集中式MIMO雷达研究综述

何子述 程子扬 李军 张伟 史靖希 苏洋 邓明龙

何子述, 程子扬, 李军, 等. 集中式MIMO雷达研究综述[J]. 雷达学报, 2022, 11(5): 805–829. doi: 10.12000/JR22128
引用本文: 何子述, 程子扬, 李军, 等. 集中式MIMO雷达研究综述[J]. 雷达学报, 2022, 11(5): 805–829. doi: 10.12000/JR22128
HE Zishu, CHENG Ziyang, LI Jun, et al. A survey of collocated MIMO radar[J]. Journal of Radars, 2022, 11(5): 805–829. doi: 10.12000/JR22128
Citation: HE Zishu, CHENG Ziyang, LI Jun, et al. A survey of collocated MIMO radar[J]. Journal of Radars, 2022, 11(5): 805–829. doi: 10.12000/JR22128

集中式MIMO雷达研究综述

DOI: 10.12000/JR22128 CSTR: 32380.14.JR22128
基金项目: 国家自然科学基金(62001084, 62031007)
详细信息
    作者简介:

    何子述,博士,教授,研究方向为新体制雷达系统、雷达信号处理等

    程子扬,博士,副研究员,研究方向为MIMO雷达信号处理、分布式雷达目标探测、雷达通信一体化设计等

    李 军,博士,副教授,研究方向为雷达信号处理、认知雷达、极化雷达等

    张 伟,博士,副研究员,研究方向为毫米波雷达、雷达干扰/杂波抑制等

    史靖希,博士,研究方向为雷达空时自适应处理、毫米波雷达等

    苏 洋,博士生,研究方向为雷达资源管理、分布式雷达系统等

    邓明龙,博士生,研究方向为雷达波形设计、分布式雷达系统等

    通讯作者:

    程子扬 zycheng@uestc.edu.cn

  • 责任主编:廖桂生 Corresponding Editor: LIAO Guisheng
  • 中图分类号: TN951

A Survey of Collocated MIMO Radar

Funds: The National Natural Science Foundation of China (62001084, 62031007)
More Information
  • 摘要: 多输入多输出(MIMO)雷达作为一种新体制雷达,利用其发射波形分集的特点,在目标检测、参数估计、射频隐身及抗干扰等诸多方面展现出了突出的性能,经过学者们近20年的深入研究,基于正交波形的MIMO雷达相关理论日臻完善,并在汽车辅助驾驶、安全防卫等领域得到广泛应用。近年来,随着电磁环境感知及知识辅助等概念的引入,基于波形优化的MIMO雷达主动抗干扰、射频隐身、以及探测-通信一体化等技术受到学者们的关注并得到深入研究。该文力图对学者们近20年来围绕MIMO雷达的研究工作进行归纳与综述,内容主要包括:正交波形MIMO雷达原理、目标探测性能分析、典型应用;正交波形MIMO雷达波形设计与特点;基于知识的认知MIMO波形设计与算法;基于MIMO的探测-通信一体化波形设计与算法;MIMO雷达信号处理、数据处理及资源管理。论文最后对MIMO雷达在机载应用中的空时处理(STAP)、MIMO雷达在成像中的信号处理、以及基于时分多波形分集的线性调频毫米波MIMO雷达信号处理等进行了讨论。

     

  • 图  1  集中式MIMO雷达收发结构

    Figure  1.  Collected MIMO radar transceiver structure

    图  2  正交波形MIMO雷达虚拟阵原理

    Figure  2.  Principle of virtual array of orthogonal waveform MIMO radar

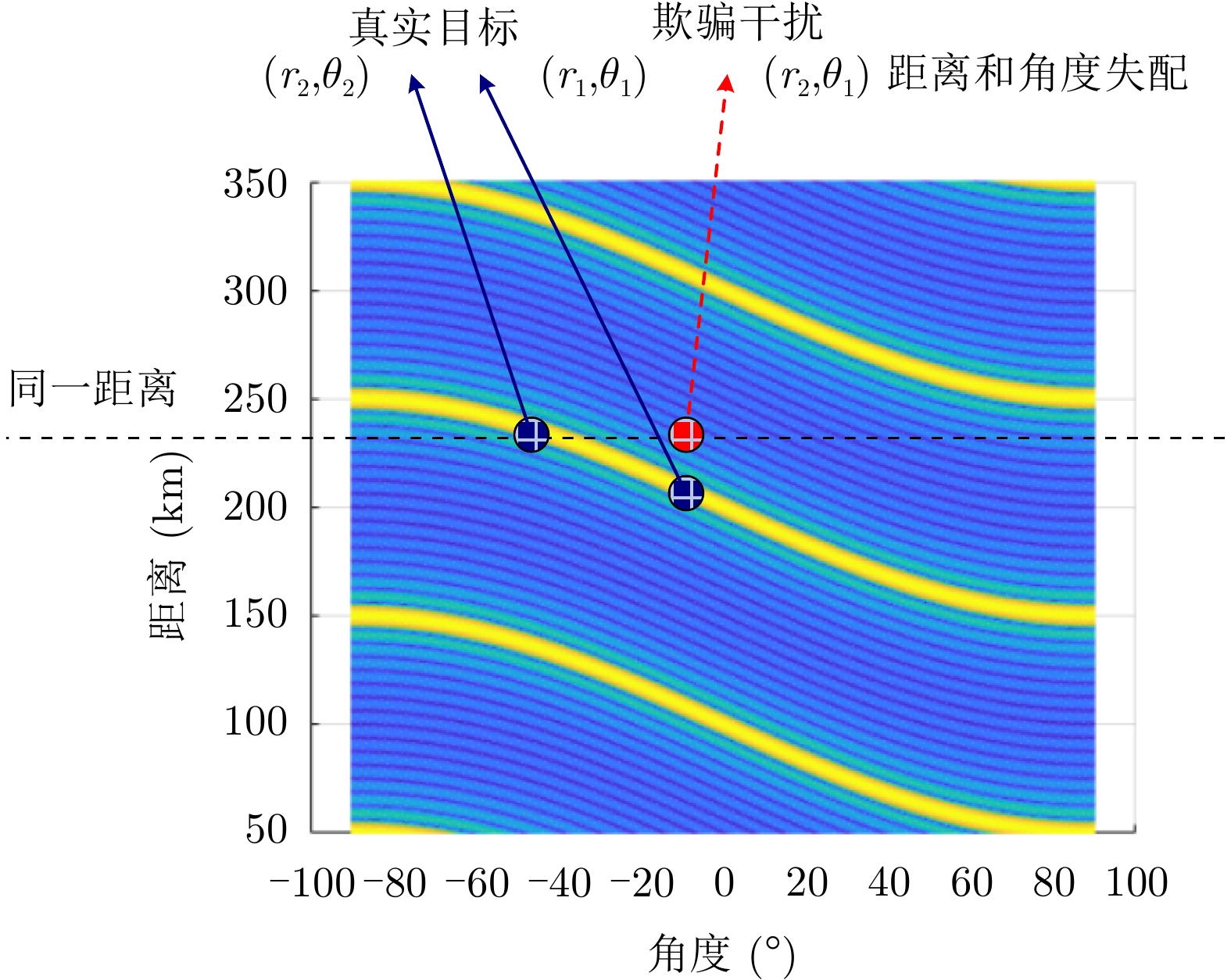
    图  3  LFM步进频频分MIMO 雷达发射功率距离-角度耦合

    Figure  3.  Distance-angle coupling of LFM stepped frequency division MIMO radar transmit power

    图  4  BSUM算法求解框架示意图

    Figure  4.  Schematic diagram of the solution framework of the BSUM algorithm

    图  5  TDM-MIMO雷达原理

    Figure  5.  Principle of TDM-MIMO radar

  • [1] 何子述, 李军, 刘红明, 等. MIMO雷达[M]. 北京: 国防工业出版社, 2017.

