2022年 11卷 第4期
2022, 11(4): 517-529.
摘要:
根据无人机蜂群构型自组织调整位置和权向量能够实现波束指向特定方向的任务需求,该文提出了一种新颖的任务驱动的自组织蜂群柔性阵列波束赋形算法。首先,建立以无人机蜂群距离为约束、以无人机机载天线坐标位置及权向量为优化变量的波束赋形数学模型。接着,应用Lawson准则简化目标函数,将天线坐标位置及权向量的两类变量优化问题简化为天线坐标位置的单类变量优化,解决了波束赋形模型优化变量耦合带来的求解难题。同时,引入辅助变量,进行约束和复杂目标函数的分离,并通过交替方向乘子法进行求解,降低了包含约束的高度非线性优化问题的求解难度。此外,该文将上述算法扩展至目标方向不精确的应用场景。仿真结果表明,该方法可有效降低波束赋形峰值旁边电平。 根据无人机蜂群构型自组织调整位置和权向量能够实现波束指向特定方向的任务需求,该文提出了一种新颖的任务驱动的自组织蜂群柔性阵列波束赋形算法。首先,建立以无人机蜂群距离为约束、以无人机机载天线坐标位置及权向量为优化变量的波束赋形数学模型。接着,应用Lawson准则简化目标函数,将天线坐标位置及权向量的两类变量优化问题简化为天线坐标位置的单类变量优化,解决了波束赋形模型优化变量耦合带来的求解难题。同时,引入辅助变量,进行约束和复杂目标函数的分离,并通过交替方向乘子法进行求解,降低了包含约束的高度非线性优化问题的求解难度。此外,该文将上述算法扩展至目标方向不精确的应用场景。仿真结果表明,该方法可有效降低波束赋形峰值旁边电平。
根据无人机蜂群构型自组织调整位置和权向量能够实现波束指向特定方向的任务需求,该文提出了一种新颖的任务驱动的自组织蜂群柔性阵列波束赋形算法。首先,建立以无人机蜂群距离为约束、以无人机机载天线坐标位置及权向量为优化变量的波束赋形数学模型。接着,应用Lawson准则简化目标函数,将天线坐标位置及权向量的两类变量优化问题简化为天线坐标位置的单类变量优化,解决了波束赋形模型优化变量耦合带来的求解难题。同时,引入辅助变量,进行约束和复杂目标函数的分离,并通过交替方向乘子法进行求解,降低了包含约束的高度非线性优化问题的求解难度。此外,该文将上述算法扩展至目标方向不精确的应用场景。仿真结果表明,该方法可有效降低波束赋形峰值旁边电平。 根据无人机蜂群构型自组织调整位置和权向量能够实现波束指向特定方向的任务需求,该文提出了一种新颖的任务驱动的自组织蜂群柔性阵列波束赋形算法。首先,建立以无人机蜂群距离为约束、以无人机机载天线坐标位置及权向量为优化变量的波束赋形数学模型。接着,应用Lawson准则简化目标函数,将天线坐标位置及权向量的两类变量优化问题简化为天线坐标位置的单类变量优化,解决了波束赋形模型优化变量耦合带来的求解难题。同时,引入辅助变量,进行约束和复杂目标函数的分离,并通过交替方向乘子法进行求解,降低了包含约束的高度非线性优化问题的求解难度。此外,该文将上述算法扩展至目标方向不精确的应用场景。仿真结果表明,该方法可有效降低波束赋形峰值旁边电平。
2022, 11(4): 530-542.
摘要:
为实现集中式多输入多输出(MIMO)雷达波束扫描,本文在峰值平均功率比(PAPR)、能量以及布尔(天线位置选择)约束下,基于min-max波束图匹配准则,首次提出MIMO雷达天线位置和多组探测波形(一组波形对应一个独立的波束图)的联合优方法。由于非凸PAPR约束、布尔约束以及min-max目标函数的非凸非光滑性导致了优化问题成为典型的大规模NP-难问题。为求解该NP-难优化问题,该文首先利用Lawson算法将min-max问题转化为迭代加权最小二乘(ILS)问题,然后根据上界函数最小化(MM)准则简化ILS优化问题,最后用交替方向乘子法(ADMM)求解简化后的上界优化问题。数值仿真结果检验了所提算法的有效性。 为实现集中式多输入多输出(MIMO)雷达波束扫描,本文在峰值平均功率比(PAPR)、能量以及布尔(天线位置选择)约束下,基于min-max波束图匹配准则,首次提出MIMO雷达天线位置和多组探测波形(一组波形对应一个独立的波束图)的联合优方法。由于非凸PAPR约束、布尔约束以及min-max目标函数的非凸非光滑性导致了优化问题成为典型的大规模NP-难问题。为求解该NP-难优化问题,该文首先利用Lawson算法将min-max问题转化为迭代加权最小二乘(ILS)问题,然后根据上界函数最小化(MM)准则简化ILS优化问题,最后用交替方向乘子法(ADMM)求解简化后的上界优化问题。数值仿真结果检验了所提算法的有效性。
为实现集中式多输入多输出(MIMO)雷达波束扫描,本文在峰值平均功率比(PAPR)、能量以及布尔(天线位置选择)约束下,基于min-max波束图匹配准则,首次提出MIMO雷达天线位置和多组探测波形(一组波形对应一个独立的波束图)的联合优方法。由于非凸PAPR约束、布尔约束以及min-max目标函数的非凸非光滑性导致了优化问题成为典型的大规模NP-难问题。为求解该NP-难优化问题,该文首先利用Lawson算法将min-max问题转化为迭代加权最小二乘(ILS)问题,然后根据上界函数最小化(MM)准则简化ILS优化问题,最后用交替方向乘子法(ADMM)求解简化后的上界优化问题。数值仿真结果检验了所提算法的有效性。 为实现集中式多输入多输出(MIMO)雷达波束扫描,本文在峰值平均功率比(PAPR)、能量以及布尔(天线位置选择)约束下,基于min-max波束图匹配准则,首次提出MIMO雷达天线位置和多组探测波形(一组波形对应一个独立的波束图)的联合优方法。由于非凸PAPR约束、布尔约束以及min-max目标函数的非凸非光滑性导致了优化问题成为典型的大规模NP-难问题。为求解该NP-难优化问题,该文首先利用Lawson算法将min-max问题转化为迭代加权最小二乘(ILS)问题,然后根据上界函数最小化(MM)准则简化ILS优化问题,最后用交替方向乘子法(ADMM)求解简化后的上界优化问题。数值仿真结果检验了所提算法的有效性。
2022, 11(4): 543-556.
