认知雷达波形优化设计方法综述

崔国龙 余显祥 杨婧 付月 孔令讲

崔国龙, 余显祥, 杨婧, 等. 认知雷达波形优化设计方法综述[J]. 雷达学报, 2019, 8(5): 537–557. doi: 10.12000/JR19072
引用本文: 崔国龙, 余显祥, 杨婧, 等. 认知雷达波形优化设计方法综述[J]. 雷达学报, 2019, 8(5): 537–557. doi: 10.12000/JR19072
CUI Guolong, YU Xianxiang, YANG Jing, et al. An overview of waveform optimization methods for cognitive radar[J]. Journal of Radars, 2019, 8(5): 537–557. doi: 10.12000/JR19072
Citation: CUI Guolong, YU Xianxiang, YANG Jing, et al. An overview of waveform optimization methods for cognitive radar[J]. Journal of Radars, 2019, 8(5): 537–557. doi: 10.12000/JR19072

认知雷达波形优化设计方法综述

DOI: 10.12000/JR19072 CSTR: 32380.14.JR19072
基金项目: 国家自然基金(61771109, 61871080),长江学者计划,111计划(B17008),中央高校基本业务费(2672018ZYGX2018J016)
详细信息
    作者简介:

    崔国龙(1982–),男,安徽人,电子科技大学教授,博士生导师,《雷达学报》编委。研究方向包括:最优化理论和算法、雷达目标检测理论、波形多样性以及阵列信号处理等。E-mail: cuiguolong@uestc.edu.cn

    余显祥(1991–),男,四川人,电子科技大学博士研究生,研究方向包括:雷达波形设计与处理、最优化理论算法以及阵列信号处理等。E-mail: xianxiangy@gmail.com

    杨 婧(1995–),女,河北人,电子科技大学博士研究生,研究方向包括:雷达波形设计与处理、最优化理论算法以及阵列信号处理等。E-mail: yangjinguestc@163.com

    付 月(1992–),女,湖北人,上海汽车集团股份有限公司技术中心工程师,研究方向包括:雷达波形设计、基于智能驾驶汽车的毫米波雷达设计与开发、毫米波雷达SLAM应用开发等。E-mail: 18482205102@163.com

    孔令讲(1974–),男,河南人,电子科技大学教授,博士生导师,《雷达学报》编委。研究方向包括:新体制雷达、统计信号处理、优化理论和算法、雷达信号处理、非合作信号处理技术和自适应阵列信号处理等。E-mail: ljkong@uestc.edu.cn

    通讯作者:

    崔国龙 cuiguolong@uestc.edu.cn

    责任主编:崔琛 Corresponding Editor: CUI Chen

  • 中图分类号: TN958

An Overview of Waveform Optimization Methods for Cognitive Radar

Funds: The National Natural Science Foundation of China (61771109, 61871080), The Changjiang Scholar Program, 111 Project (B17008), The Fundamental Research Funds for the Central Universities (2672018ZYGX2018J016)
More Information
  • 摘要: 认知雷达通过借鉴蝙蝠的认知学习过程,感知战场环境信息并反馈至发射机,从而实现自适应探测和处理,是未来雷达智能化发展的重点方向。其中如何充分利用目标与环境先验信息,设计雷达波形以提高目标检测、跟踪以及抗干扰等性能是认知雷达发展的难点和重点。该文针对不同干扰环境、目标模型、天线配置(如:单发单收(SISO)和多发多收(MIMO))等的波形设计关键要素及主要思路进行了总结梳理,并从不同干扰与目标知识的利用角度,对近几年代表性的认知波形设计文献进行介绍和归纳,旨在为以后的研究提供参考和依据。

     

  • 图  1  认知雷达系统原理框图[1]

    Figure  1.  Schematic diagram of cognitive radar system[1]

    图  2  静止点目标回波检测模型

    Figure  2.  Signal model for still point target detection

    图  3  不同相似性参数下的能量谱密度、信干噪比、阻带电平与自相关函数[17]

    Figure  3.  ESD, SINR, stopband level and autocorrelation function versus different $\epsilon $[17]

    图  4  检测概率随着不同目标功率变化图[23]

    Figure  4.  Detection probability versus target power[23]

    图  5  不同相似性参数下的模糊函数[23]

    Figure  5.  Ambiguity function versus different $\epsilon $[23]

    图  6  最坏信干噪比随着杂波不确定参数变化[57]

    Figure  6.  Worst SINR versus uncertain parameter[57]

    图  7  互模糊函数[72]

    Figure  7.  Cross ambiguity function[72]

