波形分集阵列新体制雷达研究进展与展望

朱圣棋 余昆 许京伟 兰岚 李西敏

朱圣棋, 余昆, 许京伟, 等. 波形分集阵列新体制雷达研究进展与展望[J]. 雷达学报, 2021, 10(6): 795–810. doi: 10.12000/JR21188
引用本文: 朱圣棋, 余昆, 许京伟, 等. 波形分集阵列新体制雷达研究进展与展望[J]. 雷达学报, 2021, 10(6): 795–810. doi: 10.12000/JR21188
ZHU Shengqi, YU Kun, XU Jingwei, et al. Research progress and prospect for the noval waveform diverse array radar[J]. Journal of Radars, 2021, 10(6): 795–810. doi: 10.12000/JR21188
Citation: ZHU Shengqi, YU Kun, XU Jingwei, et al. Research progress and prospect for the noval waveform diverse array radar[J]. Journal of Radars, 2021, 10(6): 795–810. doi: 10.12000/JR21188

波形分集阵列新体制雷达研究进展与展望

DOI: 10.12000/JR21188 CSTR: 32380.14.JR21188
基金项目: 国家自然科学基金(61931016, 62071344, 62101402, 61911530246),陕西省杰出青年科学基金(2019JC-16),中国博士后科学基金(2021TQ0261, 2021M702547)
详细信息
    作者简介:

    朱圣棋(1984–),男,江西赣州人,博士,教授。2010年在西安电子科技大学雷达信号处理国家重点实验室获得博士学位,现为西安电子科技大学雷达信号处理国家重点实验室教授。主要研究方向为雷达运动目标检测、频率分集阵列、波形分集阵列雷达信号处理

    余 昆(1995–),男,江苏泰州人,西安电子科技大学雷达信号处理国家重点实验室在读博士研究生。主要研究方向为合成孔径雷达成像、波形分集阵列雷达抗干扰技术等

    许京伟(1987–),男,山东日照人,博士,副教授。2015年在西安电子科技大学雷达信号处理国家重点实验室获得博士学位,现为西安电子科技大学雷达信号处理国家重点实验室副教授。主要研究方向为雷达系统建模、阵列信号处理、波形分集雷达(频率分集阵列和空时编码阵列)等

    兰 岚(1993–),女,陕西西安人,博士,准聘副教授。2020年在西安电子科技大学雷达信号处理国家重点实验室获得博士学位,现为西安电子科技大学雷达信号处理国家重点实验室准聘副教授。主要研究方向为波形分集阵列、雷达抗干扰方法、MIMO雷达技术

    李西敏(1983–),男,山东聊城人,博士。现担任西安电子科技大学雷达信号处理国家重点实验室副教授。主要研究方向为目标电磁散射建模、波形分集雷达抗干扰等

    通讯作者:

    朱圣棋 zhushengqi8@163.com

    责任主编:王文钦 Corresponding Editor: WANG Wenqin

  • 中图分类号: TN957

Research Progress and Prospect for the Noval Waveform Diverse Array Radar

Funds: The National Natural Science Foundation of China (61931016, 62071344, 62101402, 61911530246), The Excellent Youth Foundation of Shaanxi Scientific Committee (2019JC-16), The China Postdocatoral Science Foundation (2021TQ0261, 2021M702547)
More Information
  • 摘要: 传统雷达存在主瓣欺骗式干扰难抑制、距离模糊杂波难分离等问题。一方面,由于增加了发射维自由度,波形分集阵列新体制的提出改变了雷达获取信息的方式。另一方面,通过灵活的系统设计和信号处理方法,增强了信息提取能力,在抗干扰、检测等方面比传统相控阵、MIMO雷达有明显的性能提升。该文总结了波形分集阵列雷达的国内外最新研究进展,分别从频率、时间和相位调制方式给出阵列分集体制的基本概念,并对波形分集阵列雷达的研究趋势进行了梳理。在现有基础理论和关键技术研究的基础上,验证波形分集阵列在提供目标新信息、增加系统额外可控自由度方面的优势,提升了新体制雷达的多维探测能力。

     