摘要:
该文讨论了多输入多输出(MIMO)雷达发射波形和接收滤波器的联合优化问题,以确保与叠加的授权通信网络频谱兼容。考虑信号相关杂波的干扰,在发射能量、相似性和频谱兼容约束下,所提出的信干噪比(SINR)最大化的优化问题是NP-hard问题。为此,首先引入辅助变量对原问题进行修正,然后提出了一种基于乘子块连续上界极小化的原对偶(ABSUM)算法求解该问题。此外,利用内点法求解在ABSUM算法每个更新过程中涉及的二次规划问题。最后,仿真结果表明,ABSUM算法在输出SINR、波束图、频谱特性等方面优于现有方法。 该文讨论了多输入多输出(MIMO)雷达发射波形和接收滤波器的联合优化问题,以确保与叠加的授权通信网络频谱兼容。考虑信号相关杂波的干扰,在发射能量、相似性和频谱兼容约束下,所提出的信干噪比(SINR)最大化的优化问题是NP-hard问题。为此,首先引入辅助变量对原问题进行修正,然后提出了一种基于乘子块连续上界极小化的原对偶(ABSUM)算法求解该问题。此外,利用内点法求解在ABSUM算法每个更新过程中涉及的二次规划问题。最后,仿真结果表明,ABSUM算法在输出SINR、波束图、频谱特性等方面优于现有方法。
该文讨论了多输入多输出(MIMO)雷达发射波形和接收滤波器的联合优化问题,以确保与叠加的授权通信网络频谱兼容。考虑信号相关杂波的干扰,在发射能量、相似性和频谱兼容约束下,所提出的信干噪比(SINR)最大化的优化问题是NP-hard问题。为此,首先引入辅助变量对原问题进行修正,然后提出了一种基于乘子块连续上界极小化的原对偶(ABSUM)算法求解该问题。此外,利用内点法求解在ABSUM算法每个更新过程中涉及的二次规划问题。最后,仿真结果表明,ABSUM算法在输出SINR、波束图、频谱特性等方面优于现有方法。 该文讨论了多输入多输出(MIMO)雷达发射波形和接收滤波器的联合优化问题,以确保与叠加的授权通信网络频谱兼容。考虑信号相关杂波的干扰,在发射能量、相似性和频谱兼容约束下,所提出的信干噪比(SINR)最大化的优化问题是NP-hard问题。为此,首先引入辅助变量对原问题进行修正,然后提出了一种基于乘子块连续上界极小化的原对偶(ABSUM)算法求解该问题。此外,利用内点法求解在ABSUM算法每个更新过程中涉及的二次规划问题。最后,仿真结果表明,ABSUM算法在输出SINR、波束图、频谱特性等方面优于现有方法。
2022, 11(4): 557-569.
摘要:
在MIMO雷达中配备大量有源天线单元可以获得优异的波束形成性能,但会导致系统能耗大、电路复杂及成本高等问题。采用低精度的DAC组件可有效克服上述问题,但现有基于无限精度DAC条件所设计的MIMO雷达波形往往难以直接适用于低精度DAC系统。为此,该文提出了一种离散相位约束下基于最小化积分副主瓣比的低精度量化MIMO雷达恒模波形设计方法。该方法首先采用丁克尔巴赫(Dinkelbach)算法将目标函数二次分数形式转换成减法形式,再利用交替方向惩罚法求解非凸恒模离散相位约束问题。最后通过数值仿真与其他方法进行对比,分析了所提方法的发射方向图与积分副主瓣比性能,验证了该方法的有效性。 在MIMO雷达中配备大量有源天线单元可以获得优异的波束形成性能,但会导致系统能耗大、电路复杂及成本高等问题。采用低精度的DAC组件可有效克服上述问题,但现有基于无限精度DAC条件所设计的MIMO雷达波形往往难以直接适用于低精度DAC系统。为此,该文提出了一种离散相位约束下基于最小化积分副主瓣比的低精度量化MIMO雷达恒模波形设计方法。该方法首先采用丁克尔巴赫(Dinkelbach)算法将目标函数二次分数形式转换成减法形式,再利用交替方向惩罚法求解非凸恒模离散相位约束问题。最后通过数值仿真与其他方法进行对比,分析了所提方法的发射方向图与积分副主瓣比性能,验证了该方法的有效性。
在MIMO雷达中配备大量有源天线单元可以获得优异的波束形成性能,但会导致系统能耗大、电路复杂及成本高等问题。采用低精度的DAC组件可有效克服上述问题,但现有基于无限精度DAC条件所设计的MIMO雷达波形往往难以直接适用于低精度DAC系统。为此,该文提出了一种离散相位约束下基于最小化积分副主瓣比的低精度量化MIMO雷达恒模波形设计方法。该方法首先采用丁克尔巴赫(Dinkelbach)算法将目标函数二次分数形式转换成减法形式,再利用交替方向惩罚法求解非凸恒模离散相位约束问题。最后通过数值仿真与其他方法进行对比,分析了所提方法的发射方向图与积分副主瓣比性能,验证了该方法的有效性。 在MIMO雷达中配备大量有源天线单元可以获得优异的波束形成性能,但会导致系统能耗大、电路复杂及成本高等问题。采用低精度的DAC组件可有效克服上述问题,但现有基于无限精度DAC条件所设计的MIMO雷达波形往往难以直接适用于低精度DAC系统。为此,该文提出了一种离散相位约束下基于最小化积分副主瓣比的低精度量化MIMO雷达恒模波形设计方法。该方法首先采用丁克尔巴赫(Dinkelbach)算法将目标函数二次分数形式转换成减法形式,再利用交替方向惩罚法求解非凸恒模离散相位约束问题。最后通过数值仿真与其他方法进行对比,分析了所提方法的发射方向图与积分副主瓣比性能,验证了该方法的有效性。
2022, 11(4): 570-580.
摘要:
针对杂波环境中雷达通信一体化系统探测性能下降的问题,该文以信干噪比作为设计准则,通过联合优化系统发射波形和接收滤波器来抑制杂波,进而增强目标探测性能。为同时保证系统信息传输的质量,将通信信号的多用户干扰能量纳入约束条件。此外,引入相似性约束使得发射波形具有良好的模糊函数。为求解发射波形和接收滤波器联合优化问题,提出了一种基于循环优化和半正定松弛的迭代算法。理论分析证明了算法的收敛性。仿真结果表明,所设计的波形不仅可以提升系统在杂波环境中的目标探测性能,而且可以高效地实现多用户通信。 针对杂波环境中雷达通信一体化系统探测性能下降的问题,该文以信干噪比作为设计准则,通过联合优化系统发射波形和接收滤波器来抑制杂波,进而增强目标探测性能。为同时保证系统信息传输的质量,将通信信号的多用户干扰能量纳入约束条件。此外,引入相似性约束使得发射波形具有良好的模糊函数。为求解发射波形和接收滤波器联合优化问题,提出了一种基于循环优化和半正定松弛的迭代算法。理论分析证明了算法的收敛性。仿真结果表明,所设计的波形不仅可以提升系统在杂波环境中的目标探测性能,而且可以高效地实现多用户通信。
针对杂波环境中雷达通信一体化系统探测性能下降的问题,该文以信干噪比作为设计准则,通过联合优化系统发射波形和接收滤波器来抑制杂波,进而增强目标探测性能。为同时保证系统信息传输的质量,将通信信号的多用户干扰能量纳入约束条件。此外,引入相似性约束使得发射波形具有良好的模糊函数。为求解发射波形和接收滤波器联合优化问题,提出了一种基于循环优化和半正定松弛的迭代算法。理论分析证明了算法的收敛性。仿真结果表明,所设计的波形不仅可以提升系统在杂波环境中的目标探测性能,而且可以高效地实现多用户通信。 针对杂波环境中雷达通信一体化系统探测性能下降的问题,该文以信干噪比作为设计准则,通过联合优化系统发射波形和接收滤波器来抑制杂波,进而增强目标探测性能。为同时保证系统信息传输的质量,将通信信号的多用户干扰能量纳入约束条件。此外,引入相似性约束使得发射波形具有良好的模糊函数。为求解发射波形和接收滤波器联合优化问题,提出了一种基于循环优化和半正定松弛的迭代算法。理论分析证明了算法的收敛性。仿真结果表明,所设计的波形不仅可以提升系统在杂波环境中的目标探测性能,而且可以高效地实现多用户通信。
2022, 11(4): 581-599.