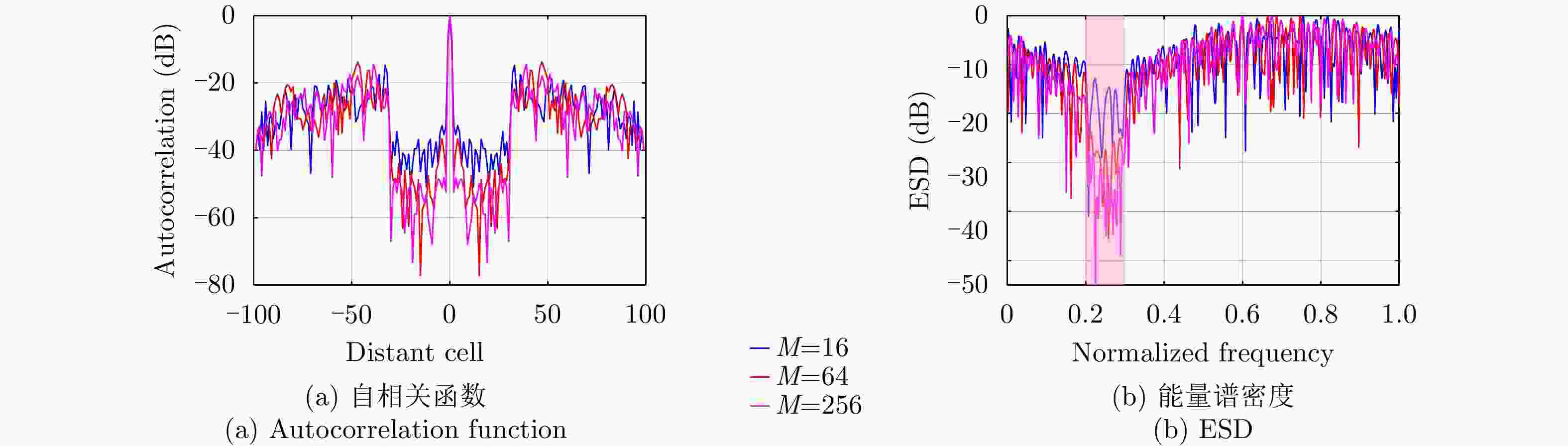
    图  8  不同离散相位个数下的自相关函数与能量谱密度[77]

    Figure  8.  Autocorrelation and ESD for different M[77]

    图  9  距离-多普勒平面[86]

    Figure  9.  Range-Doppler plane[86]

    图  10  相关函数[87]

    Figure  10.  Correlation function[87]

    图  11  能量谱密度[101]

    Figure  11.  ESD[101]

    图  12  不同相似性参数下的方向图[108]

    Figure  12.  Beampattern for different similarity parameters[108]

  • [1] HAYKIN S. Cognitive radar: A way of the future[J]. IEEE Signal Processing Magazine, 2006, 23(1): 30–40. doi: 10.1109/MSP.2006.1593335
    [2] GUERCI J R. Cognitive Radar: The Knowledge-Aided Fully Adaptive Approach[M]. London: Artech House, 2010.
    [3] 王璐璐, 王宏强, 王满喜, 等. 雷达目标检测的最优波形设计综述[J]. 雷达学报, 2016, 5(5): 487–498. doi: 10.12000/JR16084

    WANG Lulu, WANG Hongqiang, WANG Manxi, et al. An overview of radar waveform optimization for target detection[J]. Journal of Radars, 2016, 5(5): 487–498. doi: 10.12000/JR16084
    [4] FARINA A, DE MAIO A, and HAYKIN S. The Impact of Cognition on Radar Technology[M]. SciTech Publishing, 2017.
    [5] 黎湘, 范梅梅. 认知雷达及其关键技术研究进展[J]. 电子学报, 2012, 40(9): 1863–1870. doi: 10.3969/j.issn.0372-2112.2012.09.025

