Liyue. Research on main-lobe interference suppression algorithm based on joint space and polarization domain[D]. [Master dissertation], Beijing Institute of Technology, 2018.
    [133] HUANG Gaoming, YANG Luxi, and SU Guoqing. Blind source separation used for radar anti-jamming[C]. 2003 International Conference on Neural Networks and Signal Processing, Nanjing, China, 2003: 1382–1385.
    [134] 罗双才, 唐斌. 一种基于盲分离的欺骗干扰抑制算法[J]. 电子与信息学报, 2011, 33(12): 2801–2806. doi: 10.3724/SP.J.1146.2011.00380

    LUO Shuangcai and TANG Bin. An algorithm of deception jamming suppression based on blind signal separation[J]. Journal of Electronics &Information Technology, 2011, 33(12): 2801–2806. doi: 10.3724/SP.J.1146.2011.00380
    [135] 黄高明, 杨绿溪, 何振亚. 一种基于盲源分离的雷达抗干扰技术[J]. 电路与系统学报, 2004, 9(6): 94–99. doi: 10.3969/j.issn.1007-0249.2004.06.022

    HUANG Gaoming, YANG Luxi, and HE Zhenya. A radar anti-jamming technology based on blind source separation[J]. Journal of Circuits and Systems, 2004, 9(6): 94–99. doi: 10.3969/j.issn.1007-0249.2004.06.022
    [136] 王建明, 伍光新, 周伟光. 盲源分离在雷达抗主瓣干扰中的应用研究[J]. 现代雷达, 2010, 32(10): 46–49. doi: 10.3969/j.issn.1004-7859.2010.10.011

    WANG Jianming, WU Guangxin, and ZHOU Weiguang. A study on radar mainlobe jamming suppression based on blind source separation algorithm[J]. Modern Radar, 2010, 32(10): 46–49. doi: 10.3969/j.issn.1004-7859.2010.10.011
    [137] 王文涛, 张剑云, 刘兴华, 等. JADE盲源分离算法应用于雷达抗主瓣干扰技术[J]. 火力与指挥控制, 2015, 40(9): 104–108. doi: 10.3969/j.issn.1002-0640.2015.09.026

    WANG Wentao, ZHANG Jianyun, LIU Xinghua, et al. Radar anti-mainlobe-jamming based on blind source separation algorithm of JADE[J]. Fire Control &Command Control, 2015, 40(9): 104–108. doi: 10.3969/j.issn.1002-0640.2015.09.026
    [138] 王文涛, 张剑云, 李小波, 等. Fast ICA应用于雷达抗主瓣干扰算法研究[J]. 信号处理, 2015, 31(4): 497–503. doi: 10.3969/j.issn.1003-0530.2015.04.016

    WANG Wentao, ZHANG Jianyun, LI Xiaobo, et al. A study on radar mainlobe jamming suppression algorithm based on Fast ICA[J]. Journal of Signal Processing, 2015, 31(4): 497–503. doi: 10.3969/j.issn.1003-0530.2015.04.016
    [139] 周青松, 王文涛, 王珽, 等. 盲分离算法和FRFT联合抗雷达主瓣干扰技术研究[J]. 信号处理, 2015, 31(8): 1004–1011. doi: 10.3969/j.issn.1003-0530.2015.08.017

    ZHOU Qingsong, WANG Wentao, WANG Ting, et al. A study on radar mainlobe jamming suppression technique based on method of BSS-FRFT union[J]. Journal of Signal Processing, 2015, 31(8): 1004–1011. doi: 10.3969/j.issn.1003-0530.2015.08.017
    [140] LUO Shuangcai, XIONG Ying, CHENG Hao, et al. An algorithm of radar deception jamming suppression based on blind signal separation[C]. 2011 International Conference on Computational Problem-Solving, Chengdu, China, 2011: 167–170.
    [141] ZHOU Bilei, LI Rongfeng, LIU Weijian, et al. A BSS-based space-time multi-channel algorithm for complex-jamming suppression[J]. Digital Signal Processing, 2019, 87: 86–103. doi: 10.1016/j.dsp.2019.01.007
    [142] 高霞, 全英汇, 李亚超, 等. 基于BSS的FDA-MIMO雷达主瓣欺骗式干扰抑制方法[J]. 系统工程与电子技术, 2020, 42(9): 1927–1934. doi: 10.3969/j.issn.1001-506X.2020.09.07