摘要:
针对合成孔径雷达(SAR)舰船斜框检测数据集较少,难以满足算法发展和实际应用需求的问题,该文公开了SAR舰船斜框检测数据集(RSDD-SAR),该数据集由84景高分3号数据和41景TerraSAR-X数据切片及2景未剪裁大图,共127景数据构成,包含多种成像模式、多种极化方式、多种分辨率切片7000张,舰船实例10263个,通过自动标注和人工修正相结合的方式高效标注。同时,该文对几种常用的光学遥感图像斜框检测算法和SAR舰船斜框检测算法进行了实验,其中单阶段算法S2ANet检测效果最佳,平均精度达到90.06%。通过实验对比分析形成基准指标,可供相关学者参考。最后,该文通过泛化能力测试,分析讨论了RSDD-SAR数据集训练模型在其他数据集和未剪裁大图上的性能,结果表明:该数据集训练模型具有较好的泛化能力,说明该数据集具有较强的应用价值。RSDD-SAR数据集可在以下网址下载:https://radars.ac.cn/web/data/getData?dataType=SDD-SAR 。
针对合成孔径雷达(SAR)舰船斜框检测数据集较少,难以满足算法发展和实际应用需求的问题,该文公开了SAR舰船斜框检测数据集(RSDD-SAR),该数据集由84景高分3号数据和41景TerraSAR-X数据切片及2景未剪裁大图,共127景数据构成,包含多种成像模式、多种极化方式、多种分辨率切片7000张,舰船实例10263个,通过自动标注和人工修正相结合的方式高效标注。同时,该文对几种常用的光学遥感图像斜框检测算法和SAR舰船斜框检测算法进行了实验,其中单阶段算法S2ANet检测效果最佳,平均精度达到90.06%。通过实验对比分析形成基准指标,可供相关学者参考。最后,该文通过泛化能力测试,分析讨论了RSDD-SAR数据集训练模型在其他数据集和未剪裁大图上的性能,结果表明:该数据集训练模型具有较好的泛化能力,说明该数据集具有较强的应用价值。RSDD-SAR数据集可在以下网址下载:https://radars.ac.cn/web/data/getData?dataType=SDD-SAR 。
针对合成孔径雷达(SAR)舰船斜框检测数据集较少,难以满足算法发展和实际应用需求的问题,该文公开了SAR舰船斜框检测数据集(RSDD-SAR),该数据集由84景高分3号数据和41景TerraSAR-X数据切片及2景未剪裁大图,共127景数据构成,包含多种成像模式、多种极化方式、多种分辨率切片7000张,舰船实例10263个,通过自动标注和人工修正相结合的方式高效标注。同时,该文对几种常用的光学遥感图像斜框检测算法和SAR舰船斜框检测算法进行了实验,其中单阶段算法S2ANet检测效果最佳,平均精度达到90.06%。通过实验对比分析形成基准指标,可供相关学者参考。最后,该文通过泛化能力测试,分析讨论了RSDD-SAR数据集训练模型在其他数据集和未剪裁大图上的性能,结果表明:该数据集训练模型具有较好的泛化能力,说明该数据集具有较强的应用价值。RSDD-SAR数据集可在以下网址下载:
2022, 11(4): 600-617.
摘要:
极化干涉合成孔径雷达(PolInSAR)在城区等复杂场景下的应用受到了越来越多的关注。面向城区的极化干涉SAR处理主要包括基于极化最优相干的干涉测高、基于极化分解的干涉测高、联立极化干涉观测方程直接求解不同散射机制高度这3种模式。现有研究对各类误差在极化干涉SAR不同处理模式下的综合影响分析尚很欠缺。该文在构建极化干涉SAR误差模型的基础上,提出了联立极化观测方程下散射机制的求解方法,推导了极化失真和干涉误差在极化干涉SAR不同处理模式下的综合影响模型,并通过仿真验证了模型的正确性,同时给出了3种处理模式补偿误差后的高度反演结果,补偿误差后通过极化最优相干得到建筑区域高度的均方根误差(RMSE)为2.77 m。在此基础上,通过仿真给出了极化干涉SAR不同处理模型下的误差影响曲线,比较了不同处理模型受误差影响的程度,并给出了合理解释,研究结果为极化干涉SAR系统设计、处理方法选择及数据应用提供了参考。 极化干涉合成孔径雷达(PolInSAR)在城区等复杂场景下的应用受到了越来越多的关注。面向城区的极化干涉SAR处理主要包括基于极化最优相干的干涉测高、基于极化分解的干涉测高、联立极化干涉观测方程直接求解不同散射机制高度这3种模式。现有研究对各类误差在极化干涉SAR不同处理模式下的综合影响分析尚很欠缺。该文在构建极化干涉SAR误差模型的基础上,提出了联立极化观测方程下散射机制的求解方法,推导了极化失真和干涉误差在极化干涉SAR不同处理模式下的综合影响模型,并通过仿真验证了模型的正确性,同时给出了3种处理模式补偿误差后的高度反演结果,补偿误差后通过极化最优相干得到建筑区域高度的均方根误差(RMSE)为2.77 m。在此基础上,通过仿真给出了极化干涉SAR不同处理模型下的误差影响曲线,比较了不同处理模型受误差影响的程度,并给出了合理解释,研究结果为极化干涉SAR系统设计、处理方法选择及数据应用提供了参考。
极化干涉合成孔径雷达(PolInSAR)在城区等复杂场景下的应用受到了越来越多的关注。面向城区的极化干涉SAR处理主要包括基于极化最优相干的干涉测高、基于极化分解的干涉测高、联立极化干涉观测方程直接求解不同散射机制高度这3种模式。现有研究对各类误差在极化干涉SAR不同处理模式下的综合影响分析尚很欠缺。该文在构建极化干涉SAR误差模型的基础上,提出了联立极化观测方程下散射机制的求解方法,推导了极化失真和干涉误差在极化干涉SAR不同处理模式下的综合影响模型,并通过仿真验证了模型的正确性,同时给出了3种处理模式补偿误差后的高度反演结果,补偿误差后通过极化最优相干得到建筑区域高度的均方根误差(RMSE)为2.77 m。在此基础上,通过仿真给出了极化干涉SAR不同处理模型下的误差影响曲线,比较了不同处理模型受误差影响的程度,并给出了合理解释,研究结果为极化干涉SAR系统设计、处理方法选择及数据应用提供了参考。 极化干涉合成孔径雷达(PolInSAR)在城区等复杂场景下的应用受到了越来越多的关注。面向城区的极化干涉SAR处理主要包括基于极化最优相干的干涉测高、基于极化分解的干涉测高、联立极化干涉观测方程直接求解不同散射机制高度这3种模式。现有研究对各类误差在极化干涉SAR不同处理模式下的综合影响分析尚很欠缺。该文在构建极化干涉SAR误差模型的基础上,提出了联立极化观测方程下散射机制的求解方法,推导了极化失真和干涉误差在极化干涉SAR不同处理模式下的综合影响模型,并通过仿真验证了模型的正确性,同时给出了3种处理模式补偿误差后的高度反演结果,补偿误差后通过极化最优相干得到建筑区域高度的均方根误差(RMSE)为2.77 m。在此基础上,通过仿真给出了极化干涉SAR不同处理模型下的误差影响曲线,比较了不同处理模型受误差影响的程度,并给出了合理解释,研究结果为极化干涉SAR系统设计、处理方法选择及数据应用提供了参考。
2022, 11(4): 618-636.