    LI Xiang and FAN Meimei. Research advance on cognitive radar and its key technology[J]. Acta Electronica Sinica, 2012, 40(9): 1863–1870. doi: 10.3969/j.issn.0372-2112.2012.09.025
    [6] HAYKIN S, XUE Yanbo, and DAVIDSON T N. Optimal waveform design for cognitive radar[C]. The 42nd Asilomar Conference on Signals, Systems and Computers, Pacific Grove, USA, 2008: 3–7. doi: 10.1109/ACSSC.2008.5074349.
    [7] GINI F, DE MAIO A, and PATTON L K. Waveform Design and Diversity for Advanced Radar Systems[M]. London: IET Press, 2012.
    [8] STOICA P, HE Hao, and LI Jian. Optimization of the receive filter and transmit sequence for active sensing[J]. IEEE Transactions on Signal Processing, 2012, 60(4): 1730–1740. doi: 10.1109/TSP.2011.2179652
    [9] BELL M R. Information theory and radar waveform design[J]. IEEE Transactions on Information Theory, 1993, 39(5): 1578–1597. doi: 10.1109/18.259642
    [10] HE Hao, LI Jian, and STOICA P. Waveform Design for Active Sensing Systems: A Computational Approach[M]. Cambridge UK: Cambridge University Press, 2012. doi: 10.1017/CBO9781139095174.
    [11] LI J, GUERCI J R, and XU L. Signal waveform’s optimal-under-restriction design for active sensing[J]. IEEE Signal Processing Letters, 2006, 13(9): 565–568. doi: 10.1109/LSP.2006.874465
    [12] LI Jian and STOICA P. MIMO Radar Signal Processing[M]. Hoboken, USA: Wiley, 2009.
    [13] KAY S. Waveform design for multistatic radar detection[J]. IEEE Transactions on Aerospace and Electronic Systems, 2009, 45(3): 1153–1166. doi: 10.1109/TAES.2009.5259190
    [14] BERGIN J S, TECHAU P M, DON CARLOS J E, et al. Radar waveform optimization for colored noise mitigation[C]. 2005 IEEE International Radar Conference, Arlington, USA, 2005: 149–154. doi: 10.1109/RADAR.2005.1435810.
    [15] AUBRY A, DE MAIO A, PIEZZO M, et al. Radar waveform design in a spectrally crowded environment via nonconvex quadratic optimization[J]. IEEE Transactions on Aerospace and Electronic Systems, 2014, 50(2): 1138–1152. doi: 10.1109/TAES.2014.120731
    [16] TANG Bo, LI Jian, and LIANG Junli. Alternating direction method of multipliers for radar waveform design in spectrally crowded environments[J]. Signal Processing, 2018, 142: 398–402. doi: 10.1016/j.sigpro.2017.08.003
    [17] GE Peng, CUI Gong, KARBASI S M, et al. Cognitive radar sequence design under the spectral compatibility requirements[J]. IET Radar, Sonar & Navigation, 2017, 11(5): 759–767. doi: 10.1049/iet-rsn.2016.0239
    [18] YU Xianxiang, CUI Guolong, GE Peng, et al. Constrained radar waveform design algorithm for spectral coexistence[J]. Electronics Letters, 2017, 53(8): 558–560. doi: 10.1049/el.2016.4524
    [19] DE MAIO A, DE NICOLA S, HUANG Yongwei, et al. Code design to optimize radar detection performance under accuracy and similarity constraints[J]. IEEE Transactions on Signal Processing, 2008, 56(11): 5618–5629. doi: 10.1109/TSP.2008.929657
    [20] DE MAIO A, HUANG Yongwei, and PIEZZO M. A Doppler robust max-min approach to radar code design[J]. IEEE Transactions on Signal Processing, 2010, 58(9): 4943–4947. doi: 10.1109/TSP.2010.2050317
    [21] DE MAIO A, DE NICOLA S, HUANG Yongwei, et al. Design of phase codes for radar performance optimization with a similarity constraint[J]. IEEE Transactions on Signal Processing, 2009, 57(2): 610–621. doi: 10.1109/TSP.2008.2008247
    [22] CUI Guolong, YU Xianxiang, FOGLIA G, et al. Quadratic optimization with similarity constraint for unimodular sequence synthesis[J]. IEEE Transactions on Signal Processing, 2017, 65(18): 4756–4769. doi: 10.1109/TSP.2017.2715010
    [23] YU Xianxiang, CUI Guolong, FU Yue, et al. Unimodular quadratic optimization with similarity constraint for synthesizing radar codes[C]. 2017 IEEE Radar Conference, Seattle, USA, 2017: 687–691. doi: 10.1109/RADAR.2017.7944290.
    [24] LESHEM A, NAPARSTEK O, and NEHORAI A. Information theoretic adaptive radar waveform design for multiple extended targets[J]. IEEE Journal of Selected Topics in Signal Processing, 2007, 1(1): 42–55. doi: 10.1109/JSTSP.2007.897047
    [25] 范梅梅, 廖东平, 丁小峰, 等. 基于WLS-TIR的多目标识别认知雷达波形自适应方法[J]. 电子学报, 2012, 40(1): 73–77. doi: 10.3969/j.issn.0372-2112.2012.01.012

    FAN Meimei, LIAO Dongping, DING Xiaofeng, et al. Adaptive waveform design based on WLS-TIR for multiple targets recognition in cognitive radar[J]. Acta Electronica Sinica, 2012, 40(1): 73–77. doi: 10.3969/j.issn.0372-2112.2012.01.012
    [26] GOODMAN N A, VENKATA P R, and NEIFELD M A. Adaptive waveform design and sequential hypothesis testing for target recognition with active sensors[J]. IEEE Journal of Selected Topics in Signal Processing, 2007, 1(1): 105–113. doi: 10.1109/JSTSP.2007.897053
    [27] 张劲东. 自适应雷达系统中波形分集技术的研究[D]. [博士论文], 南京理工大学, 2010.

    ZHANG Jindong. Research of waveform diversity in adaptive radar system[D]. [Ph.D. dissertation], Nanjing University of Science and Technology, 2010.
    [28] 魏轶旻, 孟华东, 毛滔, 等. 基于凸优化方法的认知雷达波形设计[J]. 现代雷达, 2012, 34(3): 18–21. doi: 10.3969/j.issn.1004-7859.2012.03.004

    WEI Yimin, MENG Huadong, MAO Tao, et al. Radar phase-coded waveform design for extended target detection by convex optimization[J]. Modern Radar, 2012, 34(3): 18–21. doi: 10.3969/j.issn.1004-7859.2012.03.004
    [29] 唐波. 宽带认知雷达低峰均比波形快速设计算法[J]. 航空学报, 2016, 37(2): 688–694. doi: 10.7527/S1000-6893.2015.0125

    TANG Bo. Efficient design algorithm of low PAR waveform for wideband cognitive radar[J]. Acta Aeronautica et Astronautica Sinica, 2016, 37(2): 688–694. doi: 10.7527/S1000-6893.2015.0125
    [30] TANG Bo and TANG Jun. Robust waveform design of wideband cognitive radar for extended target detection[C]. 2016 IEEE International Conference on Acoustics, Speech and Signal Processing (ICASSP), Shanghai, China, 2016: 3096–3100. doi: 10.1109/ICASSP.2016.7472247.
    [31] 付月. 稳健的恒模序列设计与处理方法[D]. [硕士论文], 电子科技大学, 2018.