    HE Zishu, LI Jun, LIU Hongming, et al. MIMO Radar[M]. Beijing: National Defense Industry Press, 2017.
    [2] RABIDEAU D J and PARKER P. Ubiquitous MIMO multifunction digital array radar[C]. The Thirty-Seventh Asilomar Conference on Signals, Systems & Computers, Pacific Grove, Pacific Grove, USA, 2003: 1057–1064.
    [3] LI Jian and STOICA P. MIMO radar diversity means superiority[C]. 14th Adaptive Sensor Array Processing, Mass, USA, 2006.
    [4] BLISS D W and FORSYTHE K W. Multiple-input multiple-output (MIMO) radar and imaging: Degrees of freedom and resolution[C]. The Thirty-Seventh Asilomar Conference on Signals, Systems & Computers, Pacific Grove, USA, 2003: 54–59.
    [5] FISHLER E, HAIMOVICH A, BLUM R, et al. MIMO radar: An idea whose time has come[C]. 2004 IEEE Radar Conference, Philadelphia, USA, 2004: 71–78.
    [6] FISHLER E, HAIMOVICH A, BLUM R, et al. Performance of MIMO radar systems: Advantages of angular diversity[C]. Conference Record of the Thirty-Eighth Asilomar Conference on Signals, Systems and Computers, 2004, Pacific Grove, USA, 2004: 305–309.
    [7] 何子述, 韩春林, 刘波. MIMO雷达概念及其技术特点分析[J]. 电子学报, 2005, 33(12A): 2441–2445.

    HE Zishu, HAN Chunlin, and LIU Bo. MIMO radar and its technical characteristic analyses[J]. Acta Electronica Sinica, 2005, 33(12A): 2441–2445.
    [8] 张伟. 机载MIMO雷达空时信号处理研究[D]. [博士论文], 电子科技大学, 2013.

    ZHANG Wei. Analysis on airborne MIMO radar space time signal processing[D]. [Ph. D. dissertation], University of Electronic Science and Technology of China, 2013.
    [9] CHEN Chunyang and VAIDYANATHAN P P. MIMO radar space-time adaptive processing using prolate spheroidal wave functions[J]. IEEE Transactions on Signal Processing, 2008, 56(2): 623–635. doi: 10.1109/TSP.2007.907917
    [10] MECCA V F, RAMAKRISHNAN D, and KROLIK J L. MIMO radar space-time adaptive processing for multipath clutter mitigation[C]. Fourth IEEE Workshop on Sensor Array and Multichannel Processing, Waltham, USA, 2006: 249–253.
    [11] XU Jingwei, ZHU Shengqi, and LIAO Guisheng. Space-time-range adaptive processing for airborne radar systems[J]. IEEE Sensors Journal, 2015, 15(3): 1602–1610. doi: 10.1109/JSEN.2014.2364594
    [12] WEN Cai, PENG Jinye, ZHOU Yan, et al. Enhanced three-dimensional joint domain localized STAP for airborne FDA-MIMO radar under dense false-target jamming scenario[J]. IEEE Sensors Journal, 2018, 18(10): 4154–4166. doi: 10.1109/JSEN.2018.2820905
    [13] WANG Keyi, LIAO Guisheng, XU Jingwei, et al. Clutter rank analysis in airborne FDA-MIMO radar with range ambiguity[J]. IEEE Transactions on Aerospace and Electronic Systems, 2022, 58(2): 1416–1430. doi: 10.1109/TAES.2021.3122822
    [14] SHI Junnan, JIU Bo, LIU Hongwei, et al. Transmit design for airborne MIMO radar based on prior information[J]. Signal Processing, 2016, 128: 521–530. doi: 10.1016/j.sigpro.2016.05.003
    [15] ZHOU Qingsong, LI Zhihui, SHI Junpeng, et al. Robust cognitive transmit waveform and receive filter design for airborne MIMO radar in signal-dependent clutter environment[J]. Digital Signal Processing, 2020, 101: 102709. doi: 10.1016/j.dsp.2020.102709
    [16] SHI Shengnan, HE Zishu, and WANG Zhaoyi. Joint design of transmitting waveforms and receiving filter for MIMO-STAP airborne radar[J]. Circuits, Systems, and Signal Processing, 2020, 39(3): 1489–1508. doi: 10.1007/s00034-019-01215-w
    [17] ABRAMOVICH Y I, FRAZER G J, and JOHNSON B A. Principles of mode-selective MIMO OTHR[J]. IEEE Transactions on Aerospace and Electronic Systems, 2013, 49(3): 1839–1868. doi: 10.1109/TAES.2013.6558024
    [18] HE Qian, LI Xiaodong, HE Zishu, et al. MIMO-OTH radar: Signal model for arbitrary placement and signals with non-point targets[J]. IEEE Transactions on Signal Processing, 2015, 63(7): 1846–1857. doi: 10.1109/TSP.2015.2403275
    [19] HU Jianbin, LI Mao, HE Qian, et al. Joint estimation of MIMO-OTH radar measurements and ionospheric parameters[J]. IEEE Transactions on Aerospace and Electronic Systems, 2017, 53(6): 2789–2805. doi: 10.1109/TAES.2017.2714961
    [20] WANG Yufei, ZHANG Linxi, and SONG Zuxun. Angle estimation of weak scatterers using improved MUSIC for bistatic MIMO radar[J]. IEEE Signal Processing Letters, 2020, 27: 2164–2167. doi: 10.1109/LSP.2020.3039935
    [21] JIANG Hong, ZHANG Jiankang, and WONG K M. Joint DOD and DOA estimation for bistatic MIMO radar in unknown correlated noise[J]. IEEE Transactions on Vehicular Technology, 2015, 64(11): 5113–5125. doi: 10.1109/TVT.2014.2384495
    [22] LI Jianfeng, ZHANG Xiaofei, CAO Renzheng, et al. Reduced-dimension MUSIC for angle and array gain-phase error estimation in bistatic MIMO radar[J]. IEEE Communications Letters, 2013, 17(3): 443–446. doi: 10.1109/LCOMM.2013.012313.122113
    [23] 刘红明. 双基地MIMO雷达原理与理论研究[D]. [博士论文], 电子科技大学, 2010.

    LIU Hongming. Analysis on basic principles and theory of bistatic MIMO radar[D]. [Ph. D. dissertation], University of Electronic Science and Technology of China, 2010.
    [24] LIU Hongwei, WANG Xu, JIU Bo, et al. Wideband MIMO radar waveform design for multiple target imaging[J]. IEEE Sensors Journal, 2016, 16(23): 8545–8556. doi: 10.1109/JSEN.2016.2604844
    [25] BLEH D, RÖSCH M, KURI M, et al. W-band time-domain multiplexing FMCW MIMO radar for far-field 3-D imaging[J]. IEEE Transactions on Microwave Theory and Techniques, 2017, 65(9): 3474–3484. doi: 10.1109/TMTT.2017.2661742
    [26] JEON S Y, KIM S, KIM J, et al. W-band FMCW MIMO radar system for high-resolution multimode imaging with time-and frequency-division multiplexing[J]. IEEE Transactions on Geoscience and Remote Sensing, 2020, 58(7): 5042–5057. doi: 10.1109/TGRS.2020.2971998
    [27] GANIS A, NAVARRO E M, SCHOENLINNER B, et al. A portable 3-D imaging FMCW MIMO radar demonstrator with a 24 × 24 antenna array for medium-range applications[J]. IEEE Transactions on Geoscience and Remote Sensing, 2018, 56(1): 298–312. doi: 10.1109/TGRS.2017.2746739
    [28] ENGELS F, HEIDENREICH P, ZOUBIR A M, et al. Advances in automotive radar: A framework on computationally efficient high-resolution frequency estimation[J]. IEEE Signal Processing Magazine, 2017, 34(2): 36–46. doi: 10.1109/MSP.2016.2637700
    [29] KRONAUGE M and ROHLING H. New chirp sequence radar waveform[J]. IEEE Transactions on Aerospace and Electronic Systems, 2014, 50(4): 2870–2877. doi: 10.1109/TAES.2014.120813
    [30] ZHANG Wei, LI Huiyong, SUN Guohao, et al. Enhanced detection of Doppler-spread targets for FMCW radar[J]. IEEE Transactions on Aerospace and Electronic Systems, 2019, 55(4): 2066–2078. doi: 10.1109/TAES.2019.2925433
    [31] DENG Hai. Polyphase code design for orthogonal netted radar systems[J]. IEEE Transactions on Signal Processing, 2004, 52(11): 3126–3135. doi: 10.1109/TSP.2004.836530
    [32] LIU Bo, HE Zishu, ZENG Jiankui, et al. Polyphase orthogonal code design for MIMO radar systems[C]. 2006 CIE International Conference on Radar, Shanghai, China, 2006: 1–4.
    [33] 胡亮兵, 刘宏伟, 吴顺君. 基于约束非线性规划的MIMO雷达正交波形设计[J]. 系统工程与电子技术, 2011, 33(1): 64–68. doi: 10.3969/j.issn.1001-506X.2011.01.13