    GAO Xia, QUAN Yinghui, LI Yachao, et al. Main-lobe deceptive jamming suppression with FDA-MIMO radar based on BSS[J]. Systems Engineering and Electronics, 2020, 42(9): 1927–1934. doi: 10.3969/j.issn.1001-506X.2020.09.07
    [143] 葛萌萌, 崔国龙, 孔令讲, 等. 分布式雷达盲源分离干扰抑制算法[J]. 信号处理, 2017, 33(12): 1562–1570. doi: 10.16798/j.issn.1003-0530.2017.12.006

    GE Mengmeng, CUI Guolong, KONG Lingjiang, et al. Jamming suppression based on blind source separation in distributed radars[J]. Journal of Signal Processing, 2017, 33(12): 1562–1570. doi: 10.16798/j.issn.1003-0530.2017.12.006
    [144] GE Mengmeng, CUI Guolong, and KONG Lingjiang. Mainlobe jamming suppression for distributed radar via joint blind source separation[J]. IET Radar, Sonar & Navigation, 2019, 13(7): 1189–1199. doi: 10.1049/iet-rsn.2018.5434
    [145] GE Mengmeng, CUI Guolong, SHI Qiao, et al. Mainlobe jamming suppression based on joint blind source separation for distributed radar[C]. 2019 IEEE Radar Conference, Boston, USA, 2019: 1–5.
    [146] DE LIEVEN L and CASTAING J. Blind identification of underdetermined mixtures by simultaneous matrix diagonalization[J]. IEEE Transactions on Signal Processing, 2008, 56(3): 1096–1105. doi: 10.1109/TSP.2007.908929
    [147] 张延良, 楼顺天, 张伟涛. 欠定盲源分离混合矩阵估计的张量分解方法[J]. 系统工程与电子技术, 2011, 33(8): 1703–1706. doi: 10.3969/j.issn.1001-506X.2011.08.05

    ZHANG Yanliang, LOU Shuntian, and ZHANG Weitao. Estimation of underdetermined mixture matrix in blind source separation based on tensor decomposition[J]. Systems Engineering and Electronics, 2011, 33(8): 1703–1706. doi: 10.3969/j.issn.1001-506X.2011.08.05
    [148] 艾小凡, 罗勇江, 赵国庆. 基于张量正则分解的时频混叠信号欠定盲分离方法[J]. 航空学报, 2015, 36(10): 3393–3400. doi: 10.7527/S1000-6893.2014.0319

    AI Xiaofan, LUO Yongjiang, and ZHAO Guoqing. Canonical decomposition approach for underdetermined blind separation of non-disjoint sources[J]. Acta Aeronautica et Astronautica Sinica, 2015, 36(10): 3393–3400. doi: 10.7527/S1000-6893.2014.0319
    [149] 葛素楠, 韩敏. 基于四阶累积张量方法的欠定盲源信号分离[J]. 电子学报, 2014, 42(5): 992–997. doi: 10.3969/j.issn.0372-2112.2014.05.025

    GE Su’nan and HAN Min. Fourth-order cumulant of tensor decomposition method for blind identification of underdetermined separation[J]. Acta Electronica Sinica, 2014, 42(5): 992–997. doi: 10.3969/j.issn.0372-2112.2014.05.025
    [150] 李欣, 王春阳, 付孝龙, 等. 极化通道扩展和盲源分离联合抗移频干扰技术[J]. 北京航空航天大学学报, 2017, 43(4): 731–737. doi: 10.13700/j.bh.1001-5965.2016.0250

    LI Xin, WANG Chunyang, FU Xiaolong, et al. Shift-frequency jamming suppression technique based on polarized channel expanding and blind source separation union[J]. Journal of Beijing University of Aeronautics and Astronautics, 2017, 43(4): 731–737. doi: 10.13700/j.bh.1001-5965.2016.0250
    [151] 李嘉辛, 王宏, 江朝抒, 等. 基于神经网络的主瓣干扰抑制技术[J]. 中国电子科学研究院学报, 2019, 14(10): 1077–1082. doi: 10.3969/j.issn.1673-5692.2019.10.014

