2020年 9卷 第6期
该文从新体制被动雷达的功能和性能优势出发,首先简要回顾了被动雷达长达80余年的研究历程;然后较为全面地介绍了相关关键技术的研究进展,包括参考信号重构、多径杂波抑制、目标检测、目标跟踪、被动雷达成像等方面;在此基础上,从系统结构、技术参数、性能指标等方面分别展示了国外(尤其是欧洲相关国家)典型被动雷达实验系统的最新研究成果,接着重点介绍了武汉大学基于多照射源的被动雷达(MIPAR)系统的研发情况,给出了不同频段(HF/VHF/UHF/L) MIPAR系统的目标探测结果,展示了MIPAR系统在远程预警及近距离高精度监视等方面的应用潜力;最后从多照射源集成化、系统配置网络化、信息处理智能化等方面总结了被动雷达的发展趋势。 该文从新体制被动雷达的功能和性能优势出发,首先简要回顾了被动雷达长达80余年的研究历程;然后较为全面地介绍了相关关键技术的研究进展,包括参考信号重构、多径杂波抑制、目标检测、目标跟踪、被动雷达成像等方面;在此基础上,从系统结构、技术参数、性能指标等方面分别展示了国外(尤其是欧洲相关国家)典型被动雷达实验系统的最新研究成果,接着重点介绍了武汉大学基于多照射源的被动雷达(MIPAR)系统的研发情况,给出了不同频段(HF/VHF/UHF/L) MIPAR系统的目标探测结果,展示了MIPAR系统在远程预警及近距离高精度监视等方面的应用潜力;最后从多照射源集成化、系统配置网络化、信息处理智能化等方面总结了被动雷达的发展趋势。
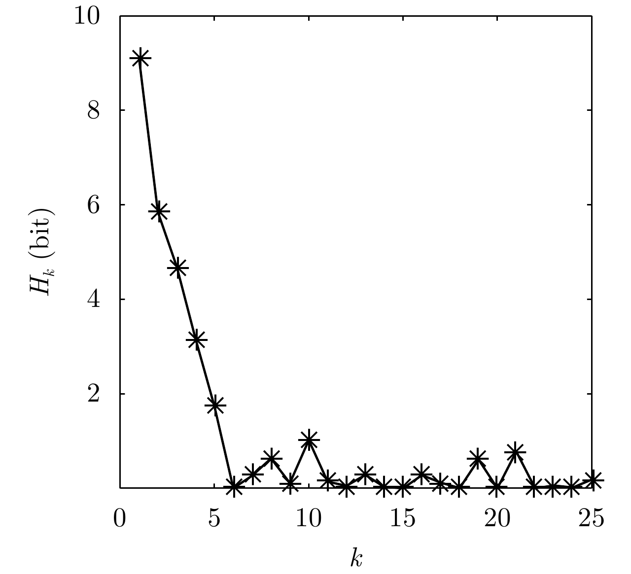
外辐射源雷达系统反隐身性能强、隐蔽性好、生存能力强,在军用和民用领域都具有十分广阔的应用场景。为了有效地对低信噪比的弱目标进行检测,并且同时满足系统的实时性需求,该文针对外辐射源雷达系统的特点,依据检测前跟踪算法的思想,提出一种基于信息积累的外辐射源雷达系统目标检测方法。该方法首先将目标状态空间离散格点化,然后利用递推贝叶斯滤波的思想在多帧观测数据之间进行目标状态信息的传递和积累,最后利用信息熵作为判决目标是否存在的条件,避免了对目标存在和目标不存在两种状态之间转移概率模型的先验假设,是一种实现简单、计算复杂度低、可并行度高的目标检测方法。实验结果表明,该方法不仅运行时间短,实时性能强,而且具有良好的检测性能和一定的鲁棒性。 外辐射源雷达系统反隐身性能强、隐蔽性好、生存能力强,在军用和民用领域都具有十分广阔的应用场景。为了有效地对低信噪比的弱目标进行检测,并且同时满足系统的实时性需求,该文针对外辐射源雷达系统的特点,依据检测前跟踪算法的思想,提出一种基于信息积累的外辐射源雷达系统目标检测方法。该方法首先将目标状态空间离散格点化,然后利用递推贝叶斯滤波的思想在多帧观测数据之间进行目标状态信息的传递和积累,最后利用信息熵作为判决目标是否存在的条件,避免了对目标存在和目标不存在两种状态之间转移概率模型的先验假设,是一种实现简单、计算复杂度低、可并行度高的目标检测方法。实验结果表明,该方法不仅运行时间短,实时性能强,而且具有良好的检测性能和一定的鲁棒性。
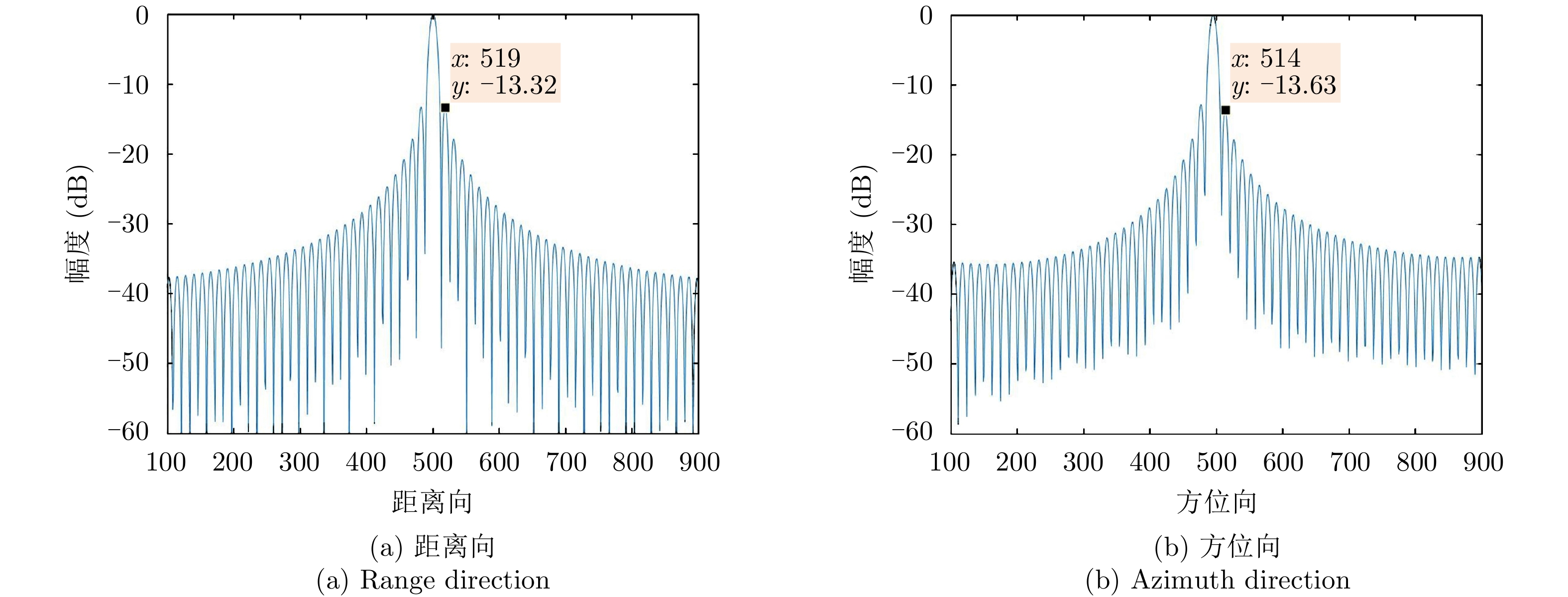