    HU Liangbing, LIU Hongwei, and WU Shunjun. Orthogonal waveform design for MIMO radar via constrained nonlinear programming[J]. Systems Engineering and Electronics, 2011, 33(1): 64–68. doi: 10.3969/j.issn.1001-506X.2011.01.13
    [34] 吕红芬, 宋万杰, 张子敬, 等. 基于遗传算法和贪心算法正交多相码设计[J]. 雷达科学与技术, 2010, 8(6): 543–548, 558. doi: 10.3969/j.issn.1672-2337.2010.06.011

    LV Hongfen, SONG Wanjie, ZHANG Zijing, et al. Design of orthogonal polyphase code based on genetic algorithm and greedy algorithm[J]. Radar Science and Technology, 2010, 8(6): 543–548, 558. doi: 10.3969/j.issn.1672-2337.2010.06.011
    [35] DENG Hai. Discrete frequency-coding waveform design for netted radar systems[J]. IEEE Signal Processing Letters, 2004, 11(2): 179–182. doi: 10.1109/LSP.2003.821693
    [36] LIU Bo. Orthogonal discrete frequency-coding waveform set design with minimized autocorrelation sidelobes[J]. IEEE Transactions on Aerospace and Electronic Systems, 2009, 45(4): 1650–1657. doi: 10.1109/TAES.2009.5310326
    [37] STOICA P, LI Jian, and XIE Yao. On probing signal design for MIMO radar[J]. IEEE Transactions on Signal Processing, 2007, 55(8): 4151–4161. doi: 10.1109/TSP.2007.894398
    [38] CHENG Ziyang, HE Zishu, ZHANG Shengmiao, et al. Constant modulus waveform design for MIMO radar transmit beampattern[J]. IEEE Transactions on Signal Processing, 2017, 65(18): 4912–4923. doi: 10.1109/TSP.2017.2718976
    [39] LIPOR J, AHMED S, and ALOUINI M S. Fourier-based transmit beampattern design using MIMO radar[J]. IEEE Transactions on Signal Processing, 2014, 62(9): 2226–2235. doi: 10.1109/TSP.2014.2307838
    [40] AUBRY A, DE MAIO A, and HUANG Yongwei. MIMO radar beampattern design via PSL/ISL optimization[J]. IEEE Transactions on Signal Processing, 2016, 64(15): 3955–3967. doi: 10.1109/TSP.2016.2543207
    [41] AHMED S, THOMPSON J S, PETILLOT Y R, et al. Finite alphabet constant-envelope waveform design for MIMO radar[J]. IEEE Transactions on Signal Processing, 2011, 59(11): 5326–5337. doi: 10.1109/TSP.2011.2163067
    [42] WANG Yongchao, WANG Xu, LIU Hongwei, et al. On the design of constant modulus probing signals for MIMO radar[J]. IEEE Transactions on Signal Processing, 2012, 60(8): 4432–4438. doi: 10.1109/TSP.2012.2197615
    [43] ZHANG Xiaojun, HE Zishu, RAYMAN-BACCHUS L, et al. MIMO radar transmit beampattern matching design[J]. IEEE Transactions on Signal Processing, 2015, 63(8): 2049–2056. doi: 10.1109/TSP.2015.2398841
    [44] XU Haisheng, BLUM R S, WANG Jian, et al. Colocated MIMO radar waveform design for transmit beampattern formation[J]. IEEE Transactions on Aerospace and Electronic Systems, 2015, 51(2): 1558–1568. doi: 10.1109/TAES.2014.140249
    [45] CHENG Ziyang, HAN Chunlin, LIAO Bin, et al. Communication-aware waveform design for MIMO radar with good transmit beampattern[J]. IEEE Transactions on Signal Processing, 2018, 66(21): 5549–5562. doi: 10.1109/TSP.2018.2868042
    [46] CHENG Ziyang, LIAO Bin, HE Zishu, et al. Joint design of the transmit and receive beamforming in MIMO radar systems[J]. IEEE Transactions on Vehicular Technology, 2019, 68(8): 7919–7930. doi: 10.1109/TVT.2019.2927045
    [47] DENG Minglong, CHENG Ziyang, LU Xiaoying, et al. Binary waveform design for MIMO radar with good transmit beampattern performance[J]. Electronics Letters, 2019, 55(19): 1061–1063. doi: 10.1049/el.2019.1602
    [48] AUBRY A, DEMAIO A, FARINA A, et al. Knowledge-aided (potentially cognitive) transmit signal and receive filter design in signal-dependent clutter[J]. IEEE Transactions on Aerospace and Electronic Systems, 2013, 49(1): 93–117. doi: 10.1109/TAES.2013.6404093
    [49] KARBASI S M, AUBRY A, DE MAIO A, et al. Robust transmit code and receive filter design for extended targets in clutter[J]. IEEE Transactions on Signal Processing, 2015, 63(8): 1965–1976. doi: 10.1109/TSP.2015.2404301
    [50] CUI Guolong, LI Hongbin, and RANGASWAMY M. MIMO radar waveform design with constant modulus and similarity constraints[J]. IEEE Transactions on Signal Processing, 2014, 62(2): 343–353. doi: 10.1109/TSP.2013.2288086
    [51] ALDAYEL O, MONGA V, and RANGASWAMY M. Successive QCQP refinement for MIMO radar waveform design under practical constraints[J]. IEEE Transactions on Signal Processing, 2016, 64(14): 3760–3774. doi: 10.1109/TSP.2016.2552501
    [52] CUI Guolong, YU Xianxiang, CAROTENUTO V, et al. Space-time transmit code and receive filter design for colocated MIMO radar[J]. IEEE Transactions on Signal Processing, 2017, 65(5): 1116–1129. doi: 10.1109/TSP.2016.2633242
    [53] CHENG Ziyang, HE Zishu, LIAO Bin, et al. MIMO radar waveform design with PAPR and similarity constraints[J]. IEEE Transactions on Signal Processing, 2018, 66(4): 968–981. doi: 10.1109/TSP.2017.2780052
    [54] GROSSI E and LOPS M. Space-time code design for MIMO detection based on Kullback-Leibler divergence[J]. IEEE Transactions on Information Theory, 2012, 58(6): 3989–4004. doi: 10.1109/TIT.2012.2189754
    [55] SONG Xiufeng, WILLETT P, ZHOU Shengli, et al. The MIMO radar and jammer games[J]. IEEE Transactions on Signal Processing, 2012, 60(2): 687–699. doi: 10.1109/TSP.2011.2169251
    [56] TANG Bo, TANG Jun, and PENG Yingning. MIMO radar waveform design in colored noise based on information theory[J]. IEEE Transactions on Signal Processing, 2010, 58(9): 4684–4697. doi: 10.1109/TSP.2010.2050885
    [57] TANG Bo, ZHANG Yu, and TANG Jun. An efficient minorization maximization approach for MIMO radar waveform optimization via relative entropy[J]. IEEE Transactions on Signal Processing, 2018, 66(2): 400–411. doi: 10.1109/TSP.2017.2771726
    [58] LI Jian, XU Luzhou, STOICA P, et al. Range compression and waveform optimization for MIMO radar: A Cramér-Rao bound based study[J]. IEEE Transactions on Signal Processing, 2008, 56(1): 218–232. doi: 10.1109/TSP.2007.901653
    [59] CHENG Ziyang, LIAO Bin, SHI Shengnan, et al. Co-design for overlaid MIMO radar and downlink MISO communication systems via Cramér-Rao bound minimization[J]. IEEE Transactions on Signal Processing, 2019, 67(24): 6227–6240. doi: 10.1109/TSP.2019.2952048
