基于频控阵的无源定位对抗技术

关浩亮 张顺生 王文钦

关浩亮, 张顺生, 王文钦. 基于频控阵的无源定位对抗技术[J]. 雷达学报, 2021, 10(6): 833–841. doi: 10.12000/JR21091
引用本文: 关浩亮, 张顺生, 王文钦. 基于频控阵的无源定位对抗技术[J]. 雷达学报, 2021, 10(6): 833–841. doi: 10.12000/JR21091
GUAN Haoliang, ZHANG Shunsheng, and WANG Wenqin. Passive localization countermeasure based on frequency diverse array[J]. Journal of Radars, 2021, 10(6): 833–841. doi: 10.12000/JR21091
Citation: GUAN Haoliang, ZHANG Shunsheng, and WANG Wenqin. Passive localization countermeasure based on frequency diverse array[J]. Journal of Radars, 2021, 10(6): 833–841. doi: 10.12000/JR21091

基于频控阵的无源定位对抗技术

DOI: 10.12000/JR21091 CSTR: 32380.14.JR21091
基金项目: 国家部委基金
详细信息
    作者简介:

    关浩亮,男,河北石家庄人。现为电子科技大学在读博士研究生,主要研究方向为阵列信号处理

    张顺生,男,四川成都人。研究员,博士生导师,主要研究方向为雷达信号处理

    王文钦,男,四川成都人。教授,博士生导师,主要研究方向为阵列处理及其在雷达、通信和电子对抗中的应用研究

    通讯作者:

    张顺生 zhangss@uestc.edu.cn

    责任主编:朱圣棋 Corresponding Editor: ZHU Shengqi

  • 中图分类号: TN958

Passive Localization Countermeasure Based on Frequency Diverse Array

Funds: The National Ministries Foundation
More Information
  • 摘要: 无源定位技术是现代电子战领域中重要的组成部分,然而现有的对抗无源定位系统采用的射频隐身、电子干扰等传统方法仍存在着很大的局限性。该文提出将频控阵技术应用到无源定位对抗领域,频控阵独特的波束扫描特性使得主波束在同一方位角度位置处的波束驻留时间缩短,无源定位系统无法长时间截获频控阵信号。另一方面,频控阵信号的时变特性使得无源定位系统接收信号信噪比大大降低,因此能有效地增加无源定位系统的定位误差,降低其定位效能。搭载有频控阵辐射源的电子系统在利用自身辐射信号对外部环境进行感知的同时,又能阻止敌方的无源定位系统对其实施定位侦察。理论分析和仿真验证均证实了频控阵辐射源针对干涉仪测向与时频差定位两种无源定位方法具备优良的对抗性能,该文的仿真实例显示采用频控阵辐射源时其探测精度明显降低,从而为研究同时具备主动探测和无源定位对抗能力的新一代电子系统提供了新的技术思路。

     