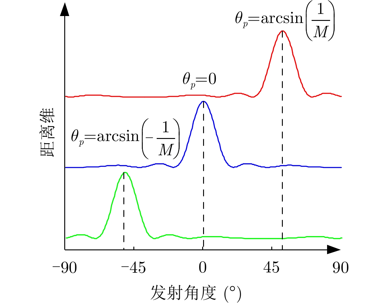
  • 图  1  方向图对比

    Figure  1.  Comparison of transmit pattern

    图  2  TDA发射方向图

    Figure  2.  Transmit pattern of TDA

    图  3  EPC发射波束示意图

    Figure  3.  Schematic diagram of transmit pattern for EPC radar

    图  4  发射方向图随距离的变化关系

    Figure  4.  The relationship between transmit pattern and range

    图  5  假目标产生示意图

    Figure  5.  Schematic diagram of false target generation

    图  6  干扰抑制原理

    Figure  6.  Principle of interference suppression

    图  7  FDA雷达主瓣欺骗式干扰抑制结果

    Figure  7.  Suppression results of deceptive interference in the mainlobe with FDA radar

    图  8  FDA雷达距离模糊信号的空间谱

    Figure  8.  Spatial spectrum of range ambiguious signals for FDA radar

    图  9  EPC相位编码方案

    Figure  9.  Phase coding scheme for EPC

    图  10  距离模糊回波分离方法

    Figure  10.  Separation method for range ambiguious echo

    图  11  机载雷达距离模糊杂波区域几何示意图

    Figure  11.  Geometric configuration of range ambiguity clutter for airborne radar

    图  12  距离模糊杂波功率谱示意图

    Figure  12.  Power distribution of range ambiguity clutter

    图  13  杂波功率谱IF曲线

    Figure  13.  IF curve of clutter power spectrum

    图  14  原理样机组成部件

    Figure  14.  Components of principle prototype

    图  15  外场试验场景及要素

    Figure  15.  Experiment scenarios and elements

    图  16  实际外场测试场景

    Figure  16.  Scenario of the actual outfield experiment

    图  17  杂波抑制结果

    Figure  17.  Results of clutter suppression

    图  18  干扰抑制结果

    Figure  18.  Results of interference suppression

    表  1  FDA和PA仿真参数

    Table  1.   Simulation parameters of FDA and PA

    参数数值参数数值
    发射阵元数M10带宽B20 MHz
    脉宽Tp20 μs采样率fs30 MHz
    载频f016 GHz阵元间距dλ0/2
    频偏1/Tp
    下载: 导出CSV

    表  2  TDA仿真参数

    Table  2.   Simulation parameters of TDA

    参数数值参数数值
    发射阵元数M10带宽B20 MHz
    脉宽Tp20 μs采样率fs30 MHz
    载频f016 GHz阵元间距dλ0/2
    时延1/B
    下载: 导出CSV

    表  3  雷达系统参数

    Table  3.   Parameters of radar

    参数数值参数数值
    收发通道数16带宽B50 MHz
    脉宽Tp2.5 μs采样率fs200 MHz
    载频f09.5 GHz阵元间距dλ0/2
    下载: 导出CSV
  • [1] WICKS M C. A brief history of waveform diversity[C]. 2009 IEEE Radar Conference, Pasadena, USA, 2009: 328–333. doi: 10.1109/RADAR.2009.4977142.
    [2] CAPRARO G T, BRADARIC I, and WICKS M C. Waveform diversity and electromagnetic compatibility[C]. 2007 IEEE International Symposium on Electromagnetic Compatibility, Honolulu, USA, 2007: 1–7. doi: 10.1109/ISEMC.2007.40.
    [3] GARNHAM J W and ROMAN J R. Why and what is waveform diversity, and how does it affect electromagnetics?[C]. 2007 IEEE International Symposium on Electromagnetic Compatibility, Honolulu, USA, 2007: 1–5. doi: 10.1109/ISEMC.2007.41.
    [4] GARNHAM J W and ROMAN J R. How will waveform diversity affect electromagnetic compatibility?[C]. 2007 International Waveform Diversity and Design Conference, Pisa, Italy, 2007: 98–101. doi: 10.1109/WDDC.2007.4339388.
    [5] NEHORAI A, GINI F, GRECO M S, et al. Introduction to the issue on adaptive waveform design for agile sensing and communication[J]. IEEE Journal of Selected Topics in Signal Processing, 2007, 1(1): 2–5. doi: 10.1109/jstsp.2007.897065
    [6] PAPANDREOU-SUPPAPPOLA A, NEHORAI A, and CALDERBANK R. Waveform-agile sensing and processing [From the Guest Editors][J]. IEEE Signal Processing Magazine, 2009, 26(1): 10–11. doi: 10.1109/msp.2008.930413
    [7] 兰岚, 许京伟, 朱圣棋, 等. 波形分集阵列雷达抗干扰进展[J]. 系统工程与电子技术, 2021, 43(6): 1437–1451. doi: 10.12305/j.issn.1001-506X.2021.06.01