该文论述了利用新近研制的小型化多通道外辐射源雷达系统,开展基于长期演进(LTE)信号的外辐射源雷达目标探测实验研究的情况。首先从实测信号的模糊函数出发,探讨了该信号作为第三方照射源的优势。然后介绍了该体制雷达的系统方案设计以及外场实验。最后给出了不同目标的典型探测结果,从实验上证实了利用LTE信号实现地面及低空目标探测的技术可行性,为该探测技术的发展奠定了基础。 该文论述了利用新近研制的小型化多通道外辐射源雷达系统,开展基于长期演进(LTE)信号的外辐射源雷达目标探测实验研究的情况。首先从实测信号的模糊函数出发,探讨了该信号作为第三方照射源的优势。然后介绍了该体制雷达的系统方案设计以及外场实验。最后给出了不同目标的典型探测结果,从实验上证实了利用LTE信号实现地面及低空目标探测的技术可行性,为该探测技术的发展奠定了基础。
基于民用通信信号的无源雷达由于其辐射源分布密集,主通道与参考通道容易同时受同频辐射源干扰,严重影响检测效果。针对上述问题,该文提出了一种加入同频干扰抑制的信号处理流程。改进流程首先对所有通道接收信号联合处理,使用多通道盲反卷积算法估计各个辐射源直达波,再利用各通道主辐射源信号能量占比差异识别主辐射源直达波作为参考信号,然后对主通道中各辐射源杂波信号进行对消,最后用主辐射源直达波与对消剩余信号进行互模糊运算,完成目标检测。改进流程可以在不改变现有系统硬件条件的情况下有效抑制同频干扰,提升对消比,降低互模糊函数底噪,减少漏警。仿真分析与实测数据验证说明了该方法的正确性和有效性。 基于民用通信信号的无源雷达由于其辐射源分布密集,主通道与参考通道容易同时受同频辐射源干扰,严重影响检测效果。针对上述问题,该文提出了一种加入同频干扰抑制的信号处理流程。改进流程首先对所有通道接收信号联合处理,使用多通道盲反卷积算法估计各个辐射源直达波,再利用各通道主辐射源信号能量占比差异识别主辐射源直达波作为参考信号,然后对主通道中各辐射源杂波信号进行对消,最后用主辐射源直达波与对消剩余信号进行互模糊运算,完成目标检测。改进流程可以在不改变现有系统硬件条件的情况下有效抑制同频干扰,提升对消比,降低互模糊函数底噪,减少漏警。仿真分析与实测数据验证说明了该方法的正确性和有效性。
雷达及其对抗技术在雷达系统发展道路上相互促进,不断进步。近年来,外辐射源雷达凭借其优异的性能受到了国内外研究机构的广泛关注,相关技术得到飞速发展,部分设备已投入使用,但针对该新型雷达的干扰技术研究较少。该文基于辐射源信号结构,分析其信号组成,提出了一种基于信号结构特点的外辐射源雷达干扰方法。以数字广播电视外辐射源雷达为例,结合外辐射源雷达干扰模型,在所提方法下,干扰信号将在距离多普勒谱上形成干扰峰或干扰条带,可有效遮蔽目标,并形成虚假航迹,实现了对外辐射源雷达的干扰目的。仿真结果表明了干扰信号的特性和对目标干扰的有效性,为所提干扰方法在外辐射源雷达中的实际应用奠定基础。所提方法不仅适用于国内外数字广播电视外辐射源雷达,同时可扩展应用于其他类型的外辐射源雷达。 雷达及其对抗技术在雷达系统发展道路上相互促进,不断进步。近年来,外辐射源雷达凭借其优异的性能受到了国内外研究机构的广泛关注,相关技术得到飞速发展,部分设备已投入使用,但针对该新型雷达的干扰技术研究较少。该文基于辐射源信号结构,分析其信号组成,提出了一种基于信号结构特点的外辐射源雷达干扰方法。以数字广播电视外辐射源雷达为例,结合外辐射源雷达干扰模型,在所提方法下,干扰信号将在距离多普勒谱上形成干扰峰或干扰条带,可有效遮蔽目标,并形成虚假航迹,实现了对外辐射源雷达的干扰目的。仿真结果表明了干扰信号的特性和对目标干扰的有效性,为所提干扰方法在外辐射源雷达中的实际应用奠定基础。所提方法不仅适用于国内外数字广播电视外辐射源雷达,同时可扩展应用于其他类型的外辐射源雷达。