    FU Yue. Robust design and processing method for constant modulus sequences[D]. [Master dissertation], University of Electronic Science and Technology of China, 2018.
    [32] LI Jian, XU Luzhou, STOICA P, et al. Range compression and waveform optimization for MIMO radar: A CramÉr-Rao bound based study[J]. IEEE Transactions on Signal Processing, 2008, 56(1): 218–232. doi: 10.1109/TSP.2007.901653
    [33] HULEIHEL W, TABRIKIAN J, and SHAVIT R. Optimal adaptive waveform design for cognitive MIMO radar[J]. IEEE Transactions on Signal Processing, 2013, 61(20): 5075–5089. doi: 10.1109/TSP.2013.2269045
    [34] DE MAIO A and LOPS M. Design principles of MIMO radar detectors[J]. IEEE Transactions on Aerospace and Electronic Systems, 2007, 43(3): 886–898. doi: 10.1109/TAES.2007.4383581
    [35] AUBRY A, LOPS M, TULINO A M, et al. On MIMO detection under non-gaussian target scattering[J]. IEEE Transactions on Information Theory, 2010, 56(11): 5822–5838. doi: 10.1109/TIT.2010.2068930
    [36] GROSSI E and LOPS M. Space-time code design for MIMO detection based on kullback-leibler divergence[J]. IEEE Transactions on Information Theory, 2012, 58(6): 3989–4004. doi: 10.1109/TIT.2012.2189754
    [37] WANG Li, ZHU Wei, ZHANG Yunlei, et al. Multi-target detection and adaptive waveform design for cognitive MIMO radar[J]. IEEE Sensors Journal, 2018, 18(24): 9962–9970. doi: 10.1109/JSEN.2018.2873103
    [38] YANG Yang and BLUM R S. MIMO radar waveform design based on mutual information and minimum mean-square error estimation[J]. IEEE Transactions on Aerospace and Electronic Systems, 2007, 43(1): 330–343. doi: 10.1109/TAES.2007.357137
    [39] YANG Yang and BLUM R S. Minimax robust MIMO radar waveform design[J]. IEEE Journal of Selected Topics in Signal Processing, 2007, 1(1): 147–155. doi: 10.1109/JSTSP.2007.897056
    [40] TANG Bo, TANG Jun, and PENG Yingning. MIMO radar waveform design in colored noise based on information theory[J]. IEEE Transactions on Signal Processing, 2010, 58(9): 4684–4697. doi: 10.1109/TSP.2010.2050885
    [41] ZHANG Wenshu and YANG Liuqing. Communications-inspired sensing: A case study on waveform design[J]. IEEE Transactions on Signal Processing, 2010, 58(2): 792–803. doi: 10.1109/TSP.2009.2028941
    [42] TANG Bo, TANG Jun, and PENG Yingning. Waveform optimization for MIMO radar in colored noise: Further results for estimation-oriented criteria[J]. IEEE Transactions on Signal Processing, 2012, 60(3): 1517–1522. doi: 10.1109/TSP.2011.2177262
    [43] 王鹏, 崔琛, 张鑫. 色噪声下认知雷达自适应检测波形设计[J]. 电子信息对抗技术, 2013, 28(5): 39–43, 58. doi: 10.3969/j.issn.1674-2230.2013.05.009

    WANG Peng, CUI Chen, and ZHANG Xin. Adaptive waveform design for cognitive radar detection in colored noise[J]. Electronic Information Warfare Technology, 2013, 28(5): 39–43, 58. doi: 10.3969/j.issn.1674-2230.2013.05.009
    [44] KAY S. Optimal signal design for detection of Gaussian point targets in stationary Gaussian clutter/reverberation[J]. IEEE Journal of Selected Topics in Signal Processing, 2007, 1(1): 31–41. doi: 10.1109/JSTSP.2007.897046
    [45] SIRA S P, COCHRAN D, PAPANDREOU-SUPPAPPOLA A, et al. Adaptive waveform design for improved detection of low-RCS targets in heavy sea clutter[J]. IEEE Journal of Selected Topics in Signal Processing, 2007, 1(1): 56–66. doi: 10.1109/JSTSP.2007.897048
    [46] SOLTANALIAN M, TANG Bo, LI Jian, et al. Joint design of the receive filter and transmit sequence for active sensing[J]. IEEE Signal Processing Letters, 2013, 20(5): 423–426. doi: 10.1109/LSP.2013.2250279
    [47] AUBRY A, DE MAIO A, PIEZZO M, et al. Cognitive radar waveform design for spectral coexistence in signal-dependent interference[C]. 2014 IEEE Radar Conference, Cincinnati, USA, 2014: 474–478. doi: 10.1109/RADAR.2014.6875638.
    [48] CHENG Xu, AUBRY A, CIUONZO D, et al. Robust waveform and filter bank design of polarimetric radar[J]. IEEE Transactions on Aerospace and Electronic Systems, 2017, 53(1): 370–384. doi: 10.1109/TAES.2017.2650619
    [49] AUBRY A, DE MAIO A, JIANG Bo, et al. Ambiguity function shaping for cognitive radar via complex quartic optimization[J]. IEEE Transactions on Signal Processing, 2013, 61(22): 5603–5619. doi: 10.1109/TSP.2013.2273885
    [50] NAGHSH M M, SOLTANALIAN M, STOICA P, et al. A Doppler robust design of transmit sequence and receive filter in the presence of signal-dependent interference[J]. IEEE Transactions on Signal Processing, 2014, 62(4): 772–785. doi: 10.1109/TSP.2013.2288082
    [51] AUBRY A, DE MAIO A, and NAGHSH M M. Optimizing radar waveform and Doppler filter bank via generalized fractional programming[J]. IEEE Journal of Selected Topics in Signal Processing, 2015, 9(8): 1387–1399. doi: 10.1109/JSTSP.2015.2469259
    [52] CUI Guolong, FU Yue, YU Xianxiang, et al. Robust transmitter-receiver design in the presence of signal-dependent clutter[J]. IEEE Transactions on Aerospace and Electronic Systems, 2018, 54(4): 1871–1882. doi: 10.1109/TAES.2018.2805147
    [53] PILLAI S U, OH H S, YOULA D C, et al. Optimal transmit-receiver design in the presence of signal-dependent interference and channel noise[J]. IEEE Transactions on Information Theory, 2000, 46(2): 577–584. doi: 10.1109/18.825822
    [54] ROMERO R A, BAE J, and GOODMAN N A. Theory and application of SNR and mutual information matched illumination waveforms[J]. IEEE Transactions on Aerospace and Electronic Systems, 2011, 47(2): 912–927. doi: 10.1109/TAES.2011.5751234
    [55] 纠博, 刘宏伟, 李丽亚, 等. 雷达波形优化的特征互信息方法[J]. 西安电子科技大学学报: 自然科学版, 2009, 36(1): 139–144. doi: 10.3969/j.issn.1001-2400.2009.01.026