    LI Jiaxin, WANG Hong, JIANG Chaoshu, et al. A neural network beamformer for main-lobe interference suppression[J]. Journal of CAEIT, 2019, 14(10): 1077–1082. doi: 10.3969/j.issn.1673-5692.2019.10.014
    [152] ZHANG Yu, JIU Bo, WANG Penghui, et al. An end-to-end anti-jamming target detection method based on CNN[J]. IEEE Sensors Journal, 2021, 21(19): 21817–21828. doi: 10.1109/JSEN.2021.3103042
    [153] HILL P C J and TRUFFERT V. Statistical processing techniques for detecting DRFM repeat-jam radar signals[C]. IEE Colloquium on Signal Processing Techniques for Electronic Warfare, London, UK, 1992: 1–6.
    [154] GRECO M, GINI F, and FARINA A. Radar detection and classification of jamming signals belonging to a cone class[J]. IEEE Transactions on Signal Processing, 2008, 56(5): 1984–1993. doi: 10.1109/tsp.2007.909326
    [155] LI Shengyuan, ZHANG Linrang, LIU Nan, et al. Adaptive detection with conic rejection to suppress deceptive jamming for frequency diverse MIMO radar[J]. Digital Signal Processing, 2017, 69: 32–40. doi: 10.1016/j.dsp.2017.06.008
    [156] 赵珊珊, 张林让, 周宇, 等. 利用空间散射特性差异进行有源假目标鉴别[J]. 西安电子科技大学学报:自然科学版, 2015, 42(2): 20–27. doi: 10.3969/j.issn.1001-2400.2015.02.004

    ZHAO Shanshan, ZHANG Linrang, ZHOU Yu, et al. Active false-target discrimination method based on the difference in spatial scattering characteristic[J]. Journal of Xidian University, 2015, 42(2): 20–27. doi: 10.3969/j.issn.1001-2400.2015.02.004
    [157] ZHAO Shanshan, ZHANG Linrang, ZHOU Yu, et al. Discrimination of active false targets in multistatic radar using spatial scattering properties[J]. IET Radar, Sonar & Navigation, 2016, 10(5): 817–826. doi: 10.1049/iet-rsn.2014.0147
    [158] ZHAO Shanshan, LIU Nan, ZHANG Linrang, et al. Discrimination of deception targets in multistatic radar based on clustering analysis[J]. IEEE Sensors Journal, 2016, 16(8): 2500–2508. doi: 10.1109/jsen.2016.2516000
    [159] LI Qiang, ZHANG Linrang, ZHOU Yu, et al. Hermitian distance-based method to discriminate physical targets and active false targets in a distributed multiple-radar architecture[J]. IEEE Sensors Journal, 2019, 19(22): 10432–10442. doi: 10.1109/JSEN.2019.2926414
    [160] 赵艳丽, 王雪松, 王国玉, 等. 多假目标欺骗干扰下组网雷达跟踪技术[J]. 电子学报, 2007, 35(3): 454–458. doi: 10.3321/j.issn:0372-2112.2007.03.014

    ZHAO Yanli, WANG Xuesong, WANG Guoyu, et al. Tracking technique for radar network in the presence of multi-range-false-target deception jamming[J]. Acta Electronica Sinica, 2007, 35(3): 454–458. doi: 10.3321/j.issn:0372-2112.2007.03.014
    [161] HUANG Datong, CUI Guolong, YU Xianxiang, et al. Joint range-velocity deception jamming suppression for SIMO radar[J]. IET Radar, Sonar & Navigation, 2019, 13(1): 113–122. doi: 10.1049/iet-rsn.2018.5158
    [162] 黄大通. 分布式多站雷达抗欺骗干扰技术研究[D]. [硕士论文], 电子科技大学, 2019.

