基于深度神经网络的可编程超表面智能波束形成

李商洋 符士磊 徐丰

李商洋, 符士磊, 徐丰. 基于深度神经网络的可编程超表面智能波束形成[J]. 雷达学报, 2021, 10(2): 259–266. doi: 10.12000/JR21039
引用本文: 李商洋, 符士磊, 徐丰. 基于深度神经网络的可编程超表面智能波束形成[J]. 雷达学报, 2021, 10(2): 259–266. doi: 10.12000/JR21039
LI Shangyang, FU Shilei, and XU Feng. DNN-based intelligent beamforming on a programmable metasurface[J]. Journal of Radars, 2021, 10(2): 259–266. doi: 10.12000/JR21039
Citation: LI Shangyang, FU Shilei, and XU Feng. DNN-based intelligent beamforming on a programmable metasurface[J]. Journal of Radars, 2021, 10(2): 259–266. doi: 10.12000/JR21039

基于深度神经网络的可编程超表面智能波束形成

DOI: 10.12000/JR21039 CSTR: 32380.14.JR21039
基金项目: 国家重点研发计划(2017YFA0700203)
详细信息
    作者简介:

    李商洋(1993–),男,安徽人,复旦大学电磁波信息科学教育部重点实验室博士研究生,研究方向为天线理论和设计、可编程超表面、深度学习在电磁领域的应用

    符士磊(1995–),男,江苏人,复旦大学电磁波信息科学教育部重点实验室博士研究生,研究方向为SAR图像解译、深度学习

    徐 丰(1982–),男,浙江人,复旦大学信息科学与工程学院教授,电磁波信息科学教育部重点实验室副主任,研究方向为电磁散射建模、SAR图像解译

    通讯作者:

    徐丰 fengxu@fudan.edu.cn

    责任主编:张安学 Corresponding Editor: ZHANG Anxue

  • 中图分类号: TN95

DNN-based Intelligent Beamforming on a Programmable Metasurface

Funds: The National Key Research and Development Program of China (2017YFA0700203)
More Information
  • 摘要: 通过在超表面单元上加载二极管等有源器件,可编程超表面可实现对电磁波的实时灵活调控。通常利用全波仿真软件计算可编程超表面的辐射场,但该方法需要消耗大量的时间,因而降低了设计效率。为了实现准确高效求解给定编码序列计算辐射场,该文首先设计了辐射场自动测试系统,利用该测试系统实测了少量的编码和辐射场数据,其后提出了一个正向深度神经网络,基于实测的数据训练该神经网络,最终实现了给定编码准确高效预测辐射场。对于给定辐射场求解编码的逆问题,该文提出了一个逆向深度神经网络。基于正向网络生成的数据训练所提出的逆向网络,最终实现了给定辐射场实时准确求解编码。该文所提出的方法为雷达波束形成提供了一种新可选方案,在雷达智能波束形成、微波成像等领域有一定的应用价值。

     

  • 图  1  基于文献[4]提出的可编程超表面

    Figure  1.  The proposed metasurface based on Ref. [4]