    JIU Bo, LIU Hongwei, LI Liya, et al. Feature mutual information method for radar waveform optimization[J]. Journal of Xidian University, 2009, 36(1): 139–144. doi: 10.3969/j.issn.1001-2400.2009.01.026
    [56] 郝天铎, 崔琛, 龚阳, 等. 基于凸优化方法的认知雷达低峰均比波形设计[J]. 雷达学报, 2018, 7(4): 498–506. doi: 10.12000/JR18002

    HAO Tianduo, CUI Chen, GONG Yang, et al. Waveform design for cognitive radar under low PAR constraints by convex optimization[J]. Journal of Radars, 2018, 7(4): 498–506. doi: 10.12000/JR18002
    [57] CUI Guolong, FU Yue, YU Xianxiang, et al. Robust transmitter-receiver design for extended target in signal-dependent interference[J]. Signal Processing, 2018, 147: 60–67. doi: 10.1016/j.sigpro.2018.01.007
    [58] FRIEDLANDER B. Waveform design for MIMO radars[J]. IEEE Transactions on Aerospace and Electronic Systems, 2007, 43(3): 1227–1238. doi: 10.1109/TAES.2007.4383615
    [59] DULY A J, LOVE D J, and KROGMEIER J V. Time-division beamforming for MIMO radar waveform design[J]. IEEE Transactions on Aerospace and Electronic Systems, 2013, 49(2): 1210–1223. doi: 10.1109/TAES.2013.6494408
    [60] CUI Guolong, LI Hongbin, and RANGASWAMY M. MIMO radar waveform design with constant modulus and similarity constraints[J]. IEEE Transactions on Signal Processing, 2014, 62(2): 343–353. doi: 10.1109/TSP.2013.2288086
    [61] CHENG Ziyang, HE Zishu, LIAO Bin, et al. MIMO radar waveform design with PAPR and similarity constraints[J]. IEEE Transactions on Signal Processing, 2018, 66(4): 968–981. doi: 10.1109/TSP.2017.2780052
    [62] IMANI S and ALI GHORASHI S. Sequential quasi-convex-based algorithm for waveform design in colocated multiple-input multiple-output radars[J]. IET Signal Processing, 2016, 10(3): 309–317. doi: 10.1049/iet-spr.2015.0181
    [63] JIU Bo, LIU Hongwei, WANG Xu, et al. Knowledge-based spatial-temporal hierarchical MIMO radar waveform design method for target detection in heterogeneous clutter zone[J]. IEEE Transactions on Signal Processing, 2015, 63(3): 543–554. doi: 10.1109/TSP.2014.2366714
    [64] NAGHSH M M, MODARRES-HASHEMI M, KERAHROODI M A, et al. An information theoretic approach to robust constrained code design for MIMO radars[J]. IEEE Transactions on Signal Processing, 2017, 65(14): 3647–3661. doi: 10.1109/TSP.2017.2692747
    [65] WANG Yuxi, LI Wei, SUN Qilu, et al. A robust joint design of transmit waveform and receive filter for MIMO radar space-time adaptive processing with signal-dependent interferences[J]. IET Radar, Sonar & Navigation, 2017, 11(8): 1321–1332. doi: 10.1049/iet-rsn.2016.0514
    [66] TANG Bo and TANG Jun. Joint design of transmit waveforms and receive filters for MIMO radar space-time adaptive processing[J]. IEEE Transactions on Signal Processing, 2016, 64(18): 4707–4722. doi: 10.1109/TSP.2016.2569431
    [67] LIU Yuchun, WANG Hongyan, and WANG Jun. Robust multiple-input multiple-output radar waveform design in the presence of clutter[J]. IET Radar, Sonar & Navigation, 2016, 10(7): 1249–1259. doi: 10.1049/iet-rsn.2015.0497
    [68] ZHU Wei and TANG Jun. Robust design of transmit waveform and receive filter for colocated MIMO radar[J]. IEEE Signal Processing Letters, 2015, 22(11): 2112–2116. doi: 10.1109/LSP.2015.2461460
    [69] YU Xianxiang, CUI Guolong, KONG Lingjiang, et al. Constrained waveform design for colocated MIMO radar with uncertain steering matrices[J]. IEEE Transactions on Aerospace and Electronic Systems, 2019, 55(1): 356–370. doi: 10.1109/TAES.2018.2852200
    [70] YU Xianxiang, CUI Guolong, PIEZZO M, et al. Robust constrained waveform design for MIMO radar with uncertain steering vectors[J]. EURASIP Journal on Advances in Signal Processing, 2017, 2017(1): 2. doi: 10.1186/s13634-016-0437-9