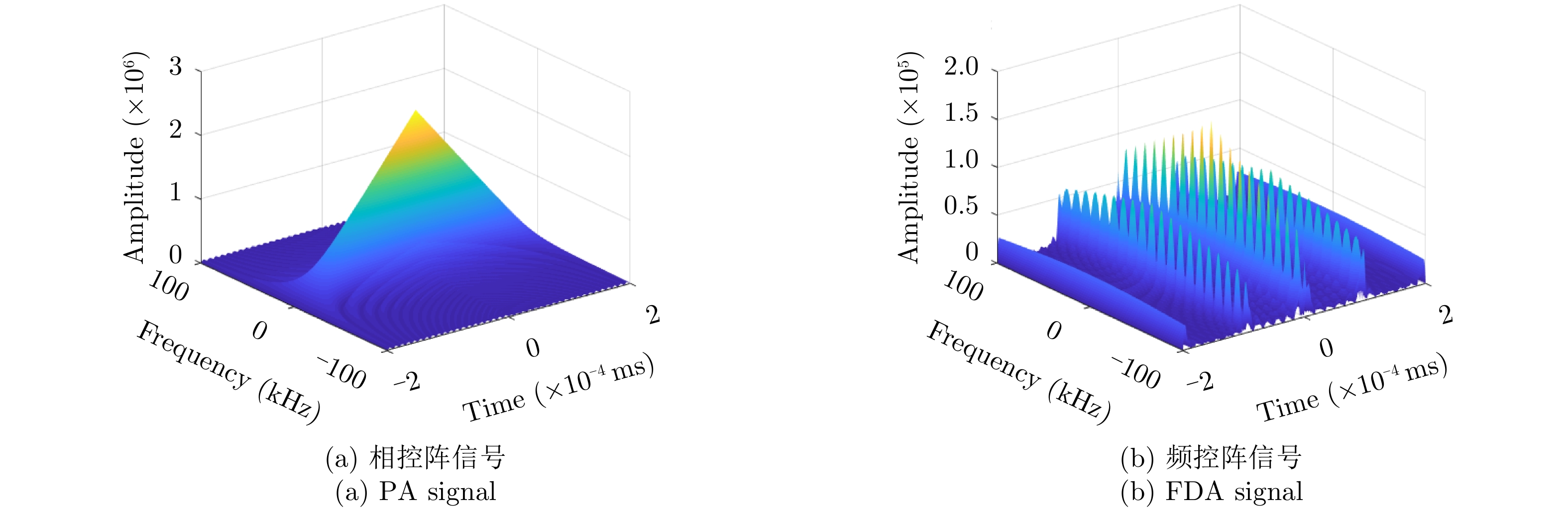
  • 图  1  不同类型频控阵信号的半功率波束宽度

    Figure  1.  Half-power beamwidth of different FDA signal

    图  2  不同类型辐射源条件下的信号互模糊函数图

    Figure  2.  Cross ambiguity function from different signal sources

    图  3  侦察仿真场景示意图

    Figure  3.  Schematic diagram of reconnaissance scene

    图  4  不同辐射源与信号类型条件下的测向精度

    Figure  4.  Accuracy of DOA from different signal sources or signal type

    图  5  频控阵信号测向误差克拉默-拉奥界限与均方根误差比较

    Figure  5.  CRB and RMSE analysis of DOA from FDA signal

    图  6  不同频偏大小条件下的时频差克拉默-拉奥界比较

    Figure  6.  CRBs analysis under different $ \Delta f $ of FDA and PA

    图  7  不同频偏类型条件下的时频差克拉默-拉奥界比较

    Figure  7.  CRBs analysis under different non-standard FDA and PA

    图  8  不同阵元个数条件下的时频差克拉默-拉奥界比较

    Figure  8.  CRBs analysis under different element of FDA and PA

    图  9  不同辐射源条件下的定位误差分布图

    Figure  9.  Localization error distribution under different radiation sources

  • [1] YOUSSEF M, MAH M, and AGRAWALA A. Challenges: Device-free passive localization for wireless environments[C]. Proceedings of the 13th Annual ACM International Conference on Mobile Computing and Networking, Québec, Canada, 2007: 222–229.
    [2] FRIEDLANDER B. A passive localization algorithm and its accuracy analysis[J]. IEEE Journal of Oceanic Engineering, 1987, 12(1): 234–245. doi: 10.1109/JOE.1987.1145216
    [3] ZEKAVAT S A and BUEHRER M. Handbook of Position Location: Theory, Practice and Advances[M]. Oxford: Wiley-Blackwell, 2011: 28–40.
    [4] GEZICI S, TIAN Zhi, GIANNAKIS G B, et al. Localization via ultra-wideband radios: A look at positioning aspects for future sensor networks[J]. IEEE Signal Processing Magazine, 2005, 22(4): 70–84. doi: 10.1109/MSP.2005.1458289
    [5] 杨林森. 目标辐射源无源定位中的时/频差估计[D]. 西安: 西安电子科技大学, 2017.