摘要:
在层析SAR技术的实际应用中,航过数量通常受高昂成本等因素的限制。互质层析SAR技术通过稀疏分布航过位置、延长基线孔径长度,可以降低所需的航过数量。当采用子空间方法开展互质层析SAR重构处理时,为了获得可靠的层析图,研究最少航过数量估计问题。考虑到子空间方法的重构性能受多个参数的影响,因此航过数量的选择必须综合考虑所有相关参数对重构结果的影响。为此,通过样本特征值分析方式建立子空间方法的可靠性保证条件。根据这个可靠性保证条件,提出了一种估计最少航过数量的方法。与传统的最少航过数量估计方法相比,所提方法的优势在于:同时考虑所有的相关参数,且具有解析的数学描述式。最后,仿真实验证实由所提方法估算的航过数量确实接近最小,且能够保证重构结果可靠。 在层析SAR技术的实际应用中,航过数量通常受高昂成本等因素的限制。互质层析SAR技术通过稀疏分布航过位置、延长基线孔径长度,可以降低所需的航过数量。当采用子空间方法开展互质层析SAR重构处理时,为了获得可靠的层析图,研究最少航过数量估计问题。考虑到子空间方法的重构性能受多个参数的影响,因此航过数量的选择必须综合考虑所有相关参数对重构结果的影响。为此,通过样本特征值分析方式建立子空间方法的可靠性保证条件。根据这个可靠性保证条件,提出了一种估计最少航过数量的方法。与传统的最少航过数量估计方法相比,所提方法的优势在于:同时考虑所有的相关参数,且具有解析的数学描述式。最后,仿真实验证实由所提方法估算的航过数量确实接近最小,且能够保证重构结果可靠。
在层析SAR技术的实际应用中,航过数量通常受高昂成本等因素的限制。互质层析SAR技术通过稀疏分布航过位置、延长基线孔径长度,可以降低所需的航过数量。当采用子空间方法开展互质层析SAR重构处理时,为了获得可靠的层析图,研究最少航过数量估计问题。考虑到子空间方法的重构性能受多个参数的影响,因此航过数量的选择必须综合考虑所有相关参数对重构结果的影响。为此,通过样本特征值分析方式建立子空间方法的可靠性保证条件。根据这个可靠性保证条件,提出了一种估计最少航过数量的方法。与传统的最少航过数量估计方法相比,所提方法的优势在于:同时考虑所有的相关参数,且具有解析的数学描述式。最后,仿真实验证实由所提方法估算的航过数量确实接近最小,且能够保证重构结果可靠。 在层析SAR技术的实际应用中,航过数量通常受高昂成本等因素的限制。互质层析SAR技术通过稀疏分布航过位置、延长基线孔径长度,可以降低所需的航过数量。当采用子空间方法开展互质层析SAR重构处理时,为了获得可靠的层析图,研究最少航过数量估计问题。考虑到子空间方法的重构性能受多个参数的影响,因此航过数量的选择必须综合考虑所有相关参数对重构结果的影响。为此,通过样本特征值分析方式建立子空间方法的可靠性保证条件。根据这个可靠性保证条件,提出了一种估计最少航过数量的方法。与传统的最少航过数量估计方法相比,所提方法的优势在于:同时考虑所有的相关参数,且具有解析的数学描述式。最后,仿真实验证实由所提方法估算的航过数量确实接近最小,且能够保证重构结果可靠。
2022, 11(4): 637-651.
摘要:
随着SAR技术应用领域的扩大以及SAR数据获取技术的发展,构建各种典型目标的多角度SAR数据集的需求日益迫切。针对飞机目标,目前尚未有比较完备的多角度SAR图像数据集。该文探索了一种基于实测数据和智能仿真相结合的数据集构建方法,通过飞行试验采集飞机目标SAR多角度数据,并基于散射分析和自注意力生成对抗网络实现特定角度的SAR图像内插仿真,从而为数据集构建和扩容提供新的解决方案。最后,在假定部分数据缺失的情况下,通过6种评价指标对仿真图像和实际采集图像的相似度进行了评价,验证了所提方法的有效性。 随着SAR技术应用领域的扩大以及SAR数据获取技术的发展,构建各种典型目标的多角度SAR数据集的需求日益迫切。针对飞机目标,目前尚未有比较完备的多角度SAR图像数据集。该文探索了一种基于实测数据和智能仿真相结合的数据集构建方法,通过飞行试验采集飞机目标SAR多角度数据,并基于散射分析和自注意力生成对抗网络实现特定角度的SAR图像内插仿真,从而为数据集构建和扩容提供新的解决方案。最后,在假定部分数据缺失的情况下,通过6种评价指标对仿真图像和实际采集图像的相似度进行了评价,验证了所提方法的有效性。
随着SAR技术应用领域的扩大以及SAR数据获取技术的发展,构建各种典型目标的多角度SAR数据集的需求日益迫切。针对飞机目标,目前尚未有比较完备的多角度SAR图像数据集。该文探索了一种基于实测数据和智能仿真相结合的数据集构建方法,通过飞行试验采集飞机目标SAR多角度数据,并基于散射分析和自注意力生成对抗网络实现特定角度的SAR图像内插仿真,从而为数据集构建和扩容提供新的解决方案。最后,在假定部分数据缺失的情况下,通过6种评价指标对仿真图像和实际采集图像的相似度进行了评价,验证了所提方法的有效性。 随着SAR技术应用领域的扩大以及SAR数据获取技术的发展,构建各种典型目标的多角度SAR数据集的需求日益迫切。针对飞机目标,目前尚未有比较完备的多角度SAR图像数据集。该文探索了一种基于实测数据和智能仿真相结合的数据集构建方法,通过飞行试验采集飞机目标SAR多角度数据,并基于散射分析和自注意力生成对抗网络实现特定角度的SAR图像内插仿真,从而为数据集构建和扩容提供新的解决方案。最后,在假定部分数据缺失的情况下,通过6种评价指标对仿真图像和实际采集图像的相似度进行了评价,验证了所提方法的有效性。
2022, 11(4): 652-665.