    [60] YANG Yang and BLUM R S. MIMO radar waveform design based on mutual information and minimum mean-square error estimation[J]. IEEE Transactions on Aerospace and Electronic Systems, 2007, 43(1): 330–343. doi: 10.1109/TAES.2007.357137
    [61] HERBERT S, HOPGOOD J R, and MULGREW B. MMSE adaptive waveform design for active sensing with applications to MIMO radar[J]. IEEE Transactions on Signal Processing, 2018, 66(5): 1361–1373. doi: 10.1109/TSP.2017.2786277
    [62] STOICA P, HE Hao, and LI Jian. Optimization of the receive filter and transmit sequence for active sensing[J]. IEEE Transactions on Signal Processing, 2012, 60(4): 1730–1740. doi: 10.1109/TSP.2011.2179652
    [63] STOICA P, HE Hao, and LI Jian. New algorithms for designing unimodular sequences with good correlation properties[J]. IEEE Transactions on Signal Processing, 2009, 57(4): 1415–1425. doi: 10.1109/TSP.2009.2012562
    [64] HE Hao, STOICA P, and LI Jian. Designing unimodular sequence sets with good correlations—including an application to MIMO radar[J]. IEEE Transactions on Signal Processing, 2009, 57(11): 4391–4405. doi: 10.1109/TSP.2009.2025108
    [65] SONG Junxiao, BABU P, and PALOMAR D P. Sequence set design with good correlation properties via majorization-minimization[J]. IEEE Transactions on Signal Processing, 2016, 64(11): 2866–2879. doi: 10.1109/TSP.2016.2535312
    [66] LIANG Junli, SO H C, LI Jian, et al. Unimodular sequence design based on alternating direction method of multipliers[J]. IEEE Transactions on Signal Processing, 2016, 64(20): 5367–5381. doi: 10.1109/TSP.2016.2597123
    [67] ZHAO Licheng, SONG Junxiao, BABU P, et al. A unified framework for low autocorrelation sequence design via majorization-minimization[J]. IEEE Transactions on Signal Processing, 2017, 65(2): 438–453. doi: 10.1109/TSP.2016.2620113
    [68] LI Yongzhe and VOROBYOV S A. Fast algorithms for designing unimodular waveform(s) with good correlation properties[J]. IEEE Transactions on Signal Processing, 2018, 66(5): 1197–1212. doi: 10.1109/TSP.2017.2787104
    [69] CHEN Chunyang. Signal processing algorithms for MIMO radar[D]. [Ph. D. dissertation], California Institute of Technology, 2009.
    [70] CHEN Yifan, NIJSURE Y, YUEN C, et al. Adaptive distributed MIMO radar waveform optimization based on mutual information[J]. IEEE Transactions on Aerospace and Electronic Systems, 2013, 49(2): 1374–1385. doi: 10.1109/TAES.2013.6494422
    [71] ABSIL P A, MAHONY R, and SEPULCHRE R. Optimization Algorithms on Matrix Manifolds[M]. Princeton: Princeton University Press, 2009.
    [72] LI Jie, LIAO Guisheng, HUANG Yan, et al. Riemannian geometric optimization methods for joint design of transmit sequence and receive filter on MIMO radar[J]. IEEE Transactions on Signal Processing, 2020, 68: 5602–5616. doi: 10.1109/TSP.2020.3022821
    [73] SEN S. PAPR-constrained Pareto-optimal waveform design for OFDM-STAP radar[J]. IEEE Transactions on Geoscience and Remote Sensing, 2014, 52(6): 3658–3669. doi: 10.1109/TGRS.2013.2274593
    [74] DE MAIO A, DE NICOLA S, HUANG Yongwei, et al. Code design to optimize radar detection performance under accuracy and similarity constraints[J]. IEEE Transactions on Signal Processing, 2008, 56(11): 5618–5629. doi: 10.1109/TSP.2008.929657
    [75] YU Xianxiang, CUI Guolong, KONG Lingjiang, et al. Constrained waveform design for colocated MIMO radar with uncertain steering matrices[J]. IEEE Transactions on Aerospace and Electronic Systems, 2019, 55(1): 356–370. doi: 10.1109/TAES.2018.2852200
    [76] DE MAIO A, DE NICOLA S, HUANG Yongwei, et al. Design of phase codes for radar performance optimization with a similarity constraint[J]. IEEE Transactions on Signal Processing, 2009, 57(2): 610–621. doi: 10.1109/TSP.2008.2008247
    [77] GRIFFITHS H, COHEN L, WATTS S, et al. Radar spectrum engineering and management: Technical and regulatory issues[J]. Proceedings of the IEEE, 2015, 103(1): 85–102. doi: 10.1109/JPROC.2014.2365517
    [78] NUNN C and MOYER L R. Spectrally-compliant waveforms for wideband radar[J]. IEEE Aerospace and Electronic Systems Magazine, 2012, 27(8): 11–15. doi: 10.1109/MAES.2012.6329156
    [79] AUBRY A, DE MAIO A, PIEZZO M, et al. Radar waveform design in a spectrally crowded environment via nonconvex quadratic optimization[J]. IEEE Transactions on Aerospace and Electronic Systems, 2014, 50(2): 1138–1152. doi: 10.1109/TAES.2014.120731
    [80] AUBRY A, CAROTENUTO V, and DE MAIO A. Forcing multiple spectral compatibility constraints in radar waveforms[J]. IEEE Signal Processing Letters, 2016, 23(4): 483–487. doi: 10.1109/LSP.2016.2532739
    [81] CHENG Ziyang, LIAO Bin, HE Zishu, et al. Spectrally compatible waveform design for MIMO radar in the presence of multiple targets[J]. IEEE Transactions on Signal Processing, 2018, 66(13): 3543–3555. doi: 10.1109/TSP.2018.2833818
    [82] LUO Z Q and TSENG P. On the convergence of the coordinate descent method for convex differentiable minimization[J]. Journal of Optimization Theory and Applications, 1992, 72(1): 7–35. doi: 10.1007/BF00939948
    [83] HONG Mingyi, RAZAVIYAYN M, LUO Zhiquan, et al. A unified algorithmic framework for block-structured optimization involving big data: With applications in machine learning and signal processing[J]. IEEE Signal Processing Magazine, 2016, 33(1): 57–77. doi: 10.1109/MSP.2015.2481563
    [84] SUN Ying, BABU P, and PALOMAR D P. Majorization-minimization algorithms in signal processing, communications, and machine learning[J]. IEEE Transactions on Signal Processing, 2017, 65(3): 794–816. doi: 10.1109/TSP.2016.2601299
    [85] DENG Minglong, CHENG Ziyang, WU Linlong, et al. One-Bit ADCs/DACs based MIMO radar: Performance analysis and joint design[J]. IEEE Transactions on Signal Processing, 2022, 70: 2609–2624. doi: 10.1109/TSP.2022.3176953
    [86] BOYD S, PARIKH N, CHU E, et al. Distributed optimization and statistical learning via the alternating direction method of multipliers[J]. Foundations and Trends ® in Machine Learning, 2011, 3(1): 1–122. doi: 10.1561/2200000016
    [87] 刘凡, 袁伟杰, 原进宏, 等. 雷达通信频谱共享及一体化: 综述与展望[J]. 雷达学报, 2021, 10(3): 467–484. doi: 10.12000/JR20113