    LAN Lan, XU Jingwei, ZHU Shengqi, et al. Advances in anti-jamming using waveform diverse array radar[J]. Systems Engineering and Electronics, 2021, 43(6): 1437–1451. doi: 10.12305/j.issn.1001-506X.2021.06.01
    [8] ANTONIK P, WICKS M C, GRIFFITHS H D, et al. Multi-mission multi-mode waveform diversity[C]. 2006 IEEE Conference on Radar, Verona, USA, 2006: 580–582. doi: 10.1109/RADAR.2006.1631858.
    [9] 许京伟, 朱圣棋, 廖桂生, 等. 频率分集阵雷达技术探讨[J]. 雷达学报, 2018, 7(2): 167–182. doi: 10.12000/JR18023

    XU Jingwei, ZHU Shengqi, LIAO Guisheng, et al. An overview of frequency diverse array radar technology[J]. Journal of Radars, 2018, 7(2): 167–182. doi: 10.12000/JR18023
    [10] WANG Wenqin. Overview of frequency diverse array in radar and navigation applications[J]. IET Radar, Sonar & Navigation, 2016, 10(6): 1001–1012. doi: 10.1049/iet-rsn.2015.0464
    [11] 王文钦, 邵怀宗, 陈慧. 频控阵雷达: 概念、原理与应用[J]. 电子与信息学报, 2016, 38(4): 1000–1011. doi: 10.11999/JEIT151235

    WANG Wenqin, SHAO Huaizong, and CHEN Hui. Frequency diverse array radar: Concept, principle and application[J]. Journal of Electronics &Information Technology, 2016, 38(4): 1000–1011. doi: 10.11999/JEIT151235
    [12] 王文钦, 陈慧, 郑植, 等. 频控阵雷达技术及其应用研究进展[J]. 雷达学报, 2018, 7(2): 153–166. doi: 10.12000/JR18029