    HUANG Datong. Research on confronting deception jamming techniques in distributed multi-static radars[D]. [Master dissertation], University of Electronic Science and Technology of China, 2019.
    [163] 李永祯, 王雪松, 王涛, 等. 有源诱饵的极化鉴别研究[J]. 国防科技大学学报, 2004, 26(3): 83–88. doi: 10.3969/j.issn.1001-2486.2004.03.018

    LI Yongzhen, WANG Xuesong, WANG Tao, et al. Polarization discrimination algorithm of active decoy and radar target[J]. Journal of National University of Defense Technology, 2004, 26(3): 83–88. doi: 10.3969/j.issn.1001-2486.2004.03.018
    [164] 李永祯, 王雪松, 肖顺平, 等. 基于IPPV的真假目标极化鉴别算法[J]. 现代雷达, 2004, 26(9): 38–42. doi: 10.3969/j.issn.1004-7859.2004.09.011

    LI Yongzhen, WANG Xuesong, XIAO Shunping, et al. A new polarization discrimination algorithm for active decoy and radar target based on IPPV[J]. Modern Radar, 2004, 26(9): 38–42. doi: 10.3969/j.issn.1004-7859.2004.09.011
    [165] 李永祯, 王雪松, 肖顺平, 等. 有源假目标的高分辨极化鉴别研究[J]. 兵工学报, 2005, 26(6): 754–760. doi: 10.3321/j.issn:1000-1093.2005.06.009

    LI Yongzhen, WANG Xuesong, XIAO Shunping, et al. Research on high-resolution polarization discrimination algorithm of active decoy and radar target[J]. Acta Armamentarii, 2005, 26(6): 754–760. doi: 10.3321/j.issn:1000-1093.2005.06.009
    [166] 王涛. 弹道中段目标极化域特征提取与识别[D]. [博士论文], 国防科技大学, 2006.

    WANG Tao. Feature extraction and recognition of targets in ballistic midcourse in polarization-domain[D]. [Ph. D. dissertation], National University of Defense Technology, 2006.
    [167] 吴盛源, 张小宽, 林存坤, 等. 双接收站的有源诱饵极化鉴别[J]. 空军工程大学学报:自然科学版, 2016, 17(3): 73–77. doi: 10.3969/j.issn.1009-3516.2016.03.014

    WU Shengyuan, ZHANG Xiaokuan, LIN Cunkun, et al. A discrimination method of active decoy polarization based on two receiving stations[J]. Journal of Air Force Engineering University:Natural Science Edition, 2016, 17(3): 73–77. doi: 10.3969/j.issn.1009-3516.2016.03.014
    [168] 常宇亮, 李永祯, 戴幻尧, 等. 全极化复杂调制假目标的鉴别方法[J]. 电波科学学报, 2010, 25(4): 651–657. doi: 10.13443/j.cjors.2010.04.015

    CHANG Yuliang, LI Yongzhen, DAI Huanyao, et al. Distinguish method of polarimetric complicated modulation decoy[J]. Chinese Journal of Radio Science, 2010, 25(4): 651–657. doi: 10.13443/j.cjors.2010.04.015
    [169] 李泽江. 弹道目标动态极化特性分析及鉴别方法研究[D]. [硕士论文], 国防科学技术大学, 2013.

    LI Zejiang. Dynamic polarization characteristic analysis and discrimination methods of ballistic targets[D]. [Master dissertation], National University of Defense Technology, 2013.
    [170] 赫彬, 苏洪涛. 一种多目标与多基地雷达之间的博弈策略[J]. 西安电子科技大学学报, 2021, 48(2): 125–132. doi: 10.19665/j.issn1001-2400.2021.02.016

    HE Bin and SU Hongtao. Study of game strategy between multiple targets and multistatics radars[J]. Journal of Xidian University, 2021, 48(2): 125–132. doi: 10.19665/j.issn1001-2400.2021.02.016
    [171] SONG Xiufeng, WILLETT P, ZHOU Shengli, et al. The MIMO radar and jammer games[J]. IEEE Transactions on Signal Processing, 2012, 60(2): 687–699. doi: 10.1109/TSP.2011.2169251
    [172] PIEZZO M, AUBRY A, BUZZI S, et al. Non-cooperative code design in radar networks: A game-theoretic approach[J]. EURASIP Journal on Advances in Signal Processing, 2013, 2013(1): 63. doi: 10.1186/1687-6180-2013-63
    [173] JIANG Xiaofeng, ZHOU Feng, CHEN Shuangwu, et al. Jamming resilient tracking using POMDP-based detection of hidden targets[J]. IEEE Transactions on Information Forensics and Security, 2021, 16: 983–998. doi: 10.1109/TIFS.2020.3027145
    [174] 陶庭宝, 张弓, 张劲东. 有源压制干扰下的相控阵雷达多目标跟踪时间资源优化配置算法[J]. 数据采集与处理, 2020, 35(5): 978–990. doi: 10.16337/j.1004-9037.2020.05.018