    LIU Fan, YUAN Weijie, YUAN Jinhong, et al. Radar-communication spectrum sharing and integration: Overview and prospect[J]. Journal of Radars, 2021, 10(3): 467–484. doi: 10.12000/JR20113
    [88] LIU Fan, CUI Yuanhao, MASOUROS C, et al. Integrated sensing and communications: Toward dual-functional wireless networks for 6G and beyond[J]. IEEE Journal on Selected Areas in Communications, 2022, 40(6): 1728–1767. doi: 10.1109/JSAC.2022.3156632
    [89] LIU Fan, MASOUROS C, PETROPULU A P, et al. Joint radar and communication design: Applications, state-of-the-art, and the road ahead[J]. IEEE Transactions on Communications, 2020, 68(6): 3834–3862. doi: 10.1109/TCOMM.2020.2973976
    [90] KUMARI P, CHOI J, GONZÁLEZ-PRELCIC N, et al. IEEE 802.11 ad-based radar: An approach to joint vehicular communication-radar system[J]. IEEE Transactions on Vehicular Technology, 2018, 67(4): 3012–3027. doi: 10.1109/TVT.2017.2774762
    [91] KUMARI P, VOROBYOV S A, and HEATH R W. Adaptive virtual waveform design for millimeter-wave joint communication-radar[J]. IEEE Transactions on Signal Processing, 2019, 68: 715–730. doi: 10.1109/TSP.2019.2956689
    [92] RESTUCCIA F. IEEE 802.11 bf: Toward ubiquitous Wi-Fi sensing[EB/OL]. https://arxiv.org/abs/2103.14918, 2021.
    [93] LI Xiang, ZHANG Daqing, LV Qin, et al. IndoTrack: Device-free indoor human tracking with commodity Wi-Fi[J]. Proceedings of the ACM on Interactive, Mobile, Wearable and Ubiquitous Technologies, 2017, 1(3): 72. doi: 10.1145/3130940
    [94] BEKAR M, BAKER C J, HOARE E G, et al. Joint MIMO radar and communication system using a PSK-LFM waveform with TDM and CDM approaches[J]. IEEE Sensors Journal, 2021, 21(5): 6115–6124. doi: 10.1109/JSEN.2020.3043085
    [95] WU Kai, ZHANG J A, HUANG Xiaojing, et al. Integrating secure communications into frequency hopping MIMO radar with improved data rate[J]. IEEE Transactions on Wireless Communications, 2022, 21(7): 5392–5405. doi: 10.1109/TWC.2021.3140022
    [96] DOKHANCHI S H, MYSORE B S, MISHRA K V, et al. A mmWave automotive joint radar-communications system[J]. IEEE Transactions on Aerospace and Electronic Systems, 2019, 55(3): 1241–1260. doi: 10.1109/TAES.2019.2899797
    [97] LIU Xiang, HUANG Tianyao, SHLEZINGER N, et al. Joint transmit beamforming for multiuser MIMO communications and MIMO radar[J]. IEEE Transactions on Signal Processing, 2020, 68: 3929–3944. doi: 10.1109/TSP.2020.3004739
    [98] LIU Fan, ZHOU Longfei, MASOUROS C, et al. Toward dual-functional radar-communication systems: Optimal waveform design[J]. IEEE Transactions on Signal Processing, 2018, 66(16): 4264–4279. doi: 10.1109/TSP.2018.2847648
    [99] CHENG Ziyang and LIAO Bin. QoS-aware hybrid beamforming and DOA estimation in multi-carrier dual-function radar-communication systems[J]. IEEE Journal on Selected Areas in Communications, 2022, 40(6): 1890–1905. doi: 10.1109/JSAC.2022.3155529
    [100] LI Jian, STOICA P, XU Luzhou, et al. On parameter identifiability of MIMO radar[J]. IEEE Signal Processing Letters, 2007, 14(12): 968–971. doi: 10.1109/LSP.2007.905051
    [101] LEHMANN N H, FISHLER E, HAIMOVICH A M, et al. Evaluation of transmit diversity in MIMO-radar direction finding[J]. IEEE Transactions on Signal Processing, 2007, 55(5): 2215–2225. doi: 10.1109/TSP.2007.893220
    [102] CHEN Duofang, CHEN Baixiao, and QIN Guodong. Angle estimation using ESPRIT in MIMO radar[J]. Electronics Letters, 2008, 44(12): 770–771. doi: 10.1049/el:20080276
    [103] CHEN Jinli, GU Hong, and SU Weimin. Angle estimation using ESPRIT without pairing in MIMO radar[J]. Electronics Letters, 2008, 44(24): 1422–1423. doi: 10.1049/el:20089089
    [104] CHAN F K W, SO H C, HUANG Lei, et al. Parameter estimation and identifiability in bistatic multiple-input multiple-output radar[J]. IEEE Transactions on Aerospace and Electronic Systems, 2015, 51(3): 2047–2056. doi: 10.1109/TAES.2015.130502
    [105] ZHANG Xiaofei, XU Lingyun, XU Lei, et al. Direction of departure (DOD) and direction of arrival (DOA) estimation in MIMO radar with reduced-dimension MUSIC[J]. IEEE Communications Letters, 2010, 14(12): 1161–1163. doi: 10.1109/LCOMM.2010.102610.101581
    [106] NION D and SIDIROPOULOS N D. Tensor algebra and multidimensional harmonic retrieval in signal processing for MIMO radar[J]. IEEE Transactions on Signal Processing, 2010, 58(11): 5693–5705. doi: 10.1109/TSP.2010.2058802
    [107] THAKRE A, HAARDT M, ROEMER F, et al. Tensor-based spatial smoothing (TB-SS) using multiple snapshots[J]. IEEE Transactions on Signal Processing, 2010, 58(5): 2715–2728. doi: 10.1109/TSP.2010.2043141
    [108] RAO Wei, LI Dan, and ZHANG Jianqiu. A tensor-based approach to L-shaped arrays processing with enhanced degrees of freedom[J]. IEEE Signal Processing Letters, 2018, 25(2): 1–5. doi: 10.1109/LSP.2017.2783370
    [109] HAN Keyong and NEHORAI A. Nested vector-sensor array processing via tensor modeling[J]. IEEE Transactions on Signal Processing, 2014, 62(10): 2542–2553. doi: 10.1109/TSP.2014.2314437
    [110] YAO Bobin, WANG Wenjie, and YIN Qinye. DOD and DOA estimation in bistatic non-uniform multiple-input multiple-output radar systems[J]. IEEE Communications Letters, 2012, 16(11): 1796–1799. doi: 10.1109/LCOMM.2012.091212.121605
    [111] SHI Junpeng, HU Guoping, ZHANG Xiaofei, et al. Generalized co-prime MIMO radar for DOA estimation with enhanced degrees of freedom[J]. IEEE Sensors Journal, 2018, 18(3): 1203–1212. doi: 10.1109/JSEN.2017.2782746
    [112] HUANG Yan, LIAO Guisheng, LI Jun, et al. Sum and difference coarray based MIMO radar array optimization with its application for DOA estimation[J]. Multidimensional Systems and Signal Processing, 2017, 28(4): 1183–1202. doi: 10.1007/s11045-016-0387-2
    [113] ZHENG Wang, ZHANG Xiaofei, and SHI Junpeng. Sparse extension array geometry for DOA estimation with nested MIMO radar[J]. IEEE Access, 2017, 5: 9580–9586. doi: 10.1109/ACCESS.2017.2710212
    [114] YANG Minglei, SUN Lei, YUAN Xin, et al. A new nested MIMO array with increased degrees of freedom and hole-free difference coarray[J]. IEEE Signal Processing Letters, 2018, 25(1): 40–44. doi: 10.1109/LSP.2017.2766294
    [115] SHI Junpeng, HU Guoping, ZHANG Xiaofei, et al. Sparsity-based DOA estimation of coherent and uncorrelated targets with flexible MIMO radar[J]. IEEE Transactions on Vehicular Technology, 2019, 68(6): 5835–5848. doi: 10.1109/TVT.2019.2913437
    [116] SHI Junpeng, WEN Fangqing, and LIU Tianpeng. Nested MIMO radar: Coarrays, tensor modeling, and angle estimation[J]. IEEE Transactions on Aerospace and Electronic Systems, 2021, 57(1): 573–585. doi: 10.1109/TAES.2020.3034012
    [117] WANG Xianpeng, HUANG Mengxing, and WAN Liangtian. Joint 2D-DOD and 2D-DOA estimation for coprime EMVS-MIMO radar[J]. Circuits, Systems, and Signal Processing, 2021, 40(6): 2950–2966. doi: 10.1007/s00034-020-01605-5
    [118] ZHENG Guimei. DOA estimation in MIMO radar with non-perfectly orthogonal waveforms[J]. IEEE Communications Letters, 2017, 21(2): 414–417. doi: 10.1109/LCOMM.2016.2622691
    [119] LIAO Bin. Fast angle estimation for MIMO radar with nonorthogonal waveforms[J]. IEEE Transactions on Aerospace and Electronic Systems, 2018, 54(4): 2091–2096. doi: 10.1109/TAES.2018.2847958
    [120] WEN Fangqing. Computationally efficient DOA estimation algorithm for MIMO radar with imperfect waveforms[J]. IEEE Communications Letters, 2019, 23(6): 1037–1040. doi: 10.1109/LCOMM.2019.2911285
    [121] CHEN Peng, CAO Zhenxin, CHEN Zhimin, et al. Off-grid DOA estimation using sparse Bayesian learning in MIMO radar with unknown mutual coupling[J]. IEEE Transactions on Signal Processing, 2019, 67(1): 208–220. doi: 10.1109/TSP.2018.2881663
    [122] LIU Tingting, WEN Fangqing, ZHANG Lei, et al. Off-grid DOA estimation for colocated MIMO radar via reduced-complexity sparse Bayesian learning[J]. IEEE Access, 2019, 7: 99907–99916. doi: 10.1109/ACCESS.2019.2930531