    WANG Wenqin, CHEN Hui, ZHENG Zhi, et al. Advances on frequency diverse array radar and its applications[J]. Journal of Radars, 2018, 7(2): 153–166. doi: 10.12000/JR18029
    [13] SECMEN M, DEMIR S, HIZAL A, et al. Frequency diverse array antenna with periodic time modulated pattern in range and angle[C]. 2007 IEEE Radar Conference, Waltham, USA, 2007: 427–430. doi: 10.1109/RADAR.2007.374254.
    [14] XU Yanhong, SHI Xiaowei, XU Jingwei, et al. Beampattern analysis of planar frequency diverse array[J]. International Journal of RF and Microwave Computer-Aided Engineering, 2015, 25(5): 436–444. doi: 10.1002/mmce.20881
    [15] WANG Wenqin and SO H C. Transmit subaperturing for range and angle estimation in frequency diverse array radar[J]. IEEE Transactions on Signal Processing, 2014, 62(8): 2000–2011. doi: 10.1109/TSP.2014.2305638
    [16] KHAN W, QURESHI I M, and SAEED S. Frequency diverse array radar with logarithmically increasing frequency offset[J]. IEEE Antennas and Wireless Propagation Letters, 2014, 14: 499–502. doi: 10.1109/LAWP.2014.2368977
    [17] SHAO Huaizong, DAI Jun, XIONG Jie, et al. Dot-shaped range-angle beampattern synthesis for frequency diverse array[J]. IEEE Antennas and Wireless Propagation Letters, 2016, 15: 1703–1706. doi: 10.1109/LAWP.2016.2527818
    [18] LIU Yimin, RUAN Hang, WANG Lei, et al. The random frequency diverse array: A new antenna structure for uncoupled direction-range indication in active sensing[J]. IEEE Journal of Selected Topics in Signal Processing, 2017, 11(2): 295–308. doi: 10.1109/JSTSP.2016.2627183
    [19] BASIT A, QURESHI I M, KHAN W, et al. Beam pattern synthesis for an FDA radar with hamming window-based nonuniform frequency offset[J]. IEEE Antennas and Wireless Propagation Letters, 2017, 16: 2283–2286. doi: 10.1109/LAWP.2017.2714761
    [20] XIONG Jie, WANG Wenqin, SHAO Huaizong, et al. Frequency diverse array transmit beampattern optimization with genetic algorithm[J]. IEEE Antennas and Wireless Propagation Letters, 2016, 16: 469–472. doi: 10.1109/LAWP.2016.2584078
    [21] LAN Lan, LIAO Guisheng, XU Jingwei, et al. Range-angle pencil-beamforming for non-uniformly distributed array radar[J]. Multidimensional Systems and Signal Processing, 2018, 29(3): 867–886. doi: 10.1007/s11045-017-0477-9
    [22] WANG Wenqin, DAI Miaomiao, and ZHENG Zhi. FDA Radar ambiguity function characteristics analysis and optimization[J]. IEEE Transactions on Aerospace and Electronic Systems, 2018, 54(3): 1368–1380. doi: 10.1109/TAES.2017.2785598
    [23] XU Yanhong, SHI Xiaowei, XU Jingwei, et al. Range-angle-dependent beamforming of pulsed frequency diverse array[J]. IEEE Transactions on Antennas and Propagation, 2015, 63(7): 3262–3267. doi: 10.1109/TAP.2015.2423698
    [24] SHAO Huaizong, LI Xiong, WANG Wenqin, et al. Time-invariant transmit beampattern synthesis via weight design for FDA radar[C]. 2016 IEEE Radar Conference, Philadelphia, USA, 2016: 1–4. doi: 10.1109/RADAR.2016.7485212.
    [25] WANG Yuxi, LI Wei, HUANG Guoce, et al. Time-invariant range-angle-dependent beampattern synthesis for FDA radar targets tracking[J]. IEEE Antennas and Wireless Propagation Letters, 2017, 16: 2375–2379. doi: 10.1109/LAWP.2017.2718580
    [26] CHEN Baoxin, CHEN Xiaolong, HUANG Yong, et al. Transmit beampattern synthesis for the FDA radar[J]. IEEE Antennas and Wireless Propagation Letters, 2018, 17(1): 98–101. doi: 10.1109/LAWP.2017.2776957
    [27] XU Jingwei, LIAO Guisheng, ZHU Shengqi, et al. Joint range and angle estimation using MIMO radar with frequency diverse array[J]. IEEE Transactions on Signal Processing, 2015, 63(13): 3396–3410. doi: 10.1109/TSP.2015.2422680
    [28] XIONG Jie, WANG Wenqin, and GAO Kuandong. FDA-MIMO radar range-angle estimation: CRLB, MSE, and resolution analysis[J]. IEEE Transactions on Aerospace and Electronic Systems, 2018, 54(1): 284–294. doi: 10.1109/TAES.2017.2756498
    [29] 卢刚. 雷达有源假目标抑制方法研究[D]. [博士论文], 电子科技大学, 2008.

    LU Gang. Study of algorithms on suppression of radar active false targets[D]. [Ph. D. dissertation], University of Electronic Science and Technology of China, 2008.
    [30] XU Jingwei, LIAO Guisheng, ZHU Shengqi, et al. Deceptive jamming suppression with frequency diverse MIMO radar[J]. Signal Processing, 2015, 113: 9–17. doi: 10.1016/j.sigpro.2015.01.014
    [31] LAN Lan, LIAO Guisheng, XU Jingwei, et al. Suppression approach to main-beam deceptive jamming in FDA-MIMO radar using nonhomogeneous sample detection[J]. IEEE Access, 2018, 6(1): 34582–34597. doi: 10.1109/ACCESS.2018.2850816
    [32] LAN Lan, LIAO Guisheng, and XU Jingwei. A method to suppress the main-beam deceptive jamming in FDA-MIMO radar with random polyphase codes[C]. The 10th Sensor Array and Multichannel Signal Processing Workshop, Sheffield, UK, 2018: 509–513. doi: 10.1109/SAM.2018.8448892.
    [33] 谭清莉, 张艺乐, 张伟, 等. FDA-MIMO雷达主瓣欺骗干扰对抗方法[J]. 雷达科学与技术, 2017, 15(6): 671–676. doi: 10.3969/j.issn.1672-2337.2017.06.017