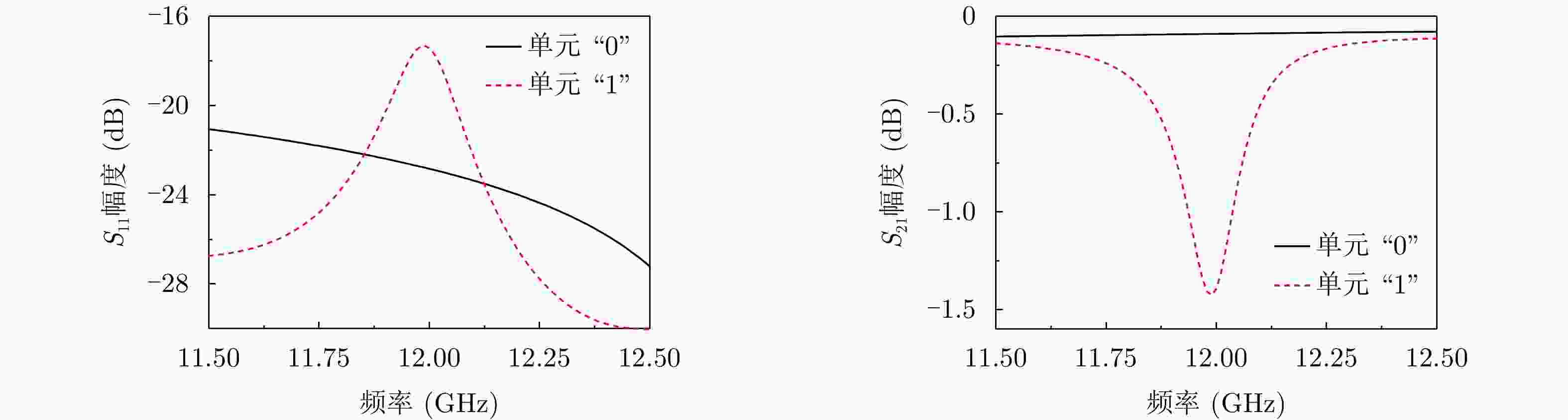
    图  2  不同状态下单元散射参数

    Figure  2.  Scattering parameters of the element

    图  3  不同编码下超表面方向图

    Figure  3.  Radiation patterns under different codes

    图  4  自动测试系统

    Figure  4.  Auto-measuring system

    图  5  仿真结果、实测结果、自动测试结果对比

    Figure  5.  Comparison results of simulated results, measured results and auto-measuring results

    图  6  全连接网络结构

    Figure  6.  Structure of the fully connected network

    图  7  训练和验证均方根误差

    Figure  7.  RMSE of training and validation

    图  8  归一化方向图神经网络预测值和真值对比结果

    Figure  8.  Comparison results of normalized pattern of prediction results and true value

    图  9  逆向映射网络结构

    Figure  9.  Structure of the reverse mapping network

    图  10  训练和验证均方根误差

    Figure  10.  RMSE of the training and validation results

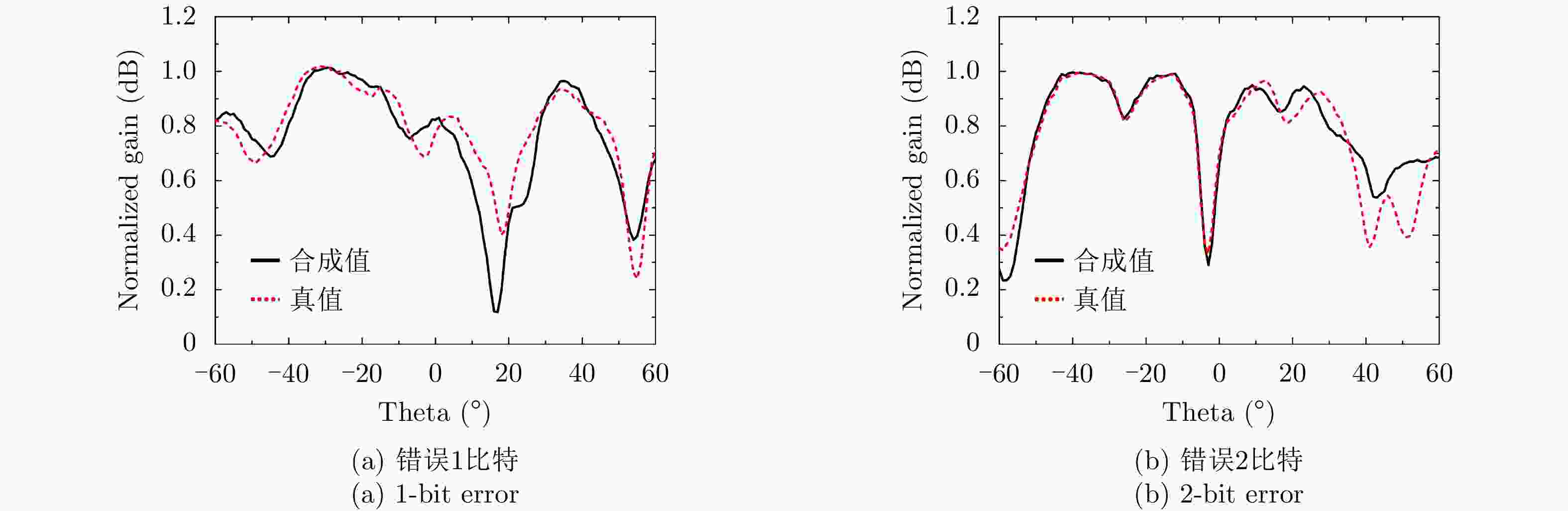
    图  11  合成值和真值对比

    Figure  11.  Comparison results of prediction results and true value

    表  1  超表面相关参数(mm)