    YANG Linsen. TDOA/FDOA estimation in passive emitter localization[D]. Xi’an: Xidian University, 2017.
    [6] 高向颖, 赵拥军, 刘智鑫, 等. 存在站址误差下的时频差稳健定位算法[J]. 雷达学报, 2020, 9(5): 916–924. doi: 10.12000/JR20039

    GAO Xiangying, ZHAO Yongjun, LIU Zhixin, et al. Robust source localization using TDOA and FDOA with receiver location errors[J]. Journal of Radars, 2020, 9(5): 916–924. doi: 10.12000/JR20039
    [7] ZOU Yanbin and LIU Huaping. TDOA localization with unknown signal propagation speed and sensor position errors[J]. IEEE Communications Letters, 2020, 24(5): 1024–1027. doi: 10.1109/LCOMM.2020.2968434
    [8] GIARETTA A, BALASUBRAMANIAM S, and CONTI M. Security vulnerabilities and countermeasures for target localization in bio-NanoThings communication networks[J]. IEEE Transactions on Information Forensics and Security, 2016, 11(4): 665–676. doi: 10.1109/TIFS.2015.2505632
    [9] 王诗蕾. 基于预处理的无源定位对抗技术研究[D]. [硕士论文], 电子科技大学, 2016.

    WANG Shilei. Research on preprocessing-based locating countermeasures technology for passive locating system[D]. [Master dissertation], University of Electronic Science and Technology of China, 2016.
    [10] SHI Xiaoran, ZHOU Feng, ZHAO Bo, et al. Deception jamming method based on micro-Doppler effect for vehicle target[J]. IET Radar, Sonar & Navigation, 2016, 10(6): 1071–1079. doi: 10.1049/iet-rsn.2015.0371
    [11] WANG Fei, SELLATHURAI M, LIU Weigang, et al. Security information factor based airborne radar RF stealth[J]. Journal of Systems Engineering and Electronics, 2015, 26(2): 258–266. doi: 10.1109/JSEE.2015.00031
    [12] WANG Wenqin. Moving-target tracking by cognitive RF stealth radar using frequency diverse array antenna[J]. IEEE Transactions on Geoscience and Remote Sensing, 2016, 54(7): 3764–3773. doi: 10.1109/TGRS.2016.2527057
    [13] LYNCH JR D. Introduction to RF Stealth[M]. Raleigh: SciTech, 2004: 8–12.
    [14] XU Jingwei, LIAO Guisheng, ZHU Shengqi, et al. Deceptive jamming suppression with frequency diverse MIMO radar[J]. Signal Processing, 2015, 113: 9–17. doi: 10.1016/j.sigpro.2015.01.014
    [15] 周超, 刘泉华, 胡程. 间歇采样转发式干扰的时频域辨识与抑制[J]. 雷达学报, 2019, 8(1): 100–106. doi: 10.12000/JR18080

    ZHOU Chao, LIU Quanhua, and HU Cheng. Time-frequency analysis techniques for recognition and suppression of interrupted sampling repeater jamming[J]. Journal of Radars, 2019, 8(1): 100–106. doi: 10.12000/JR18080
    [16] 许京伟, 朱圣棋, 廖桂生, 等. 频率分集阵雷达技术探讨[J]. 雷达学报, 2018, 7(2): 167–182. doi: 10.12000/JR18023

    XU Jingwei, ZHU Shengqi, LIAO Guisheng, et al. An overview of frequency diverse array radar technology[J]. Journal of Radars, 2018, 7(2): 167–182. doi: 10.12000/JR18023
    [17] 王文钦, 邵怀宗, 陈慧. 频控阵雷达: 概念、原理与应用[J]. 电子与信息学报, 2016, 38(4): 1000–1011. doi: 10.11999/JEIT151235