    TAN Qingli, ZHANG Yile, ZHANG Wei, et al. A method of mainlobe deception jamming countermeasure in FDA-MIMO radar[J]. Radar Science and Technology, 2017, 15(6): 671–676. doi: 10.3969/j.issn.1672-2337.2017.06.017
    [34] 张昭建, 谢军伟, 李欣, 等. 基于FDA-MIMO的距离欺骗干扰鉴别方法[J]. 北京航空航天大学学报, 2017, 43(4): 738–746. doi: 10.13700/j.bh.1001-5965.2016.0257

    ZHANG Zhaojian, XIE Junwei, LI Xin, et al. Discrimination method of range deception jamming based on FDA-MIMO[J]. Journal of Beijing University of Aeronautics and Astronautics, 2017, 43(4): 738–746. doi: 10.13700/j.bh.1001-5965.2016.0257
    [35] 张劲东, 李彧晟, 朱晓华. 基于波形分集的雷达抗欺骗干扰[J]. 数据采集与处理, 2010, 25(2): 138–142. doi: 10.3969/j.issn.1004-9037.2010.02.002

    ZHANG Jindong, LI Yusheng, and ZHU Xiaohua. Approach of radar against deception jamming based on waveform diversity[J]. Journal of Data Acquisition &Processing, 2010, 25(2): 138–142. doi: 10.3969/j.issn.1004-9037.2010.02.002
    [36] LI Zhihui, ZHANG Yongshun, GE Qichao, et al. A robust deceptive jamming suppression method based on covariance matrix reconstruction with frequency diverse array MIMO radar[C]. 2017 IEEE International Conference on Signal Processing, Communications and Computing (ICSPCC), Xiamen, China, 2017: 1–5. doi: 10.1109/ICSPCC.2017.8242590.
    [37] WANG Yuzhuo and ZHU Shengqi. Range Ambiguous clutter suppression for FDA-MIMO forward looking airborne radar based on main lobe correction[J]. IEEE Transactions on Vehicular Technology, 2021, 70(3): 2032–2046. doi: 10.1109/TVT.2021.3057436
    [38] WANG Yuzhuo and ZHU Shengqi. Main-beam range deceptive jamming suppression with simulated annealing FDA-MIMO radar[J]. IEEE Sensors Journal, 2020, 20(16): 9056–9070. doi: 10.1109/JSEN.2020.2982194
    [39] XU Jingwei, ZHU Shengqi, and LIAO Guisheng. Range ambiguous clutter suppression for airborne FDA-STAP radar[J]. IEEE Journal of Selected Topics in Signal Processing, 2015, 9(8): 1620–1631. doi: 10.1109/JSTSP.2015.2465353
    [40] XU Jingwei, LIAO Guisheng, and SO H C. Space-time adaptive processing with vertical frequency diverse array for range-ambiguous clutter suppression[J]. IEEE Transactions on Geoscience and Remote Sensing, 2016, 54(9): 5352–5364. doi: 10.1109/TGRS.2016.2561308
    [41] XU Jingwei, LIAO Guisheng, ZHANG Yuhong, et al. An adaptive range-angle-Doppler processing approach for FDA-MIMO radar using three-dimensional localization[J]. IEEE Journal of Selected Topics in Signal Processing, 2017, 11(2): 309–320. doi: 10.1109/JSTSP.2016.2615269
    [42] WEN Cai, PENG Jinye, ZHOU Yan, et al. Enhanced three-dimensional joint domain localized STAP for airborne FDA-MIMO radar under dense false-target jamming scenario[J]. IEEE Sensors Journal, 2018, 8(10): 4154–4166. doi: 10.1109/JSEN.2018.2820905
    [43] WANG Wenqin, SO H C, and SHAO Huaizong. Nonuniform frequency diverse array for range-angle imaging of targets[J]. IEEE Sensors Journal, 2014, 14(8): 2469–2476. doi: 10.1109/JSEN.2014.2304720
    [44] 王成浩, 廖桂生, 许京伟. FDA-SAR 高分辨宽测绘带成像距离解模糊方法[J]. 电子学报, 2017, 45(9): 2085–2091. doi: 10.3969/j.issn.0372-2112.2017.09.005