    TAO Tingbao, ZHANG Gong, and ZHANG Jindong. Optimal algorithm of time resource allocation for multiple target tracking of phased array radar under active oppressive jamming[J]. Journal of Data Acquisition and Processing, 2020, 35(5): 978–990. doi: 10.16337/j.1004-9037.2020.05.018
    [175] DELIGIANNIS A, ROSSETTI G, PANOUI A, et al. Power allocation game between a radar network and multiple jammers[C]. 2016 IEEE Radar Conference, Philadelphia, USA, 2016: 1–5.
    [176] DELIGIANNIS A, LAMBOTHARAN S, and CHAMBERS J A. Game theoretic analysis for MIMO radars with multiple targets[J]. IEEE Transactions on Aerospace and Electronic Systems, 2016, 52(6): 2760–2774. doi: 10.1109/TAES.2016.150699
    [177] LI Kang, JIU Bo, WANG Penghui, et al. Radar active antagonism through deep reinforcement learning: A Way to address the challenge of mainlobe jamming[J]. Signal Processing, 2021, 186: 108130. doi: 10.1016/j.sigpro.2021.108130
    [178] LI Kang, JIU Bo, PU Wenqiang, et al. Neural fictitious self-play for radar anti-jamming dynamic game with imperfect information[J]. IEEE Transactions on Aerospace and Electronic Systems, 2022.
    [179] SHI Chenguang, QIU Wei, WANG Fei, et al. Power control scheme for spectral coexisting multistatic radar and massive MIMO communication systems under uncertainties: A robust Stackelberg game model[J]. Digital Signal Processing, 2019, 94: 146–155. doi: 10.1016/j.dsp.2019.05.007
    [180] KHAN Z, LEHTOMÄKI J J, AGUILAR-GONZALEZ R, et al. Database-assisted distributed and cloud-based access methods for unlicensed and radar bands[J]. IEEE Transactions on Cognitive Communications and Networking, 2017, 3(3): 404–419. doi: 10.1109/TCCN.2017.2733533
    [181] 聂红霞. 雷达抗干扰效能评估方法探讨[J]. 舰船电子工程, 2013, 33(4): 75–77. doi: 10.3969/j.issn.1627-9730.2013.04.025

    NIE Hongxia. Evaluation method of radar anti-jamming effect[J]. Ship Electronic Engineering, 2013, 33(4): 75–77. doi: 10.3969/j.issn.1627-9730.2013.04.025
    [182] 周万幸. 雷达抗干扰效能评估模型与指标体系研究[J]. 现代雷达, 2013, 35(11): 1–5. doi: 10.16592/j.cnki.1004-7859.2013.11.019

    ZHOU Wanxing. A study on model and index system of radar anti-jamming effectiveness[J]. Modern Radar, 2013, 35(11): 1–5. doi: 10.16592/j.cnki.1004-7859.2013.11.019
    [183] 陈文东, 汤斌. 复杂电磁环境下雷达抗干扰性能评估方法[J]. 雷达科学与技术, 2017, 15(1): 73–80. doi: 10.3969/j.issn.1672-2337.2017.01.013

    CHEN Wendong and TANG Bin. A radar ECCM performance evaluation method in complex electromagnetic environment[J]. Radar Science and Technology, 2017, 15(1): 73–80. doi: 10.3969/j.issn.1672-2337.2017.01.013
    [184] 崔啸, 孟祥东, 叶玲平, 等. 基于数字化样机的机载雷达模型仿真与作战效能评估[J]. 现代雷达, 2021, 43(5): 32–37. doi: 10.16592/j.cnki.1004-7859.2021.05.005