    [71] KARBASI S M, AUBRY A, CAROTENUTO V, et al. Knowledge-based design of space-time transmit code and receive filter for a multiple-input-multiple-output radar in signal-dependent interference[J]. IET Radar, Sonar & Navigation, 2015, 9(8): 1124–1135. doi: 10.1049/iet-rsn.2014.0527
    [72] CUI Guolong, YU Xianxiang, CAROTENUTO V, et al. Space-time transmit code and receive filter design for colocated MIMO radar[J]. IEEE Transactions on Signal Processing, 2017, 65(5): 1116–1129. doi: 10.1109/TSP.2016.2633242
    [73] CHEN Chunyang and VAIDYANATHAN P P. MIMO radar waveform optimization with prior information of the extended target and clutter[J]. IEEE Transactions on Signal Processing, 2009, 57(9): 3533–3544. doi: 10.1109/TSP.2009.2021632
    [74] KARBASI S M, RADMARD M, NAYEBI M M, et al. Design of multiple-input multiple-output transmit waveform and receive filter for extended target detection[J]. IET Radar, Sonar & Navigation, 2015, 9(9): 1345–1353. doi: 10.1049/iet-rsn.2015.0063
    [75] NAGHIBI T and BEHNIA F. MIMO radar waveform design in the presence of clutter[J]. IEEE Transactions on Aerospace and Electronic Systems, 2011, 47(2): 770–781. doi: 10.1109/TAES.2011.5751224
    [76] TANG Bo and LI Jian. Spectrally constrained MIMO radar waveform design based on mutual information[J]. IEEE Transactions on Signal Processing, 2019, 67(3): 821–834. doi: 10.1109/TSP.2018.2887186
    [77] CUI Guolong, YU Xianxiang, YANG Ya, et al. Cognitive phase-only sequence design with desired correlation and stopband properties[J]. IEEE Transactions on Aerospace and Electronic Systems, 2017, 53(6): 2924–2935. doi: 10.1109/TAES.2017.2721238
    [78] ZHAO Licheng, SONG Junxiao, BABU P, et al. A unified framework for low autocorrelation sequence design via majorization-minimization[J]. IEEE Transactions on Signal Processing, 2017, 65(2): 438–453. doi: 10.1109/TSP.2016.2620113
    [79] HE Hao, STOICA P, and LI Jian. On synthesizing cross ambiguity functions[C]. 2011 IEEE International Conference on Acoustics, Speech and Signal Processing, Prague, Czech Republic, 2011: 3536–3539. doi: 10.1109/ICASSP.2011.5946241.
    [80] ZHANG Jindong, SHI Changli, QIU Xiaoyan, et al. Shaping radar ambiguity function by L-phase unimodular sequence[J]. IEEE Sensors Journal, 2016, 16(14): 5648–5659. doi: 10.1109/JSEN.2016.2567643
    [81] ALAEE-KERAHROODI M, SEDIGHI S, SHANKAR M R B, et al. Designing (in)finite-alphabet sequences via shaping the radar ambiguity function[C]. 2019 IEEE International Conference on Acoustics, Speech and Signal Processing, Brighton, United Kingdom, 2019: 4295–4299. doi: 10.1109/ICASSP.2019.8682216.
    [82] FENG Xiang, ZHAO Yinan, ZHOU Zhiquan, et al. Waveform design with low range sidelobe and high Doppler tolerance for cognitive radar[J]. Signal Processing, 2017, 139: 143–155. doi: 10.1016/j.sigpro.2017.04.014
    [83] ARLERY F, KASSAB R, TAN U, et al. Efficient gradient method for locally optimizing the periodic/aperiodic ambiguity function[C]. 2016 IEEE Radar Conference, Philadelphia, USA, 2016: 1–6. doi: 10.1109/RADAR.2016.7485309.
    [84] CUI Guolong, FU Yue, YU Xianxiang, et al. Local ambiguity function shaping via unimodular sequence design[J]. IEEE Signal Processing Letters, 2017, 24(7): 977–981. doi: 10.1109/LSP.2017.2700396
    [85] JING Yang, LIANG Junli, TANG Bo, et al. Designing unimodular sequence with low peak of sidelobe level of local ambiguity function[J]. IEEE Transactions on Aerospace and Electronic Systems, 2019, 55(3): 1393–1406. doi: 10.1109/TAES.2018.2870459
    [86] YANG Jing, CUI Guolong, YU Xianxiang, et al. Cognitive local ambiguity function shaping with spectral coexistence[J]. IEEE Access, 2018, 6: 50077–50086. doi: 10.1109/ACCESS.2018.2868884
    [87] CUI Guolong, YU Xianxiang, PIEZZO M, et al. Constant modulus sequence set design with good correlation properties[J]. Signal Processing, 2017, 139: 75–85. doi: 10.1016/j.sigpro.2017.04.009