    WANG Chenghao, LIAO Guisheng, and XU Jingwei. Range ambiguity resolving method for high-resolution and wide-swath imaging with FDA-SAR[J]. Acta Electronica Sinica, 2017, 45(9): 2085–2091. doi: 10.3969/j.issn.0372-2112.2017.09.005
    [45] XU Luzhou, LI Jian, and STOICA P. Radar imaging via adaptive MIMO techniques[C]. The 14th European Signal Processing Conference, Florence, Italy, 2006.
    [46] LI Jian and STOICA P. MIMO radar with colocated antennas[J]. IEEE Signal Processing Magazine, 2007, 24(5): 106–114. doi: 10.1109/MSP.2007.904812
    [47] TABRIKIAN J. Bounds for target localization by MIMO radars[C]. The Fourth IEEE Workshop on Sensor Array and Multichannel Processing, 2006, Waltham, USA, 2006: 278–281. doi: 10.1109/SAM.2006.1706137.
    [48] HUA Guang and ABEYSEKERA S S. MIMO radar transmit beampattern design with ripple and transition band control[J]. IEEE Transactions on Signal Processing, 2013, 61(11): 2963–2974. doi: 10.1109/TSP.2013.2252173
    [49] BABUR G, AUBRY P, and CHEVALIER F L. Space-time radar waveforms: Circulating codes[J]. Journal of Electrical and Computer Engineering, 2013, 2013: 809691. doi: 10.1155/2013/809691
    [50] CHEVALIER F L. Space-time transmission and coding for airborne radars[J]. Radar Science and Technology, 2008, 6(6): 411–421.
    [51] MELVIN W L and SCHEER J A. Principles of Modern Radar: Advanced Techniques[M]. Edison: SciTech, 2013.
    [52] BABUR G, AUBRY P, and CHEVALIER F L. Space-time codes for active antenna systems: Comparative performance analysis[C]. The IET International Radar Conference 2013, Xi’an, China, 2013: 1–6. doi: 10.1049/cp.2013.0240.
    [53] FAUCON T, PINAUD G, and CHEVALIER F L. Mismatched filtering for circulating space-time codes[C]. The IET International Radar Conference 2015, Hangzhou, China, 2015. doi: 10.1049/cp.2015.1185.
    [54] BABUR G, AUBRY P, and CHEVALIER F L. Simple transmit diversity technique for phased array radar[J]. IET Radar, Sonar & Navigation, 2016, 10(6): 1046–1056. doi: 10.1049/iet-rsn.2015.0311
    [55] ROUSSEL K, BABUR G, and CHEVALIER F L. Optimization of low sidelobes radar waveforms: Circulating codes[C]. 2014 International Radar Conference, Lille, France, 2014: 1–6. doi: 10.1109/RADAR.2014.7060290.
    [56] BABUR G, AUBRY P J, and CHEVALIER F L. Antenna coupling effects for space-time radar waveforms: Analysis and calibration[J]. IEEE Transactions on Antennas and Propagation, 2014, 62(5): 2572–2586. doi: 10.1109/TAP.2014.2309111
    [57] BABUR G, MANOKHIN G O, GELTSER A A, et al. Low-cost digital beamforming on receive in phased array radar[J]. IEEE Transactions on Aerospace and Electronic Systems, 2017, 53(3): 1355–1364. doi: 10.1109/TAES.2017.2671078
    [58] BABUR G, MANOKHIN G O, MONASTYREV E A, et al. Simple calibration technique for phased array radar systems[J]. Progress in Electromagnetics Research M, 2017, 55: 109–119. doi: 10.2528/PIERM16101203
    [59] LI Shengyuan, LIU Nan, ZHANG Linrang, et al. Transmit beampattern synthesis for MIMO radar using extended circulating code[J]. IET Radar, Sonar & Navigation, 2018, 12(6): 610–616. doi: 10.1049/iet-rsn.2017.0386
    [60] WANG Huake, LIAO Guisheng, ZHANG Yuhong, et al. Transmit beampattern synthesis for chirp space-time coding array by time delay design[J]. Digital Signal Processing, 2021, 110: 102901. doi: 10.1016/j.dsp.2020.102901
    [61] WANG Huake, LIAO Guisheng, XU Jingwei, et al. Direction-of-Arrival estimation for circulating space-time coding arrays: From beamspace MUSIC to spatial smoothing in the transform domain[J]. Sensors, 2018, 18(11): 3689. doi: 10.3390/s18113689
    [62] LI Shengyuan, ZHANG Linrang, LIU Nan, et al. Transmit diversity technique based on joint slow-time coding with circulating code[J]. IET Radar, Sonar & Navigation, 2017, 11(8): 1243–1250. doi: 10.1049/iet-rsn.2016.0595
    [63] 王华柯, 廖桂生, 许京伟, 等. 空时编码阵波束域超分辨角度估计方法[J]. 系统工程与电子技术, 2019, 41(7): 1433–1440. doi: 10.3969/j.issn.1001-506X.2019.07.01