    [123] CONG Jingyu, WANG Xianpeng, HUANG Mengxing, et al. Robust DOA estimation method for MIMO radar via deep neural networks[J]. IEEE Sensors Journal, 2021, 21(6): 7498–7507. doi: 10.1109/JSEN.2020.3046291
    [124] MA Yugang, ZENG Yonghong, and SUN Sumei. A deep learning based super resolution DoA estimator with single snapshot MIMO radar data[J]. IEEE Transactions on Vehicular Technology, 2022, 71(4): 4142–4155. doi: 10.1109/TVT.2022.3151674
    [125] BEKKERMAN I and TABRIKIAN J. Target detection and localization using MIMO radars and sonars[J]. IEEE Transactions on Signal Processing, 2006, 54(10): 3873–3883. doi: 10.1109/TSP.2006.879267
    [126] XU Luzhou, LI Jian, and STOICA P. Target detection and parameter estimation for MIMO radar systems[J]. IEEE Transactions on Aerospace and Electronic Systems, 2008, 44(3): 927–939. doi: 10.1109/TAES.2008.4655353
    [127] TANG Jun, LI Ning, WU Yong, et al. On detection performance of MIMO radar: A relative entropy-based study[J]. IEEE Signal Processing Letters, 2009, 16(3): 184–187. doi: 10.1109/LSP.2008.2011704
    [128] CUI Guolong, KONG Lingjiang, and YANG Xiaobo. Performance analysis of colocated MIMO radars with randomly distributed arrays in compound-Gaussian clutter[J]. Circuits, Systems, and Signal Processing, 2012, 31(4): 1407–1422. doi: 10.1007/s00034-011-9381-y
    [129] LIU Weijian, WANG Yongliang, LIU Jun, et al. Adaptive detection without training data in colocated MIMO radar[J]. IEEE Transactions on Aerospace and Electronic Systems, 2015, 51(3): 2469–2479. doi: 10.1109/TAES.2015.130754
    [130] LIU Jun, ZHOU Shenghua, LIU Weijian, et al. Tunable adaptive detection in colocated MIMO radar[J]. IEEE Transactions on Signal Processing, 2018, 66(4): 1080–1092. doi: 10.1109/TSP.2017.2778693
    [131] LIU Jun, HAN Jinwang, ZHANG Zijing, et al. Bayesian detection for MIMO radar in Gaussian clutter[J]. IEEE Transactions on Signal Processing, 2018, 66(24): 6549–6559. doi: 10.1109/TSP.2018.2879038
    [132] LIU Jun, HAN Jinwang, LIU Weijian, et al. Persymmetric Rao test for MIMO radar in Gaussian disturbance[J]. Signal Processing, 2019, 165: 30–36. doi: 10.1016/j.sigpro.2019.06.028
    [133] LIU Jun, HAN Jinwang, ZHANG Zijing, et al. Target detection exploiting covariance matrix structures in MIMO radar[J]. Signal Processing, 2019, 154: 174–181. doi: 10.1016/j.sigpro.2018.07.013
    [134] LIU Jun and LI Jian. Robust detection in MIMO radar with steering vector mismatches[J]. IEEE Transactions on Signal Processing, 2019, 67(20): 5270–5280. doi: 10.1109/TSP.2019.2939078
    [135] FORTUNATI S, SANGUINETTI L, GINI F, et al. Massive MIMO radar for target detection[J]. IEEE Transactions on Signal Processing, 2020, 68: 859–871. doi: 10.1109/TSP.2020.2967181
    [136] AHMED A M, AHMAD A A, FORTUNATI S, et al. A reinforcement learning based approach for multitarget detection in massive MIMO radar[J]. IEEE Transactions on Aerospace and Electronic Systems, 2021, 57(5): 2622–2636. doi: 10.1109/TAES.2021.3061809
    [137] LISI F, FORTUNATI S, GRECO M S, et al. Enhancement of a state-of-the-art RL-based detection algorithm for Massive MIMO radars[J]. IEEE Transactions on Aerospace and Electronic Systems, 2022.
    [138] YAN Junkun, LIU Hongwei, JIU Bo, et al. Simultaneous multibeam resource allocation scheme for multiple target tracking[J]. IEEE Transactions on Signal Processing, 2015, 63(12): 3110–3122. doi: 10.1109/TSP.2015.2417504
    [139] YAN Junkun, JIU Bo, LIU Hongwei, et al. Prior knowledge-based simultaneous multibeam power allocation algorithm for cognitive multiple targets tracking in clutter[J]. IEEE Transactions on Signal Processing, 2015, 63(2): 512–527. doi: 10.1109/TSP.2014.2371774
    [140] YUAN Ye, YI Wei, HOSEINNEZHAD R, et al. Robust power allocation for resource-aware multi-target tracking with colocated MIMO radars[J]. IEEE Transactions on Signal Processing, 2020, 69: 443–458. doi: 10.1109/TSP.2020.3047519
    [141] ZHANG Haowei, LIU Weijian, ZONG Binfeng, et al. An efficient power allocation strategy for maneuvering target tracking in cognitive MIMO radar[J]. IEEE Transactions on Signal Processing, 2021, 69: 1591–1602. doi: 10.1109/TSP.2020.3047227
    [142] SHI Yuchun, JIU Bo, YAN Junkun, et al. Data-driven simultaneous multibeam power allocation: When multiple targets tracking meets deep reinforcement learning[J]. IEEE Systems Journal, 2021, 15(1): 1264–1274. doi: 10.1109/JSYST.2020.2984774
    [143] YUAN Ye, YI Wei, KIRUBARAJAN T, et al. Scaled accuracy based power allocation for multi-target tracking with colocated MIMO radars[J]. Signal Processing, 2019, 158: 227–240. doi: 10.1016/j.sigpro.2019.01.014
    [144] SHARAGA N, TABRIKIAN J, and MESSER H. Optimal cognitive beamforming for target tracking in MIMO radar/sonar[J]. IEEE Journal of Selected Topics in Signal Processing, 2015, 9(8): 1440–1450. doi: 10.1109/JSTSP.2015.2467354
    [145] LI Zhengjie, XIE Junwei, ZHANG Haowei, et al. Joint beam selection and power allocation in cognitive collocated MIMO radar for potential guidance application under oppressive jamming[J]. Digital Signal Processing, 2022, 127: 103579. doi: 10.1016/j.dsp.2022.103579
    [146] ZHANG Haowei, ZONG Binfeng, and XIE Junwei. Power and bandwidth allocation for multi-target tracking in collocated MIMO radar[J]. IEEE Transactions on Vehicular Technology, 2020, 69(9): 9795–9806. doi: 10.1109/TVT.2020.3002899
    [147] ZHANG Haowei, LIU Weijian, XIE Junwei, et al. Space-time allocation for transmit beams in collocated MIMO radar[J]. Signal Processing, 2019, 164: 151–162. doi: 10.1016/j.sigpro.2019.04.003
    [148] ZHANG Haowei, XIE Junwei, SHI Junpeng, et al. Joint beam and waveform selection for the MIMO radar target tracking[J]. Signal Processing, 2019, 156: 31–40. doi: 10.1016/j.sigpro.2018.09.009
    [149] CHENG Ting, LI Shuyi, and ZHANG Jie. Adaptive resource management in multiple targets tracking for co‐located multiple input multiple output radar[J]. IET Radar, Sonar & Navigation, 2018, 12(9): 1038–1045. doi: 10.1049/iet-rsn.2018.5153
    [150] SU Yang, CHENG Ting, HE Zishu, et al. Adaptive simultaneous multibeam resource management for colocated MIMO radar in multiple targets tracking[J]. Signal Processing, 2020, 172: 107543. doi: 10.1016/j.sigpro.2020.107543
    [151] LI Xi, CHENG Ting, SU Yang, et al. Joint time-space resource allocation and waveform selection for the collocated MIMO radar in multiple targets tracking[J]. Signal Processing, 2020, 176: 107650. doi: 10.1016/j.sigpro.2020.107650
    [152] YAN Junkun, LIU Hongwei, PU Wenqiang, et al. Joint beam selection and power allocation for multiple target tracking in netted colocated MIMO radar system[J]. IEEE Transactions on Signal Processing, 2016, 64(24): 6417–6427. doi: 10.1109/TSP.2016.2607147
    [153] YI Wei, YUAN Ye, HOSEINNEZHAD R, et al. Resource scheduling for distributed multi-target tracking in netted colocated MIMO radar systems[J]. IEEE Transactions on Signal Processing, 2020, 68: 1602–1617. doi: 10.1109/TSP.2020.2976587
    [154] SU Yang, CHENG Ting, HE Zishu, et al. Joint waveform control and resource optimization for maneuvering targets tracking in netted colocated MIMO radar systems[J]. IEEE Systems Journal, 2021.
    [155] LU Yanxi, HAN Chunlin, HE Zishu, et al. Adaptive JSPA in distributed colocated MIMO radar network for multiple targets tracking[J]. IET Radar, Sonar & Navigation, 2019, 13(3): 410–419. doi: 10.1049/iet-rsn.2018.5278
    [156] SUN Hao, LI Ming, ZUO Lei, et al. Resource allocation for multitarget tracking and data reduction in radar network with sensor location uncertainty[J]. IEEE Transactions on Signal Processing, 2021, 69: 4843–4858. doi: 10.1109/TSP.2021.3101018
    [157] WANG Ting, ZHAO Yongjun, HUANG Jie, et al. A reduced-rank STAP algorithm for simultaneous clutter plus jamming suppression in airborne MIMO radar[C]. 2017 18th International Radar Symposium, Prague, 2017: 1–10.
    [158] 郭艺夺, 宫健, 黄大荣, 等. 机载MIMO雷达收发联合降维STAP算法统一理论框架[J]. 雷达学报, 2016, 5(5): 517–525. doi: 10.12000/JR16108