    [88] LI Yongzhe and VOROBYOV S A. Fast algorithms for designing unimodular waveform(s) with good correlation properties[J]. IEEE Transactions on Signal Processing, 2018, 66(5): 1197–1212. doi: 10.1109/TSP.2017.2787104
    [89] YU Guoyang, LIANG Junli, LI Jian, et al. Sequence set design with accurately controlled correlation properties[J]. IEEE Transactions on Aerospace and Electronic Systems, 2018, 54(6): 3032–3046. doi: 10.1109/TAES.2018.2836778
    [90] GERLACH K. Thinned spectrum ultrawideband waveforms using stepped-frequency polyphase codes[J]. IEEE Transactions on Aerospace and Electronic Systems, 1998, 34(4): 1356–1361. doi: 10.1109/7.722721
    [91] FAUST H H, CONNOLLY B, FIRESTONE T M, et al. A spectrally clean transmitting system for solid-state phased-array radars[C]. 2004 IEEE Radar Conference, Philadelphia, USA, 2004: 140–144. doi: 10.1109/NRC.2004.1316410.
    [92] DE GRAAF J, FAUST H, ALATISHE J, et al. Generation of spectrally confined transmitted radar waveforms: Experimental results[C]. 2006 IEEE Radar Conference, Verona, USA, 2006: 76–83. doi: 10.1109/RADAR.2006.1631779.
    [93] SELESNICK I W, PILLAI S U, and ZHENG Richeng. An iterative algorithm for the construction of notched chirp signals[C]. Proceedings of 2010 IEEE Radar Conference, Washington, USA, 2010: 200–203. doi: 10.1109/RADAR.2010.5494625.
    [94] LINDENFELD M J. Sparse frequency transmit-and-receive waveform design[J]. IEEE Transactions on Aerospace and Electronic Systems, 2004, 40(3): 851–861. doi: 10.1109/TAES.2004.1337459
    [95] LIU W X, LU Y L, and LESTURGIE M. Optimal sparse waveform design for HFSWR system[C]. 2007 International Waveform Diversity and Design Conference, Pisa, Italy, 2007: 127–130. doi: 10.1109/WDDC.2007.4339394.
    [96] WANG Guohua, MAI Chaoyun, SUN Jinping, et al. Sparse frequency waveform analysis and design based on ambiguity function theory[J]. IET Radar, Sonar & Navigation, 2016, 10(4): 707–717. doi: 10.1049/iet-rsn.2015.0270
    [97] ROWE W, STOICA P, and LI Jian. Spectrally constrained waveform design[J]. IEEE Signal Processing Magazine, 2014, 31(3): 157–162. doi: 10.1109/MSP.2014.2301792
    [98] LIANG Junli, SO H C, LEUNG CS, et al. Waveform design with unit modulus and spectral shape constraints via lagrange programming neural network[J]. IEEE Journal of Selected Topics in Signal Processing, 2015, 9(8): 1377–1386. doi: 10.1109/JSTSP.2015.2464178
    [99] TANG Bo and LIANG Junli. Efficient algorithms for synthesizing probing waveforms with desired spectral shapes[J]. IEEE Transactions on Aerospace and Electronic Systems, 2019, 55(3): 1174–1189. doi: 10.1109/TAES.2018.2876585
    [100] GE Peng, CUI Guolong, KARBASI S M, et al. A template fitting approach for cognitive unimodular sequence design[J]. Signal Processing, 2016, 128: 360–368. doi: 10.1016/j.sigpro.2016.05.008
    [101] YANG Jing, CUI Guolong, YU Xianxiang, et al. Waveform design with spectral coexistence[C]. 2019 IEEE Radar Conference, Boston, USA, 2019. doi: 10.1109/RADAR.2019.8835848.
    [102] FUHRMANN D R and SAN ANTONIO G. Transmit beamforming for MIMO radar systems using partial signal correlation[C]. 2004 Conference Record of the Thirty-Eighth Asilomar Conference on Signals, Systems and Computers, Pacific Grove, USA, 2004. doi: 10.1109/ACSSC.2004.1399140.
    [103] STOICA P, LI Jian, and XIE Yao. On probing signal design for MIMO radar[J]. IEEE Transactions on Signal Processing, 2007, 55(8): 4151–4161. doi: 10.1109/TSP.2007.894398
    [104] AHMED S, THOMPSON J S, PETILLOT Y R, et al. Unconstrained synthesis of covariance matrix for MIMO radar transmit beampattern[J]. IEEE Transactions on Signal Processing, 2011, 59(8): 3837–3849. doi: 10.1109/TSP.2011.2153200
    [105] HUA Guang and ABEYSEKERA S S. MIMO radar transmit beampattern design with ripple and transition band control[J]. IEEE Transactions on Signal Processing, 2013, 61(11): 2963–2974. doi: 10.1109/TSP.2013.2252173