    CUI Xiao, MENG Xiangdong, YE Lingping, et al. Model simulation and operational effectiveness evaluation for airborne radar system based on digital prototype[J]. Modern Radar, 2021, 43(5): 32–37. doi: 10.16592/j.cnki.1004-7859.2021.05.005
    [185] 孟晋丽, 傅有光, 陈翼, 等. 雷达抗干扰效能指标体系与评估方法[J]. 现代雷达, 2014, 36(11): 80–84. doi: 10.16592/j.cnki.1004-7859.2014.11.019

    MENG Jinli, FU Youguang, CHEN Yi, et al. Index system and evaluation of radar anti-jamming effectiveness[J]. Modern Radar, 2014, 36(11): 80–84. doi: 10.16592/j.cnki.1004-7859.2014.11.019
    [186] 何小锋. 雷达综合抗干扰效能评估方法指标研究[J]. 雷达与对抗, 2020, 40(3): 11–15. doi: 10.19341/j.cnki.issn.1009-0401.2020.03.003

    HE Xiaofeng. Research on evaluation methods of radar anti-jamming efficiency[J]. Radar &ECM, 2020, 40(3): 11–15. doi: 10.19341/j.cnki.issn.1009-0401.2020.03.003
    [187] 段蕾, 诸四海. 面向全过程的机载预警雷达效能评估技术研究[J]. 中国电子科学研究院学报, 2019, 14(7): 756–762. doi: 10.3969/j.issn.1673-5692.2019.07.016

    DUAN Lei and ZHU Sihai. Research on whole-process oriented effectiveness evaluation of AEW radar[J]. Journal of CAEIT, 2019, 14(7): 756–762. doi: 10.3969/j.issn.1673-5692.2019.07.016
    [188] 张宏斌, 杨杰, 郭宇峰. 直升机多机协同探测效能评估指标体系构建[J]. 直升机技术, 2020(3): 19–21.

    ZHANG Hongbin, YANG Jie, and GUO Yufeng. Establishing for efficiency evaluation index system of helicopters coordination detection[J]. Helicopter Technique, 2020(3): 19–21.
    [189] 朱兴乐. 雷达组网系统效能评估指标体系设计[J]. 舰船电子对抗, 2019, 42(5): 48–51, 91. doi: 10.16426/j.cnki.jcdzdk.2019.05.012

    ZHU Xingle. Design of efficiency evaluation index system of radar networking system[J]. Shipboard Electronic Countermeasure, 2019, 42(5): 48–51, 91. doi: 10.16426/j.cnki.jcdzdk.2019.05.012
    [190] 肖振民, 代培龙, 沈伟, 等. 基于AHP的分布式雷达抗干扰效能评估方法[J]. 现代雷达, 2017, 39(1): 77–83. doi: 10.16592/j.cnki.1004-7859.2017.01.018

    XIAO Zhenmin, DAI Peilong, SHEN Wei, et al. Method of anti-jamming effectiveness evaluation for distributed radar based on AHP[J]. Modern Radar, 2017, 39(1): 77–83. doi: 10.16592/j.cnki.1004-7859.2017.01.018
    [191] 郭万海, 邵晓方, 滕俊. 基于层次熵分析法的舰载雷达抗干扰效能评估[J]. 舰船电子工程, 2014, 34(8): 59–62. doi: 10.3969/j.issn1672-9730.2014.08.017

    GUO Wanhai, SHAO Xiaofang, and TENG Jun. Efficiency evaluation of shipboard radar ECCM based on AHP and entropy technology[J]. Ship Electronic Engineering, 2014, 34(8): 59–62. doi: 10.3969/j.issn1672-9730.2014.08.017
    [192] 宋宝军, 张秦, 姜军. 基于Vague集模糊值线性序法的雷达抗干扰效能评估[J]. 火力与指挥控制, 2016, 41(2): 124–127. doi: 10.3969/j.issn.1002-0640.2016.02.031

    SONG Baojun, ZHANG Qin, and JIANG Jun. Anti-jamming effectiveness evaluation technology research of radar based on Vague sets and fuzzy liner ranking[J]. Fire Control &Command Control, 2016, 41(2): 124–127. doi: 10.3969/j.issn.1002-0640.2016.02.031
    [193] 孟宪猛, 蔡翠翠, 张东. 基于多层次模糊算法的雷达抗干扰性能分析[J]. 舰船电子工程, 2017, 37(4): 59–62. doi: 10.3969/j.issn.1672-9730.2017.04.016