    WANG Huake, LIAO Guisheng, XU Jingwei, et al. Beam-space MUSIC spectral estimation method based on the Space-time coding array[J]. Systems Engineering and Electronics, 2019, 41(7): 1433–1440. doi: 10.3969/j.issn.1001-506X.2019.07.01
    [64] NUNN C J and COXSON G E. Best-known autocorrelation peak sidelobe levels for binary codes of length 71 to 105[J]. IEEE Transactions on Aerospace and Electronic Systems, 2008, 44(1): 392–395. doi: 10.1109/TAES.2008.4517015
    [65] NUNN C J and COXSON G E. Polyphase pulse compression codes with optimal peak and integrated sidelobes[J]. IEEE Transactions on Aerospace and Electronic Systems, 2009, 45(2): 775–781. doi: 10.1109/TAES.2009.5089560
    [66] BORDONI F, YOUNIS M, and KRIEGER G. Ambiguity suppression by azimuth phase coding in multichannel SAR systems[J]. IEEE Transactions on Geoscience and Remote Sensing, 2012, 50(2): 617–629. doi: 10.1109/TGRS.2011.2161672
    [67] WANG Hanbing, ZHANG Yuhong, XU Jingwei, et al. Range ambiguity suppression in a synthetic aperture radar using pulse phase coding and two-pulse cancellation[J]. International Journal of Remote Sensing, 2018, 39(20): 6525–6539. doi: 10.1080/01431161.2018.1460509
    [68] DALL J and KUSK A. Azimuth phase coding for range ambiguity suppression in SAR[C]. 2004 IEEE International Geoscience and Remote Sensing Symposium, Anchorage, USA, 2004: 1734–1737. doi: 10.1109/IGARSS.2004.1370667.
    [69] KRIEGER G, GEBERT N, and MOREIRA A. Multidimensional waveform encoding: A new digital beamforming technique for synthetic aperture radar remote sensing[J]. IEEE Transactions on Geoscience and Remote Sensing, 2008, 46(1): 31–46. doi: 10.1109/TGRS.2007.905974
    [70] LOMBARDO P, PASTINA D, and TURIN F. Ground moving target detection based on MIMO SAR systems[J]. IEEE Journal of Selected Topics in Applied Earth Observations and Remote Sensing, 2015, 8(11): 5081–5095. doi: 10.1109/JSTARS.2015.2461594
    [71] KIM J H, YOUNIS M, MOREIRA A, et al. Spaceborne MIMO synthetic aperture radar for multimodal operation[J]. IEEE Transactions on Geoscience and Remote Sensing, 2015, 53(5): 2453–2466. doi: 10.1109/TGRS.2014.2360148
    [72] DENG Hai and HIMED B. Interference mitigation processing for spectrum-sharing between radar and wireless communications systems[J]. IEEE Transactions on Aerospace and Electronic Systems, 2013, 49(3): 1911–1919. doi: 10.1109/TAES.2013.6558027
    [73] 弗朗索瓦·勒舍瓦利耶. 机载雷达的空时发射与编码[J]. 雷达科学与技术, 2008, 6(6): 411–421. doi: 10.3969/j.issn.1672-2337.2008.06.003