    [106] LIPOR J, AHMED S, and ALOUINI M S. Fourier-based transmit beampattern design using MIMO radar[J]. IEEE Transactions on Signal Processing, 2014, 62(9): 2226–2235. doi: 10.1109/TSP.2014.2307838
    [107] GONG Pengcheng, SHAO Zhenhai, TU Guangpeng, et al. Transmit beampattern design based on convex optimization for MIMO radar systems[J]. Signal Processing, 2014, 94: 195–201. doi: 10.1016/j.sigpro.2013.06.021
    [108] YU Xianxiang, CUI Guolong, ZHANG Tianxian, et al. Constrained transmit beampattern design for colocated MIMO radar[J]. Signal Processing, 2018, 144: 145–154. doi: 10.1016/j.sigpro.2017.10.010
    [109] STOICA P, LI Jian, and ZHU Xumin. Waveform synthesis for diversity-based transmit beampattern design[J]. IEEE Transactions on Signal Processing, 2008, 56(6): 2593–2598. doi: 10.1109/TSP.2007.916139
    [110] WANG Yongchao, WANG Xu, LIU Hongwei, et al. On the design of constant modulus probing signals for MIMO radar[J]. IEEE Transactions on Signal Processing, 2012, 60(8): 4432–4438. doi: 10.1109/TSP.2012.2197615
    [111] AHMED S and ALOUINI M S. MIMO radar transmit beampattern design without synthesising the covariance matrix[J]. IEEE Transactions on Signal Processing, 2014, 62(9): 2278–2289. doi: 10.1109/TSP.2014.2310435
    [112] SOLTANALIAN M, HU Heng, and STOICA P. Single-stage transmit beamforming design for MIMO radar[J]. Signal Processing, 2014, 102: 132–138. doi: 10.1016/j.sigpro.2014.03.013
    [113] ZHANG Xiaojun, HE Zishu, RAYMAN-BACCHUS L, et al. MIMO radar transmit beampattern matching design[J]. IEEE Transactions on Signal Processing, 2015, 63(8): 2049–2056. doi: 10.1109/TSP.2015.2398841
    [114] CHENG Ziyang, HAN Chunlin, LIAO Bin, et al. Communication-aware waveform design for MIMO radar with good transmit beampattern[J]. IEEE Transactions on Signal Processing, 2018, 66(21): 5549–5562. doi: 10.1109/TSP.2018.2868042
    [115] FAN Wen, LIANG Junli, and LI Jian. Constant modulus MIMO radar waveform design with minimum peak sidelobe transmit beampattern[J]. IEEE Transactions on Signal Processing, 2018, 66(16): 4207–4222. doi: 10.1109/TSP.2018.2847636
    [116] HE Hao, STOICA P, and LI Jian. Wideband MIMO systems: Signal design for transmit beampattern synthesis[J]. IEEE Transactions on Signal Processing, 2011, 59(2): 618–628. doi: 10.1109/TSP.2010.2091410
    [117] ALDAYEL O, MONGA V, and RANGASWAMY M. Tractable transmit MIMO beampattern design under a constant modulus constraint[J]. IEEE Transactions on Signal Processing, 2017, 65(10): 2588–2599. doi: 10.1109/TSP.2017.2664040
    [118] MCCORMICK P M, BLUNT S D, and METCALF J G. Wideband MIMO frequency-modulated emission design with space-frequency nulling[J]. IEEE Journal of Selected Topics in Signal Processing, 2017, 11(2): 363–378. doi: 10.1109/JSTSP.2016.2627180
    [119] YU Xianxiang, CUI Guolong, YANG Jing, et al. Wideband MIMO radar waveform design[J]. IEEE Transactions on Signal Processing, 2019, 67(13): 3487–3501. doi: 10.1109/TSP.2019.2916732
    [120] CUI Guolong, YANG Jing, LU Shuping, et al. Dual-use unimodular sequence design via frequency nulling modulation[J]. IEEE Access, 2018, 6: 62470–62481. doi: 10.1109/ACCESS.2018.2876644
    [121] LIU Yongjun, LIAO Guisheng, XU Jingwei, et al. Adaptive OFDM integrated radar and communications waveform design based on information theory[J]. IEEE Communications Letters, 2017, 21(10): 2174–2177. doi: 10.1109/LCOMM.2017.2723890
    [122] HASSANIEN A, AMIN M G, ZHANG Y D, et al. Dual-function radar-communications: Information embedding using sidelobe control and waveform diversity[J]. IEEE Transactions on Signal Processing, 2016, 64(8): 2168–2181. doi: 10.1109/TSP.2015.2505667
  • 加载中
图(12)
计量
  • 文章访问数: 
  • HTML全文浏览量: 
  • PDF下载量: 
  • 被引次数: 0
出版历程
  • 收稿日期:  2019-08-01
  • 修回日期:  2019-10-06
  • 网络出版日期:  2019-10-01

目录

    /

    返回文章
    返回