    MENG Xianmeng, CAI Cuicui, and ZHANG Dong. Radar anti-jamming performance analysis based on multi-level fuzzy algorithm[J]. Ship Electronic Engineering, 2017, 37(4): 59–62. doi: 10.3969/j.issn.1672-9730.2017.04.016
    [194] 徐沙, 张洁. 一种基于层次分析法的雷达抗干扰效能评估方法[J]. 航天电子对抗, 2016, 32(3): 13–15. doi: 10.3969/j.issn.1673-2421.2016.03.004

    XU Sha and ZHANG Jie. An evaluation method of radar anti-jamming efficiency based on analytical hierarchy process[J]. Aerospace Electronic Warfare, 2016, 32(3): 13–15. doi: 10.3969/j.issn.1673-2421.2016.03.004
    [195] 薛军帅, 张迪, 黄勇, 等. 一种基于AHP-可拓云的雷达系统效能评估方法[J]. 兵工自动化, 2022, 41(4): 81–86, 92. doi: 10.7690/bgzdh.2022.04.017

    XUE Junshuai, ZHANG Di, HUANG Yong, et al. A radar system effectiveness evaluation method based on AHP-extension cloud[J]. Ordnance Industry Automation, 2022, 41(4): 81–86, 92. doi: 10.7690/bgzdh.2022.04.017
    [196] 袁超鹏, 李江. 基于支持向量机的雷达网抗干扰效能评估[J]. 电子科技, 2014, 27(9): 101–103. doi: 10.16180/j.cnki.issn1007-7820.2014.09.005

    YUAN Chaopeng and LI Jiang. Evaluation of radar net anti-jamming capacity based on SVM[J]. Electronic Science and Technology, 2014, 27(9): 101–103. doi: 10.16180/j.cnki.issn1007-7820.2014.09.005
    [197] 徐斐, 谢洲烨, 沈伟, 等. 基于神经网络的分布式雷达抗干扰效能评估方法[J]. 现代雷达, 2015, 37(7): 4–7, 11. doi: 10.16592/j.cnki.1004-7859.2015.07.002

    XU Fei, XIE Zhouye, SHEN Wei, et al. A method of anti-jamming effectiveness evaluation for distributed radar based on neural network[J]. Modern Radar, 2015, 37(7): 4–7, 11. doi: 10.16592/j.cnki.1004-7859.2015.07.002
    [198] 姬正一, 陈阳, 沈培志, 等. 决策树集成方法在反舰导弹效能评估中的应用[J]. 现代防御技术, 2021, 49(4): 15–23, 34. doi: 10.3969/j.issn.1009-086x.2021.04.003

    JI Zhengyi, CHEN Yang, SHEN Peizhi, et al. Decision tree integration method application in effectiveness evaluation of anti-ship missile weapon system[J]. Modern Defence Technology, 2021, 49(4): 15–23, 34. doi: 10.3969/j.issn.1009-086x.2021.04.003
    [199] 周立锋. 基于主成分分析的测量雷达效能评估方法[J]. 现代雷达, 2019, 41(2): 7–9, 25. doi: 10.16592/j.cnki.1004-7859.2019.02.002

    ZHOU Lifeng. Method of measurement radar effectiveness based on principal components analysis[J]. Modern Radar, 2019, 41(2): 7–9, 25. doi: 10.16592/j.cnki.1004-7859.2019.02.002
    [200] 余显祥, 路晴辉, 杨婧, 等. 短基线收发分置频域协同波形设计方法[J]. 雷达学报, 2022, 11(2): 227–239. doi: 10.12000/JR22014

    YU Xianxiang, LU Qinghui, YANG Jing, et al. Frequency domain cooperative waveform design method for short baseline transceiver[J]. Journal of Radars, 2022, 11(2): 227–239. doi: 10.12000/JR22014
  • 加载中
图(12) / 表(1)
计量
  • 文章访问数: 
  • HTML全文浏览量: 
  • PDF下载量: 
  • 被引次数: 0
出版历程
  • 收稿日期:  2022-09-23
  • 修回日期:  2022-11-27
  • 网络出版日期:  2022-12-14
  • 刊出日期:  2022-12-28

目录

    /

    返回文章
    返回