    Table  1.   Parameters of the metasurface (mm)

    L1L2L3W1offsetdWfeedLg1Lg2Lg3
    32.19532.113461.653.76.36
    Lg4Wg1Wg2Ls1Ls2Ws1TDh1h2
    0.81.652.0553.20.30.80.41.5240.508
    下载: 导出CSV

    表  2  单波束编码

    Table  2.   Codes for single beams

    编码号编码序列主瓣指向波束宽度
    Code 10101010101010101–28°13.5°
    Code 2100100100100100113°10.0°
    Code 3100110011001100131°8.5°
    下载: 导出CSV

    表  3  多波束编码

    Table  3.   Codes for multi-beam

    编码号编码序列波束个数
    Code 400010001000100012
    Code 500001000010000103
    Code 600000100000100004
    下载: 导出CSV

    表  4  计算编码准确率

    Table  4.   Accuracy for calculated codes

    ${ {\rm{{A}{c}{c}}}{u} }_{ {\rm{{m}{e}{a}{n}}} }$${ {\rm{{A}{c}{c}}}{u} }_{0-{\rm{{b}{i}{t}}} }$${ {\rm {{A}{c}{c}}}{u} }_{1-{\rm{{b}{i}{t}}} }$${ {\rm {{A}{c}{c}}}{u} }_{2-{\rm {{b}{i}{t}}} }$${ {\rm {{A}{c}{c}}}{u} }_{3+{\rm{{b}{i}{t}}} }$
    99.09%90.25%6.56%2.12%1.07%
    下载: 导出CSV
  • [1] VESELAGO V G and LEBEDEV P N. The electrodynamics of substances with simultaneously negative values of ε and μ[J]. Soviet Physics Uspekhi, 1968, 10(4): 509–514. doi: 10.1070/PU1968v010n04ABEH003699
    [2] PENDRY J B, HOLDEN A J, STEWART W J, et al. Extremely low frequency plasmons in metallic mesostructures[J]. Physical Review Letters, 1996, 76(25): 4773–4776. doi: 10.1103/PhysRevLett.76.4773
    [3] CUI Tiejun, QI Meiqing, WAN Xiang, et al. Coding metamaterials, digital metamaterials and programmable metamaterials[J]. Light: Science & Applications, 2014, 3(10): e218.
    [4] LI Shangyang, XU Feng, WAN Xiang, et al. Programmable metasurface based on substrate-integrated waveguide for compact dynamic-pattern antenna[J]. IEEE Transactions on Antennas and Propagation, 2021, 69(5): 2958–2962. doi: 10.1109/TAP.2020.3023581
    [5] https://www.ni.com/zh-cn/support/model.usb-6212.html.
    [6] SAINATH T N, MOHAMED A R, KINGSBURY B, et al. Deep convolutional neural networks for LVCSR[C]. IEEE International Conference on Acoustics, Speech and Signal Processing, Vancouver, Canada, 2013: 8614–8618.
    [7] TOMPSON J, JAIN A, LECUN Y, et al. Joint training of a convolutional network and a graphical model for human pose estimation[C]. The 27th International Conference on Neural Information Processing Systems, Montreal, Canada, 2014: 1799–1807.
    [8] PULIDO-MANCERA L M, ZVOLENSKY T, IMANI M F, et al. Discrete dipole approximation applied to highly directive slotted waveguide antennas[J]. IEEE Antennas and Wireless Propagation Letters, 2016, 15: 1823–1826. doi: 10.1109/LAWP.2016.2538202
    [9] SHAN Tao, PAN Xiaotian, LI Maokun, et al. Coding programmable metasurfaces based on deep learning techniques[J]. IEEE Journal on Emerging and Selected Topics in Circuits and Systems, 2020, 10(1): 114–125. doi: 10.1109/JETCAS.2020.2972764
  • 加载中
图(11) / 表(4)
计量
  • 文章访问数: 
  • HTML全文浏览量: 
  • PDF下载量: 
  • 被引次数: 0
出版历程
  • 收稿日期:  2021-03-26
  • 修回日期:  2021-04-26
  • 网络出版日期:  2021-04-28

目录

    /

    返回文章
    返回