摘要:
SAR图像由于数据获取难度大,样本标注难,目标覆盖率不足,导致包含地理空间目标的影像数量稀少。为了解决这些问题,该文开展了基于散射信息和元学习的SAR图像飞机目标识别方法研究。针对SAR图像中不同型号飞机空间结构离散分布差异较大的情况,设计散射关联分类器,对飞机目标的离散程度量化建模,通过不同目标离散分布的差异来动态调整样本对的权重,指导网络学习更具有区分性的类间特征表示。考虑到SAR目标成像易受背景噪声的影响,设计了自适应特征细化模块,促使网络更加关注飞机的关键部件区域,减少背景噪声干扰。该文方法有效地将目标散射分布特性与网络的自动学习过程相结合。实验结果表明,在5-way 1-shot的极少样本新类别识别任务上,该方法识别精度为59.90%,相比于基础方法提升了3.85%。减少一半训练数据量后,该方法在新类别的极少样本识别任务上仍然表现优异。 SAR图像由于数据获取难度大,样本标注难,目标覆盖率不足,导致包含地理空间目标的影像数量稀少。为了解决这些问题,该文开展了基于散射信息和元学习的SAR图像飞机目标识别方法研究。针对SAR图像中不同型号飞机空间结构离散分布差异较大的情况,设计散射关联分类器,对飞机目标的离散程度量化建模,通过不同目标离散分布的差异来动态调整样本对的权重,指导网络学习更具有区分性的类间特征表示。考虑到SAR目标成像易受背景噪声的影响,设计了自适应特征细化模块,促使网络更加关注飞机的关键部件区域,减少背景噪声干扰。该文方法有效地将目标散射分布特性与网络的自动学习过程相结合。实验结果表明,在5-way 1-shot的极少样本新类别识别任务上,该方法识别精度为59.90%,相比于基础方法提升了3.85%。减少一半训练数据量后,该方法在新类别的极少样本识别任务上仍然表现优异。
SAR图像由于数据获取难度大,样本标注难,目标覆盖率不足,导致包含地理空间目标的影像数量稀少。为了解决这些问题,该文开展了基于散射信息和元学习的SAR图像飞机目标识别方法研究。针对SAR图像中不同型号飞机空间结构离散分布差异较大的情况,设计散射关联分类器,对飞机目标的离散程度量化建模,通过不同目标离散分布的差异来动态调整样本对的权重,指导网络学习更具有区分性的类间特征表示。考虑到SAR目标成像易受背景噪声的影响,设计了自适应特征细化模块,促使网络更加关注飞机的关键部件区域,减少背景噪声干扰。该文方法有效地将目标散射分布特性与网络的自动学习过程相结合。实验结果表明,在5-way 1-shot的极少样本新类别识别任务上,该方法识别精度为59.90%,相比于基础方法提升了3.85%。减少一半训练数据量后,该方法在新类别的极少样本识别任务上仍然表现优异。 SAR图像由于数据获取难度大,样本标注难,目标覆盖率不足,导致包含地理空间目标的影像数量稀少。为了解决这些问题,该文开展了基于散射信息和元学习的SAR图像飞机目标识别方法研究。针对SAR图像中不同型号飞机空间结构离散分布差异较大的情况,设计散射关联分类器,对飞机目标的离散程度量化建模,通过不同目标离散分布的差异来动态调整样本对的权重,指导网络学习更具有区分性的类间特征表示。考虑到SAR目标成像易受背景噪声的影响,设计了自适应特征细化模块,促使网络更加关注飞机的关键部件区域,减少背景噪声干扰。该文方法有效地将目标散射分布特性与网络的自动学习过程相结合。实验结果表明,在5-way 1-shot的极少样本新类别识别任务上,该方法识别精度为59.90%,相比于基础方法提升了3.85%。减少一半训练数据量后,该方法在新类别的极少样本识别任务上仍然表现优异。
2022, 11(4): 666-675.
摘要:
频控阵-多输入多输出(FDA-MIMO)雷达在检测运动目标时,由于发射阵元间的频率偏移与目标的速度耦合,因此在慢时间维出现严重的多普勒扩展,进一步造成各接收通道的信号能量无法相干累积,极大降低了系统的检测性能。针对此问题,该文提出一种基于多普勒扩展补偿的FDA-MIMO雷达运动目标检测算法。首先建立了FDA-MIMO雷达运动目标的回波模型,分析了频偏带来的多普勒扩展问题;然后在给出最大似然接收机模型的基础上,提出一种基于插值滤波的重采样算法来补偿FDA-MIMO雷达在检测运动目标时引起的多普勒扩展。仿真结果表明:该文所提算法在抑制多普勒扩展的同时,能够补偿子目标回波在距离维的跨单元走动,实现信号能量的相参累积。 频控阵-多输入多输出(FDA-MIMO)雷达在检测运动目标时,由于发射阵元间的频率偏移与目标的速度耦合,因此在慢时间维出现严重的多普勒扩展,进一步造成各接收通道的信号能量无法相干累积,极大降低了系统的检测性能。针对此问题,该文提出一种基于多普勒扩展补偿的FDA-MIMO雷达运动目标检测算法。首先建立了FDA-MIMO雷达运动目标的回波模型,分析了频偏带来的多普勒扩展问题;然后在给出最大似然接收机模型的基础上,提出一种基于插值滤波的重采样算法来补偿FDA-MIMO雷达在检测运动目标时引起的多普勒扩展。仿真结果表明:该文所提算法在抑制多普勒扩展的同时,能够补偿子目标回波在距离维的跨单元走动,实现信号能量的相参累积。
频控阵-多输入多输出(FDA-MIMO)雷达在检测运动目标时,由于发射阵元间的频率偏移与目标的速度耦合,因此在慢时间维出现严重的多普勒扩展,进一步造成各接收通道的信号能量无法相干累积,极大降低了系统的检测性能。针对此问题,该文提出一种基于多普勒扩展补偿的FDA-MIMO雷达运动目标检测算法。首先建立了FDA-MIMO雷达运动目标的回波模型,分析了频偏带来的多普勒扩展问题;然后在给出最大似然接收机模型的基础上,提出一种基于插值滤波的重采样算法来补偿FDA-MIMO雷达在检测运动目标时引起的多普勒扩展。仿真结果表明:该文所提算法在抑制多普勒扩展的同时,能够补偿子目标回波在距离维的跨单元走动,实现信号能量的相参累积。 频控阵-多输入多输出(FDA-MIMO)雷达在检测运动目标时,由于发射阵元间的频率偏移与目标的速度耦合,因此在慢时间维出现严重的多普勒扩展,进一步造成各接收通道的信号能量无法相干累积,极大降低了系统的检测性能。针对此问题,该文提出一种基于多普勒扩展补偿的FDA-MIMO雷达运动目标检测算法。首先建立了FDA-MIMO雷达运动目标的回波模型,分析了频偏带来的多普勒扩展问题;然后在给出最大似然接收机模型的基础上,提出一种基于插值滤波的重采样算法来补偿FDA-MIMO雷达在检测运动目标时引起的多普勒扩展。仿真结果表明:该文所提算法在抑制多普勒扩展的同时,能够补偿子目标回波在距离维的跨单元走动,实现信号能量的相参累积。
2022, 11(4): 676-691.