    GUO Yiduo, GONG Jian, HUANG Darong, et al. Unified theoretical frame of a joint transmitter-receiver reduced dimensional STAP method for an airborne MIMO radar[J]. Journal of Radars, 2016, 5(5): 517–525. doi: 10.12000/JR16108
    [159] ZHAO Xiang, HE Zishu, WANG Yikai, et al. Reduced-dimension STAP using a modified generalised sidelobe canceller for collocated MIMO radars[J]. IET Radar, Sonar & Navigation, 2018, 12(12): 1476–1483. doi: 10.1049/iet-rsn.2018.5239
    [160] PANG Xiaojiao, ZHAO Yongbo, CAO Chenghu, et al. Joint design of transmit beamspace and reduced‐dimension receiver filter for MIMO radar STAP[J]. IET Radar, Sonar & Navigation, 2021, 15(6): 655–665. doi: 10.1049/rsn2.12077
    [161] WARD J. Space-time adaptive processing for airborne radar[R]. Tech. Rep. 1015, 1994.
    [162] WANG Guohua and LU Yilong. Clutter rank of STAP in MIMO radar with waveform diversity[J]. IEEE Transactions on Signal Processing, 2010, 58(2): 938–943. doi: 10.1109/TSP.2009.2031301
    [163] FENG Weike, ZHANG Yongshun, and HE Xingyu. Complexity reduction and clutter rank estimation for MIMO-phased STAP radar with subarrays at transmission[J]. Digital Signal Processing, 2017, 60: 296–306. doi: 10.1016/j.dsp.2016.10.004
    [164] FENG Weike, ZHANG Yongshun, and HE Xingyu. Clutter rank estimation for reduce-dimension space-time adaptive processing MIMO radar[J]. IEEE Sensors Journal, 2017, 17(2): 238–239. doi: 10.1109/JSEN.2016.2632308
    [165] ZHOU Yan, CHEN Xiaoxuan, LI Yanyan, et al. A fast STAP method using persymmetry covariance matrix estimation for clutter suppression in airborne MIMO radar[J]. EURASIP Journal on Advances in Signal Processing, 2019, 2019(1): 13. doi: 10.1186/s13634-019-0610-z
    [166] HUANG Junsheng, SU Hongtao, and YANG Yang. Low-complexity robust adaptive beamforming method for MIMO radar based on covariance matrix estimation and steering vector mismatch correction[J]. IET Radar, Sonar & Navigation, 2019, 13(5): 712–720. doi: 10.1049/iet-rsn.2018.5416
    [167] SALARI S, CHAN F, CHAN Y T, et al. Joint DOA and clutter covariance matrix estimation in compressive sensing MIMO radar[J]. IEEE Transactions on Aerospace and Electronic Systems, 2019, 55(1): 318–331. doi: 10.1109/TAES.2018.2850459
    [168] BRELOY A, GINOLHAC G, GAO Yongchan, et al. MIMO filters based on robust rank-constrained Kronecker covariance matrix estimation[J]. Signal Processing, 2021, 187: 108116. doi: 10.1016/j.sigpro.2021.108116
    [169] SUN Guohao, LI Ming, TONG Jun, et al. Structured clutter covariance matrix estimation for airborne MIMO radar with limited training data[J]. IEEE Geoscience and Remote Sensing Letters, 2020, 19: 3500905. doi: 10.1109/LGRS.2020.3027818
    [170] XUE Ming, ROBERTS W, LI Jian, et al. MIMO radar sparse angle-Doppler imaging for ground moving target indication[C]. 2010 IEEE Radar Conference, Arlington, USA, 2010: 553–558.
    [171] TANG Bo and TANG Jun. Joint design of transmit waveforms and receive filters for MIMO radar space-time adaptive processing[J]. IEEE Transactions on Signal Processing, 2016, 64(18): 4707–4722. doi: 10.1109/TSP.2016.2569431
    [172] NOSRATI H, ABOUTANIOS E, and SMITH D. Multi-stage antenna selection for adaptive beamforming in MIMO radar[J]. IEEE Transactions on Signal Processing, 2020, 68: 1374–1389. doi: 10.1109/TSP.2020.2973544
    [173] O’ROURKE S M, SETLUR P, RANGASWAMY M, et al. Quadratic semidefinite programming for waveform-constrained joint filter-signal design in STAP[J]. IEEE Transactions on Signal Processing, 2020, 68: 1744–1759. doi: 10.1109/TSP.2020.2977271
    [174] SUN Guohao, HE Zishu, TONG Jun, et al. Mutual information-based waveform design for MIMO radar space-time adaptive processing[J]. IEEE Transactions on Geoscience and Remote Sensing, 2021, 59(4): 2909–2921. doi: 10.1109/TGRS.2020.3008320
    [175] LI Zhihui, TANG Bo, SHI Junpeng, et al. Maximin joint design of transmit waveform and receive filter bank for MIMO-STAP radar under target uncertainties[J]. IEEE Signal Processing Letters, 2022, 29: 179–183. doi: 10.1109/LSP.2021.3131092
    [176] LI Zhihui, SHI Junpeng, LIU Weijian, et al. Robust joint design of transmit waveform and receive filter for MIMO-STAP radar under target and clutter uncertainties[J]. IEEE Transactions on Vehicular Technology, 2022, 71(2): 1156–1171. doi: 10.1109/TVT.2021.3135513
    [177] LI Zhihui, MAO Yunxiang, ZHOU Qingsong, et al. Joint design of transmit beamforming and receive filter for transmit subaperturing MIMO STAP radar[J]. Multidimensional Systems and Signal Processing, 2022, 33(1): 143–165. doi: 10.1007/s11045-021-00790-z
    [178] ZHOU Qingsong, LI Zhihui, MAO Yunxiang, et al. Robust joint design of transmit beamforming and receive filter for TB-MIMO STAP radar[J]. Wireless Personal Communications, 2022: 1–14. doi: 10.1007/s11277-022-09733-8
    [179] KRIEGER G. MIMO-SAR: Opportunities and pitfalls[J]. IEEE Transactions on Geoscience and Remote Sensing, 2014, 52(5): 2628–2645. doi: 10.1109/TGRS.2013.2263934
    [180] LIU Shangwen, ZHANG Zenghui, and YU Wenxian. A space-time coding scheme with time and frequency comb-like chirp waveforms for MIMO-SAR[J]. IEEE Journal of Selected Topics in Signal Processing, 2017, 11(2): 391–403. doi: 10.1109/JSTSP.2016.2631945
    [181] QIN Lilong, VOROBYOV S A, and DONG Zhen. Joint cancelation of autocorrelation sidelobe and cross correlation in MIMO-SAR[J]. IEEE Geoscience and Remote Sensing Letters, 2017, 14(6): 931–935. doi: 10.1109/LGRS.2017.2688122
    [182] WANG Wenqin. Space-time coding MIMO-OFDM SAR for high-resolution imaging[J]. IEEE Transactions on Geoscience and Remote Sensing, 2011, 49(8): 3094–3104. doi: 10.1109/TGRS.2011.2116030
    [183] ZHU Rongqiang, ZHOU Jianxiong, JIANG Ge, et al. Range migration algorithm for near-field MIMO-SAR imaging[J]. IEEE Geoscience and Remote Sensing Letters, 2017, 14(12): 2280–2284. doi: 10.1109/LGRS.2017.2761838
    [184] ZHANG Wenji and HOORFAR A. A generalized approach for SAR and MIMO radar imaging of building interior targets with compressive sensing[J]. IEEE Antennas and Wireless Propagation Letters, 2015, 14: 1052–1055. doi: 10.1109/LAWP.2015.2394746
    [185] WANG Yong and LI Xuelu. 3-D imaging based on combination of the ISAR technique and a MIMO radar system[J]. IEEE Transactions on Geoscience and Remote Sensing, 2018, 56(10): 6033–6054. doi: 10.1109/TGRS.2018.2829912