    CHEVALIER F L. Space-time transmission and coding for airborne radars[J]. Radar Science and Technology, 2008, 6(6): 411–421. doi: 10.3969/j.issn.1672-2337.2008.06.003
    [74] JAJAMOVICH G H, LOPS M, and WANG Xiaodong. Space-time coding for MIMO radar detection and ranging[J]. IEEE Transactions on Signal Processing, 2010, 58(12): 6195–6206. doi: 10.1109/TSP.2010.2072923
    [75] WANG Huake, QUAN Yinghui, LIAO Guisheng, et al. Space-time coding technique for coherent frequency diverse array[J]. IEEE Transactions on Signal Processing, 2021, 69: 5994–6008. doi: 10.1109/TSP.2021.3114998
    [76] CALVARY P and JANER D. Spatio-temporal coding for radar array processing[C]. The 1998 IEEE International Conference on Acoustics, Speech and Signal Processing, Seattle, USA, 1998: 2509–2512. doi: 10.1109/ICASSP.1998.681661.
    [77] SONG Xiufeng, ZHOU Shengli, and WILLETT P. Reducing the waveform cross correlation of MIMO radar with space-time coding[J]. IEEE Transactions on Signal Processing, 2010, 58(8): 4213–4224. doi: 10.1109/TSP.2010.2048207
    [78] XU Jingwei, ZHANG Yuhong, LIAO Guisheng, et al. Resolving range ambiguity via multiple-input multiple-output radar with element-pulse coding[J]. IEEE Transactions on Signal Processing, 2020, 68: 2770–2783. doi: 10.1109/TSP.2020.2988371
    [79] XU Jingwei and SO H C. Study on coding scheme with EPC-MIMO radar in clutter-free scenario[C]. 2020 IEEE 11th Sensor Array and Multichannel Signal Processing Workshop (SAM), Hangzhou, China, 2020. doi: 10.1109/SAM48682.2020.9104270.
    [80] LAN Lan, LIAO Guisheng, XU Jingwei, et al. Mainlobe deceptive jammer suppression using element-pulse coding with MIMO radar[J]. Signal Processing, 2021, 182: 107955. doi: 10.1016/j.sigpro.2020.107955
    [81] WANG Hanbing, ZHANG Yuhong, XU Jingwei, et al. Study on coding scheme for space-pulse-phase-coding-based high-resolution and wide-swath SAR imaging[J]. International Journal of Remote Sensing, 2020, 41(18): 7202–7216. doi: 10.1080/01431161.2020.1754498
    [82] WANG Hanbing, ZHANG Yuhong, XU Jingwei, et al. A novel range ambiguity resolving approach for high-resolution and wide-swath SAR imaging utilizing space-pulse phase coding[J]. Signal Processing, 2020, 168: 107323. doi: 10.1016/j.sigpro.2019.107323
    [83] 许京伟, 兰岚, 朱圣棋, 等. 相干频率分集阵雷达匹配滤波器设计[J]. 系统工程与电子技术, 2018, 40(8): 1720–1728. doi: 10.3969/j.issn.1001-506X.2018.08.08

    XU Jingwei, LAN Lan, ZHU Shengqi, et al. Design of matched filter for coherent FDA radar[J]. Systems Engineering and Electronics, 2018, 40(8): 1720–1728. doi: 10.3969/j.issn.1001-506X.2018.08.08
    [84] LAN Lan, LIAO Guisheng, XU Jingwei, et al. Transceive beamforming with accurate nulling in FDA-MIMO radar for imaging[J]. IEEE Transactions on Geoscience and Remote Sensing, 2020, 58(6): 4145–4159. doi: 10.1109/TGRS.2019.2961324
    [85] WANG Chenghao, XU Jingwei, LIAO Guisheng, et al. A range ambiguity resolution approach for high-resolution and wide-swath SAR imaging using frequency diverse array[J]. IEEE Journal of Selected Topics in Signal Processing, 2017, 11(2): 336–346. doi: 10.1109/JSTSP.2016.2605064
  • 加载中
图(18) / 表(3)
计量
  • 文章访问数: 
  • HTML全文浏览量: 
  • PDF下载量: 
  • 被引次数: 0
出版历程
  • 收稿日期:  2021-11-24
  • 修回日期:  2021-12-23
  • 网络出版日期:  2021-12-28
  • 刊出日期:  2021-12-28

目录

    /

    返回文章
    返回