摘要:
稀疏恢复空时自适应处理(SR-STAP)方法能够利用少量训练距离单元实现对机载雷达杂波的有效抑制。然而,现有SR-STAP方法均基于模型驱动实现,存在着参数设置困难、运算复杂度高等问题。针对这些问题,该文将基于模型驱动的SR方法和基于数据驱动的深度学习方法相结合,首次将深度展开(DU)引入到机载雷达杂波抑制和目标检测之中。首先,建立了阵列误差(AE)条件下的杂波空时谱和阵列误差参数联合估计模型,并利用交替方向乘子法(ADMM)进行求解;接着,将ADMM算法展开为深度神经网络AE-ADMM-Net,利用充足完备的数据集对其迭代参数进行优化;最后,利用训练后的AE-ADMM-Net对训练距离单元数据进行处理,快速获得杂波空时谱和阵列误差参数的准确估计。仿真结果表明:与典型SR-STAP方法相比,该文所提出的DU-STAP方法能够在保持较低运算复杂度的同时提高杂波抑制性能。 稀疏恢复空时自适应处理(SR-STAP)方法能够利用少量训练距离单元实现对机载雷达杂波的有效抑制。然而,现有SR-STAP方法均基于模型驱动实现,存在着参数设置困难、运算复杂度高等问题。针对这些问题,该文将基于模型驱动的SR方法和基于数据驱动的深度学习方法相结合,首次将深度展开(DU)引入到机载雷达杂波抑制和目标检测之中。首先,建立了阵列误差(AE)条件下的杂波空时谱和阵列误差参数联合估计模型,并利用交替方向乘子法(ADMM)进行求解;接着,将ADMM算法展开为深度神经网络AE-ADMM-Net,利用充足完备的数据集对其迭代参数进行优化;最后,利用训练后的AE-ADMM-Net对训练距离单元数据进行处理,快速获得杂波空时谱和阵列误差参数的准确估计。仿真结果表明:与典型SR-STAP方法相比,该文所提出的DU-STAP方法能够在保持较低运算复杂度的同时提高杂波抑制性能。
稀疏恢复空时自适应处理(SR-STAP)方法能够利用少量训练距离单元实现对机载雷达杂波的有效抑制。然而,现有SR-STAP方法均基于模型驱动实现,存在着参数设置困难、运算复杂度高等问题。针对这些问题,该文将基于模型驱动的SR方法和基于数据驱动的深度学习方法相结合,首次将深度展开(DU)引入到机载雷达杂波抑制和目标检测之中。首先,建立了阵列误差(AE)条件下的杂波空时谱和阵列误差参数联合估计模型,并利用交替方向乘子法(ADMM)进行求解;接着,将ADMM算法展开为深度神经网络AE-ADMM-Net,利用充足完备的数据集对其迭代参数进行优化;最后,利用训练后的AE-ADMM-Net对训练距离单元数据进行处理,快速获得杂波空时谱和阵列误差参数的准确估计。仿真结果表明:与典型SR-STAP方法相比,该文所提出的DU-STAP方法能够在保持较低运算复杂度的同时提高杂波抑制性能。 稀疏恢复空时自适应处理(SR-STAP)方法能够利用少量训练距离单元实现对机载雷达杂波的有效抑制。然而,现有SR-STAP方法均基于模型驱动实现,存在着参数设置困难、运算复杂度高等问题。针对这些问题,该文将基于模型驱动的SR方法和基于数据驱动的深度学习方法相结合,首次将深度展开(DU)引入到机载雷达杂波抑制和目标检测之中。首先,建立了阵列误差(AE)条件下的杂波空时谱和阵列误差参数联合估计模型,并利用交替方向乘子法(ADMM)进行求解;接着,将ADMM算法展开为深度神经网络AE-ADMM-Net,利用充足完备的数据集对其迭代参数进行优化;最后,利用训练后的AE-ADMM-Net对训练距离单元数据进行处理,快速获得杂波空时谱和阵列误差参数的准确估计。仿真结果表明:与典型SR-STAP方法相比,该文所提出的DU-STAP方法能够在保持较低运算复杂度的同时提高杂波抑制性能。
2022, 11(4): 692-704.
摘要:
信号直接定位方法是一种新型无源定位体制,具有适应低信噪比、无需参数关联等优势。为适应复杂电磁环境,该文提出了一种基于互质阵列的运动单站信号直接定位方法。以典型窄带信号为例,该文首先构建了互质阵列截获信号模型,然后推导了其差分共性阵对应的等效信号数学模型,最后使用空间谱技术构建了直接定位代价函数,实现了定位。经仿真分析验证,采用相同互质阵列时,该方法在分辨率和精度稍有损失的情况下可大幅提升传统直接定位方法的自由度,且与基于均匀线阵的直接定位方法相比,该方法在自由度、分辨率和定位精度等方面都具有优势。 信号直接定位方法是一种新型无源定位体制,具有适应低信噪比、无需参数关联等优势。为适应复杂电磁环境,该文提出了一种基于互质阵列的运动单站信号直接定位方法。以典型窄带信号为例,该文首先构建了互质阵列截获信号模型,然后推导了其差分共性阵对应的等效信号数学模型,最后使用空间谱技术构建了直接定位代价函数,实现了定位。经仿真分析验证,采用相同互质阵列时,该方法在分辨率和精度稍有损失的情况下可大幅提升传统直接定位方法的自由度,且与基于均匀线阵的直接定位方法相比,该方法在自由度、分辨率和定位精度等方面都具有优势。
信号直接定位方法是一种新型无源定位体制,具有适应低信噪比、无需参数关联等优势。为适应复杂电磁环境,该文提出了一种基于互质阵列的运动单站信号直接定位方法。以典型窄带信号为例,该文首先构建了互质阵列截获信号模型,然后推导了其差分共性阵对应的等效信号数学模型,最后使用空间谱技术构建了直接定位代价函数,实现了定位。经仿真分析验证,采用相同互质阵列时,该方法在分辨率和精度稍有损失的情况下可大幅提升传统直接定位方法的自由度,且与基于均匀线阵的直接定位方法相比,该方法在自由度、分辨率和定位精度等方面都具有优势。 信号直接定位方法是一种新型无源定位体制,具有适应低信噪比、无需参数关联等优势。为适应复杂电磁环境,该文提出了一种基于互质阵列的运动单站信号直接定位方法。以典型窄带信号为例,该文首先构建了互质阵列截获信号模型,然后推导了其差分共性阵对应的等效信号数学模型,最后使用空间谱技术构建了直接定位代价函数,实现了定位。经仿真分析验证,采用相同互质阵列时,该方法在分辨率和精度稍有损失的情况下可大幅提升传统直接定位方法的自由度,且与基于均匀线阵的直接定位方法相比,该方法在自由度、分辨率和定位精度等方面都具有优势。
2022, 11(4): 705-712.