    [186] WANG Dangwei, MA Xiaoyan, CHEN A L, et al. High-resolution imaging using a wideband MIMO radar system with two distributed arrays[J]. IEEE Transactions on Image Processing, 2010, 19(5): 1280–1289. doi: 10.1109/TIP.2009.2039623
    [187] MA Changzheng, YEO T S, TAN C S, et al. Three-dimensional imaging of targets using colocated MIMO radar[J]. IEEE Transactions on Geoscience and Remote Sensing, 2011, 49(8): 3009–3021. doi: 10.1109/TGRS.2011.2119321
    [188] TAN Xing, ROBERTS W, LI Jian, et al. Sparse learning via iterative minimization with application to MIMO radar imaging[J]. IEEE Transactions on Signal Processing, 2011, 59(3): 1088–1101. doi: 10.1109/TSP.2010.2096218
    [189] DICKMANN J, KLAPPSTEIN J, HAHN M, et al. Automotive radar the key technology for autonomous driving: From detection and ranging to environmental understanding[C]. 2016 IEEE Radar Conference, Philadelphia, USA, 2016: 1–6.
    [190] ZHANG Wei, WANG Ping, HE Ningyu, et al. Super resolution DOA based on relative motion for FMCW automotive radar[J]. IEEE Transactions on Vehicular Technology, 2020, 69(8): 8698–8709. doi: 10.1109/TVT.2020.2999640
    [191] PATOLE S M, TORLAK M, WANG Dan, et al. Automotive radars: A review of signal processing techniques[J]. IEEE Signal Processing Magazine, 2017, 34(2): 22–35. doi: 10.1109/MSP.2016.2628914
    [192] ROHLING H. Radar CFAR thresholding in clutter and multiple target situations[J]. IEEE Transactions on Aerospace and Electronic Systems, 1983, AES-19(4): 608–621. doi: 10.1109/TAES.1983.309350
    [193] ZHANG Wei, HE Ningyu, HE Zishu, et al. Approach of 2D direction of arrival estimation of FMCW traffic radar by utilising 1D array[J]. Electronics Letters, 2020, 56(2): 97–99. doi: 10.1049/el.2019.3072
    [194] HU Xueyao, LI Yang, LU Man, et al. A multi-carrier-frequency random-transmission chirp sequence for TDM MIMO automotive radar[J]. IEEE Transactions on Vehicular Technology, 2019, 68(4): 3672–3685. doi: 10.1109/TVT.2019.2900357
    [195] PFEFFER C, FEGER R, WAGNER C, et al. FMCW MIMO radar system for frequency-division multiple TX-beamforming[J]. IEEE Transactions on Microwave Theory and Techniques, 2013, 61(12): 4262–4274. doi: 10.1109/TMTT.2013.2287675
    [196] SAMMARTINO P F, BAKER C J, and GRIFFITHS H D. Frequency diverse MIMO techniques for radar[J]. IEEE Transactions on Aerospace and Electronic Systems, 2013, 49(1): 201–222. doi: 10.1109/TAES.2013.6404099
    [197] GUERMANDI D, SHI Qixian, DEWILDE A, et al. A 79-GHz 2×2 MIMO PMCW radar SoC in 28-nm CMOS[J]. IEEE Journal of Solid-State Circuits, 2017, 52(10): 2613–2626. doi: 10.1109/JSSC.2017.2723499
    [198] FUCHS J, GARDILL M, LÜBKE M, et al. A machine learning perspective on automotive radar direction of arrival estimation[J]. IEEE Access, 2022, 10: 6775–6797. doi: 10.1109/ACCESS.2022.3141587
    [199] LIU Zhenyu, WU Jiayan, YANG Siyuan, et al. DOA estimation method based on EMD and MUSIC for mutual interference in FMCW automotive radars[J]. IEEE Geoscience and Remote Sensing Letters, 2021, 19: 3504005. doi: 10.1109/LGRS.2021.3058729
    [200] LIN Jiaying, DIEKMANN P, FRAMING C E, et al. Maritime environment perception based on deep learning[J]. IEEE Transactions on Intelligent Transportation Systems, 2022.
    [201] ZHENG Chundi, CHEN Huihui, and WANG Aiguo. High angular resolution for 77GHz FMCW radar via a sparse weighted quadratic minimization[J]. IEEE Sensors Journal, 2021, 21(9): 10637–10646. doi: 10.1109/JSEN.2021.3060428
    [202] LI Bin, WANG Shusen, FENG Zhiyong, et al. Fast pseudospectrum estimation for automotive massive MIMO radar[J]. IEEE Internet of Things Journal, 2021, 8(20): 15303–15316. doi: 10.1109/JIOT.2021.3052512
    [203] BIALER O, JONAS A, and TIRER T. Super resolution wide aperture automotive radar[J]. IEEE Sensors Journal, 2021, 21(16): 17846–17858. doi: 10.1109/JSEN.2021.3085677
    [204] ZHANG Shuimei, AHMED A, ZHANG Y D, et al. Enhanced DOA estimation exploiting multi-frequency sparse array[J]. IEEE Transactions on Signal Processing, 2021, 69: 5935–5946. doi: 10.1109/TSP.2021.3122292
    [205] SUN Shunqiao and ZHANG Y D. 4D automotive radar sensing for autonomous vehicles: A sparsity-oriented approach[J]. IEEE Journal of Selected Topics in Signal Processing, 2021, 15(4): 879–891. doi: 10.1109/JSTSP.2021.3079626
    [206] WANG Hui, CHEN Xiang, and SUN Jiazheng. FMCW SAR imaging algorithm of sliding spotlight mode[J]. IEEE Geoscience and Remote Sensing Letters, 2021, 19: 4020205. doi: 10.1109/LGRS.2021.3119848
    [207] WANG Shuai, WANG Bingnan, XIANG Maosheng, et al. Signal modeling and imaging of frequency-modulated continuous wave sliding spotlight synthetic aperture Ladar[J]. IEEE Geoscience and Remote Sensing Letters, 2020, 19: 4007305. doi: 10.1109/LGRS.2020.3043747
    [208] LEE W H and LEE S. Geometric sequence decomposition-based interference cancellation in automotive radar systems[J]. IEEE Access, 2022, 10: 4318–4327. doi: 10.1109/ACCESS.2022.3141543
    [209] KIM G, MUN J, and LEE J. A peer-to-peer interference analysis for automotive chirp sequence radars[J]. IEEE Transactions on Vehicular Technology, 2018, 67(9): 8110–8117. doi: 10.1109/TVT.2018.2848898
    [210] ROCK J, ROTH W, TOTH M, et al. Resource-efficient deep neural networks for automotive radar interference mitigation[J]. IEEE Journal of Selected Topics in Signal Processing, 2021, 15(4): 927–940. doi: 10.1109/JSTSP.2021.3062452
    [211] BOSE A, TANG Bo, SOLTANALIAN M, et al. Mutual interference mitigation for multiple connected automotive radar systems[J]. IEEE Transactions on Vehicular Technology, 2021, 70(10): 11062–11066. doi: 10.1109/TVT.2021.3108714
    [212] WANG Yong, SHU Yuhong, JIA Xiuqian, et al. Multifeature fusion-based hand gesture sensing and recognition system[J]. IEEE Geoscience and Remote Sensing Letters, 2021, 19: 3507005. doi: 10.1109/LGRS.2021.3086136
    [213] CHENG Yuwei and LIU Yimin. Person reidentification based on automotive radar point clouds[J]. IEEE Transactions on Geoscience and Remote Sensing, 2021, 60: 5101913. doi: 10.1109/TGRS.2021.3073664
    [214] SHI Kun, SHI Zhiguo, YANG Chaoqun, et al. Road-map aided GM-PHD filter for multivehicle tracking with automotive radar[J]. IEEE Transactions on Industrial Informatics, 2022, 18(1): 97–108. doi: 10.1109/TII.2021.3073032
  • 加载中
图(5)
计量
  • 文章访问数: 
  • HTML全文浏览量: 
  • PDF下载量: 
  • 被引次数: 0
出版历程
  • 收稿日期:  2022-06-29
  • 修回日期:  2022-07-27
  • 网络出版日期:  2022-08-18
  • 刊出日期:  2022-10-28

目录

    /

    返回文章
    返回