    WANG Wenqin, SHAO Huaizong, and CHEN Hui. Frequency diverse array radar: Concept, principle and application[J]. Journal of Electronics &Information Technology, 2016, 38(4): 1000–1011. doi: 10.11999/JEIT151235
    [18] XIANG Zhe, CHEN Baixiao, and YANG Minglei. Statistical method with dual-polarized MIMO array for target discrimination[J]. IEEE Antennas and Wireless Propagation Letters, 2016, 16: 1313–1316. doi: 10.1109/LAWP.2016.2633433
    [19] 尹光辉. 基于频率分集阵列的保密通信技术研究[D]. [硕士论文], 西安电子科技大学, 2020.

    YIN Guanghui. Research on secure communication technology based on frequency diversity array[D]. [Master dissertation], Xidian University, 2020.
    [20] SAMMARTINO P F, BAKER C J, and GRIFFITHS H D. Frequency diverse MIMO techniques for radar[J]. IEEE Transactions on Aerospace and Electronic Systems, 2013, 49(1): 201–222. doi: 10.1109/TAES.2013.6404099
    [21] WANG Yongbing, WANG Wenqin, and SHAO Huaizong. Frequency diverse array radar Cramér-Rao lower bounds for estimating direction, range, and velocity[J]. International Journal of Antennas and Propagation, 2014, 2014: 830869. doi: 10.1155/2014/830869
    [22] 巩朋成, 刘刚, 黄禾, 等. 频控阵MIMO雷达中基于稀疏迭代的多维信息联合估计方法[J]. 雷达学报, 2018, 7(2): 194–201. doi: 10.12000/JR16121

    GONG Pengcheng, LIU Gang, HUANG He, et al. Multidimensional parameter estimation method based on sparse iteration in FDA-MIMO radar[J]. Journal of Radars, 2018, 7(2): 194–201. doi: 10.12000/JR16121
    [23] WANG Wenqin and SHAO Huaizong. Range-angle localization of targets by a double-pulse frequency diverse array radar[J]. IEEE Journal of Selected Topics in Signal Processing, 2014, 8(1): 106–114. doi: 10.1109/JSTSP.2013.2285528
    [24] WANG Wenqin and SO H C. Transmit subaperturing for range and angle estimation in frequency diverse array radar[J]. IEEE Transactions on Signal Processing, 2014, 62(8): 2000–2011. doi: 10.1109/TSP.2014.2305638
    [25] 桂荣华. 频控阵雷达自适应处理关键技术研究[D]. [博士论文], 电子科技大学, 2020.

    GUI Ronghua. Research on adaptive processing technology for frequency diverse array radar[D]. [Ph.D. dissertation], University of Electronic Science and Technology of China, 2020.
    [26] GAO Kuandong, WANG Wenqin, and CAI Jingye. Frequency diverse array and MIMO hybrid radar transmitter design via Cramér-Rao lower bound minimisation[J]. IET Radar, Sonar & Navigation, 2016, 10(9): 1660–1670.
    [27] 何杰. 飞机射频隐身性能评估指标研究与软件实现[D]. [硕士论文], 南京航空航天大学, 2016.

    HE Jie. Research on aircraft RF stealth performance evaluation indexes and simulation system implementation[D]. [Master dissertation], Nanjing University of Aeronautics and Astronautics, 2016.
    [28] WANG Liu, WANG Wenqin, GUAN Haoliang, et al. LPI property of FDA transmitted signal[J]. IEEE Transactions on Aerospace and Electronic Systems, 2021, in press. doi: 10.1109/TAES.2021.3083402
  • 加载中
图(9)
计量
  • 文章访问数: 
  • HTML全文浏览量: 
  • PDF下载量: 
  • 被引次数: 0
出版历程
  • 收稿日期:  2021-07-01
  • 修回日期:  2021-08-21
  • 网络出版日期:  2021-09-08
  • 刊出日期:  2021-12-28

目录

    /

    返回文章
    返回