摘要:
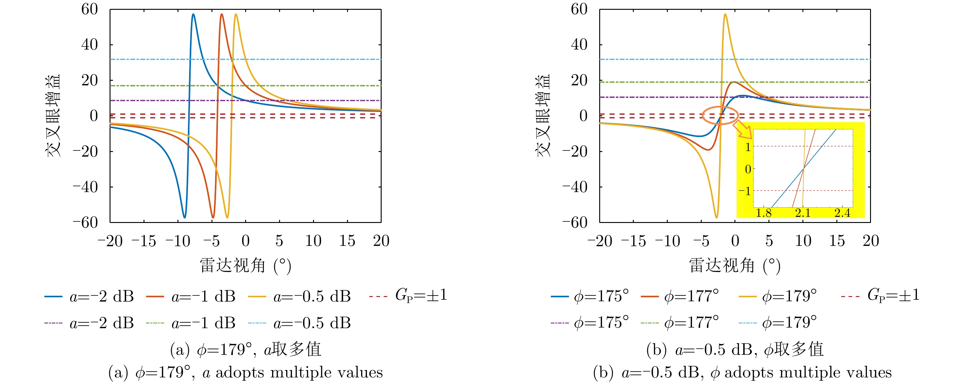
交叉眼技术是一种通过相干多点辐射源诱使单脉冲雷达测角偏差的电子对抗技术。面对攻防双方激烈对抗的复杂电磁环境,采用主被动复合单脉冲雷达测角是现代末制导雷达提高抗干扰能力的发展趋势之一。该文以主被动复合单脉冲雷达为干扰对象,建立了交叉眼干扰数学模型,通过对比交叉眼技术对抗主动单脉冲测角和被动单脉冲测角的干扰效果,揭示了交叉眼技术对主被动复合单脉冲雷达的影响机理。该研究成果可为干扰与抗干扰的合理应用提供理论规律和仿真数据。 交叉眼技术是一种通过相干多点辐射源诱使单脉冲雷达测角偏差的电子对抗技术。面对攻防双方激烈对抗的复杂电磁环境,采用主被动复合单脉冲雷达测角是现代末制导雷达提高抗干扰能力的发展趋势之一。该文以主被动复合单脉冲雷达为干扰对象,建立了交叉眼干扰数学模型,通过对比交叉眼技术对抗主动单脉冲测角和被动单脉冲测角的干扰效果,揭示了交叉眼技术对主被动复合单脉冲雷达的影响机理。该研究成果可为干扰与抗干扰的合理应用提供理论规律和仿真数据。
交叉眼技术是一种通过相干多点辐射源诱使单脉冲雷达测角偏差的电子对抗技术。面对攻防双方激烈对抗的复杂电磁环境,采用主被动复合单脉冲雷达测角是现代末制导雷达提高抗干扰能力的发展趋势之一。该文以主被动复合单脉冲雷达为干扰对象,建立了交叉眼干扰数学模型,通过对比交叉眼技术对抗主动单脉冲测角和被动单脉冲测角的干扰效果,揭示了交叉眼技术对主被动复合单脉冲雷达的影响机理。该研究成果可为干扰与抗干扰的合理应用提供理论规律和仿真数据。 交叉眼技术是一种通过相干多点辐射源诱使单脉冲雷达测角偏差的电子对抗技术。面对攻防双方激烈对抗的复杂电磁环境,采用主被动复合单脉冲雷达测角是现代末制导雷达提高抗干扰能力的发展趋势之一。该文以主被动复合单脉冲雷达为干扰对象,建立了交叉眼干扰数学模型,通过对比交叉眼技术对抗主动单脉冲测角和被动单脉冲测角的干扰效果,揭示了交叉眼技术对主被动复合单脉冲雷达的影响机理。该研究成果可为干扰与抗干扰的合理应用提供理论规律和仿真数据。
2022, 11(4): 713-727.
摘要:
针对辐射源个体识别(SEI)中样本标签不完整和数据类别分布不平衡导致分类准确率下降的问题,该文提出了一种基于代价敏感学习和半监督生成式对抗网络(GAN)的特定辐射源分类方法。该方法通过半监督训练方式优化生成器和判别器的网络参数,并向残差网络中添加多尺度拓扑模块融合时域信号的多维分辨率特征,赋予生成样本额外标签从而直接利用判别器完成分类。同时设计代价敏感损失缓解优势样本导致的梯度传播失衡,改善分类器在类不平衡数据集上的识别性能。在4类失衡仿真数据集上的实验结果表明,存在40%无标记样本的情况下,该方法对于5个辐射源的平均识别率相比于交叉熵损失和焦点损失分别提高5.34%和2.69%,为解决数据标注缺失和类别分布不均条件下的特定辐射源识别问题提供了新思路。 针对辐射源个体识别(SEI)中样本标签不完整和数据类别分布不平衡导致分类准确率下降的问题,该文提出了一种基于代价敏感学习和半监督生成式对抗网络(GAN)的特定辐射源分类方法。该方法通过半监督训练方式优化生成器和判别器的网络参数,并向残差网络中添加多尺度拓扑模块融合时域信号的多维分辨率特征,赋予生成样本额外标签从而直接利用判别器完成分类。同时设计代价敏感损失缓解优势样本导致的梯度传播失衡,改善分类器在类不平衡数据集上的识别性能。在4类失衡仿真数据集上的实验结果表明,存在40%无标记样本的情况下,该方法对于5个辐射源的平均识别率相比于交叉熵损失和焦点损失分别提高5.34%和2.69%,为解决数据标注缺失和类别分布不均条件下的特定辐射源识别问题提供了新思路。
针对辐射源个体识别(SEI)中样本标签不完整和数据类别分布不平衡导致分类准确率下降的问题,该文提出了一种基于代价敏感学习和半监督生成式对抗网络(GAN)的特定辐射源分类方法。该方法通过半监督训练方式优化生成器和判别器的网络参数,并向残差网络中添加多尺度拓扑模块融合时域信号的多维分辨率特征,赋予生成样本额外标签从而直接利用判别器完成分类。同时设计代价敏感损失缓解优势样本导致的梯度传播失衡,改善分类器在类不平衡数据集上的识别性能。在4类失衡仿真数据集上的实验结果表明,存在40%无标记样本的情况下,该方法对于5个辐射源的平均识别率相比于交叉熵损失和焦点损失分别提高5.34%和2.69%,为解决数据标注缺失和类别分布不均条件下的特定辐射源识别问题提供了新思路。 针对辐射源个体识别(SEI)中样本标签不完整和数据类别分布不平衡导致分类准确率下降的问题,该文提出了一种基于代价敏感学习和半监督生成式对抗网络(GAN)的特定辐射源分类方法。该方法通过半监督训练方式优化生成器和判别器的网络参数,并向残差网络中添加多尺度拓扑模块融合时域信号的多维分辨率特征,赋予生成样本额外标签从而直接利用判别器完成分类。同时设计代价敏感损失缓解优势样本导致的梯度传播失衡,改善分类器在类不平衡数据集上的识别性能。在4类失衡仿真数据集上的实验结果表明,存在40%无标记样本的情况下,该方法对于5个辐射源的平均识别率相比于交叉熵损失和焦点损失分别提高5.34%和2.69%,为解决数据标注缺失和类别分布不均条件下的特定辐射源识别问题提供了新思路。
2022, 11(4): 728-735.
摘要:
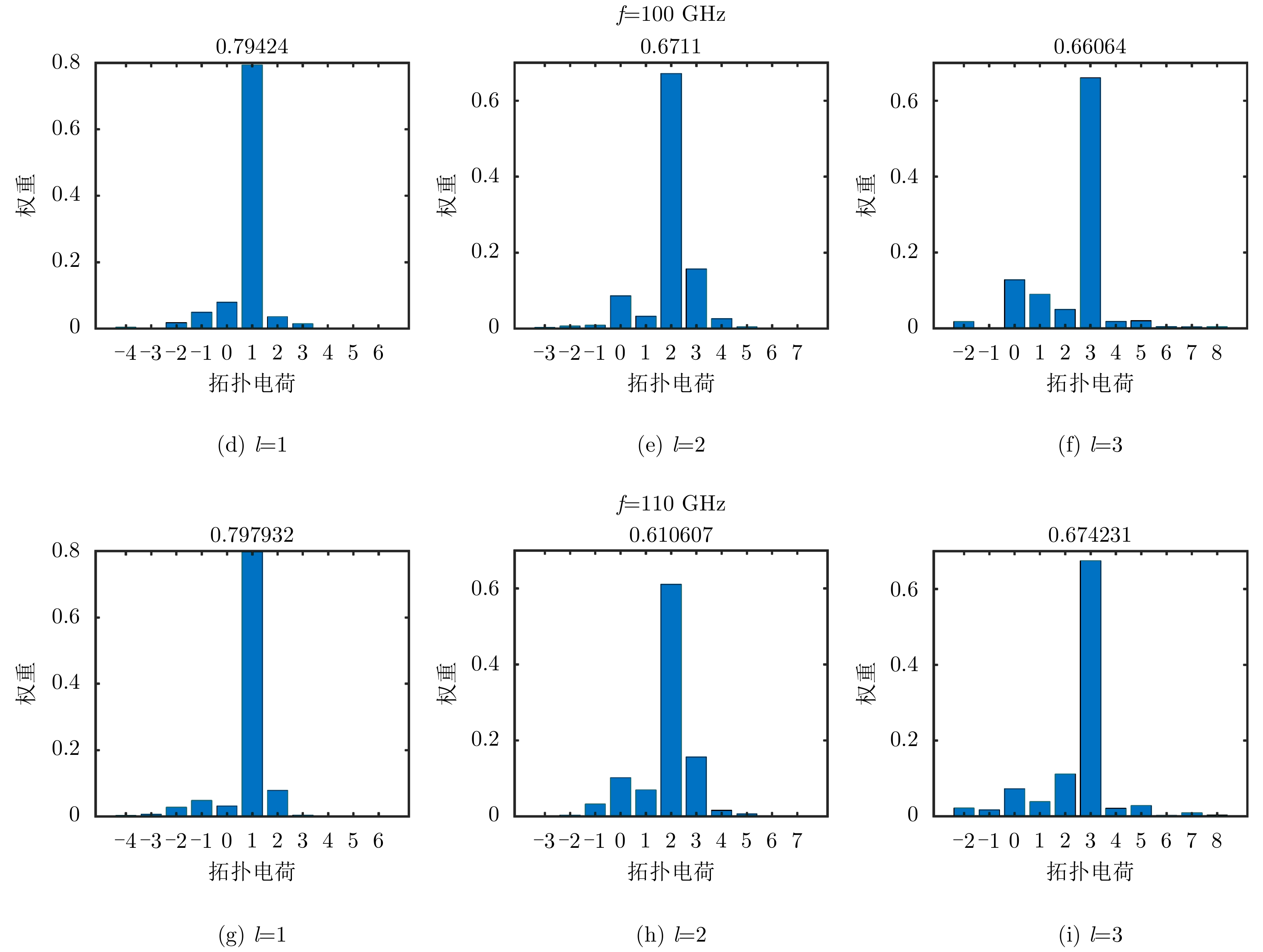
太赫兹技术与轨道角动量(OAM)技术相结合在高速无线通信领域具有巨大潜力。理论上不同模态的OAM之间具备严格正交性,若能将OAM技术应用到太赫兹通信系统中,必能极大提升系统的通信容量。因此,如何产生高质量的THz-OAM波束,并给予它灵活的动态控制成为研究者们的一大研究热点。该文设计了一种双层透射型超表面,使用3D打印作为加工方式,成本低、加工难度小。超表面单元结构采用高度可变的介质单元,随着单元高度不断发生改变,透射相位覆盖0°~360°,且透射率保持在88%以上。采用WR-10标准波导喇叭天线进行馈电,在100 GHz工作频率下,通过改变双层超表面之间的相对旋转角度,产生了不同模态的OAM波束。仿真结果表明,该文设计的超表面天线能够实现\begin{document}$ l=1,2,3 $\end{document} ![]()
![]()
的OAM波束,二维幅相结果符合对应模态的特征,\begin{document}$ l=1,2,3 $\end{document} ![]()
![]()
时,OAM波束的模态纯度分别为85.4%, 84.9%, 83.4%。 通过太赫兹扫场测试平台测试了天线在90 GHz, 100 GHz, 110 GHz频点下的电场分布。结果表明:在20 GHz带宽内,产生的OAM波束质量较好,证明该文设计的超表面天线在高频工作具有一定的工作带宽,有望应用于高频OAM通信。
太赫兹技术与轨道角动量(OAM)技术相结合在高速无线通信领域具有巨大潜力。理论上不同模态的OAM之间具备严格正交性,若能将OAM技术应用到太赫兹通信系统中,必能极大提升系统的通信容量。因此,如何产生高质量的THz-OAM波束,并给予它灵活的动态控制成为研究者们的一大研究热点。该文设计了一种双层透射型超表面,使用3D打印作为加工方式,成本低、加工难度小。超表面单元结构采用高度可变的介质单元,随着单元高度不断发生改变,透射相位覆盖0°~360°,且透射率保持在88%以上。采用WR-10标准波导喇叭天线进行馈电,在100 GHz工作频率下,通过改变双层超表面之间的相对旋转角度,产生了不同模态的OAM波束。仿真结果表明,该文设计的超表面天线能够实现\begin{document}$ l=1,2,3 $\end{document} ![]()
![]()
的OAM波束,二维幅相结果符合对应模态的特征,\begin{document}$ l=1,2,3 $\end{document} ![]()
![]()
时,OAM波束的模态纯度分别为85.4%, 84.9%, 83.4%。 通过太赫兹扫场测试平台测试了天线在90 GHz, 100 GHz, 110 GHz频点下的电场分布。结果表明:在20 GHz带宽内,产生的OAM波束质量较好,证明该文设计的超表面天线在高频工作具有一定的工作带宽,有望应用于高频OAM通信。
太赫兹技术与轨道角动量(OAM)技术相结合在高速无线通信领域具有巨大潜力。理论上不同模态的OAM之间具备严格正交性,若能将OAM技术应用到太赫兹通信系统中,必能极大提升系统的通信容量。因此,如何产生高质量的THz-OAM波束,并给予它灵活的动态控制成为研究者们的一大研究热点。该文设计了一种双层透射型超表面,使用3D打印作为加工方式,成本低、加工难度小。超表面单元结构采用高度可变的介质单元,随着单元高度不断发生改变,透射相位覆盖0°~360°,且透射率保持在88%以上。采用WR-10标准波导喇叭天线进行馈电,在100 GHz工作频率下,通过改变双层超表面之间的相对旋转角度,产生了不同模态的OAM波束。仿真结果表明,该文设计的超表面天线能够实现
作者中心
专家审稿
责编办公
编辑办公
上一期
摘要
1706KB
微信 | 公众平台 