通过被动接收辐射源信号并确定其位置的无源定位技术,在电子侦察、搜索救援等领域具有重要价值。传统测向交叉、时差、频差等无源定位技术通常需要两步实现辐射源的定位,第1步通过截获的信号采样估计与辐射源位置有关的定位参数,第2步利用这些定位参数求解辐射源的位置,这种处理方式带来了信息量损失、定位参数关联困难、系统灵敏度需求高等问题。近十几年来,兴起了一种无需估计定位参数,而是直接处理原始采样信号获得辐射源位置估计的直接定位(DPD)技术,其具有适应低信噪比、无需参数关联、鲁棒性强等优势。在对已有直接定位技术进行全面总结基础上,该文归纳了基于不同信息类型的典型直接定位技术、特殊信号直接定位技术、高分辨率高精度直接定位技术、直接定位快速算法以及直接定位模型误差校正技术等已有成果,并对直接定位未来发展方向进行展望。
通过被动接收辐射源信号并确定其位置的无源定位技术,在电子侦察、搜索救援等领域具有重要价值。传统测向交叉、时差、频差等无源定位技术通常需要两步实现辐射源的定位,第1步通过截获的信号采样估计与辐射源位置有关的定位参数,第2步利用这些定位参数求解辐射源的位置,这种处理方式带来了信息量损失、定位参数关联困难、系统灵敏度需求高等问题。近十几年来,兴起了一种无需估计定位参数,而是直接处理原始采样信号获得辐射源位置估计的直接定位(DPD)技术,其具有适应低信噪比、无需参数关联、鲁棒性强等优势。在对已有直接定位技术进行全面总结基础上,该文归纳了基于不同信息类型的典型直接定位技术、特殊信号直接定位技术、高分辨率高精度直接定位技术、直接定位快速算法以及直接定位模型误差校正技术等已有成果,并对直接定位未来发展方向进行展望。
辐射源个体识别是一种仅通过信号的外部特征测量手段,提取辐射源指纹特征,从而识别发射给定信号的特定辐射源个体的技术。近年来,辐射源个体识别技术相关理论与实践应用不断完善,指纹特征提取方法的研究取得了较大的进展。该文在分析国内外大量学术研究成果的基础上,从指纹特征的内在逻辑出发提出了一种新的特征框架。该框架根据不同特征对辐射源指纹的描述特性以及相互之间的关联,将指纹特征划分为直接测量特征和降维变换特征两大类共3个层次,并系统性地梳理了辐射源指纹特征提取方法的研究现状。最后,该文对辐射源指纹特征提取的几个潜在研究方向进行了分析和展望, 希望对辐射源个体识别的研究和应用有所裨益。 辐射源个体识别是一种仅通过信号的外部特征测量手段,提取辐射源指纹特征,从而识别发射给定信号的特定辐射源个体的技术。近年来,辐射源个体识别技术相关理论与实践应用不断完善,指纹特征提取方法的研究取得了较大的进展。该文在分析国内外大量学术研究成果的基础上,从指纹特征的内在逻辑出发提出了一种新的特征框架。该框架根据不同特征对辐射源指纹的描述特性以及相互之间的关联,将指纹特征划分为直接测量特征和降维变换特征两大类共3个层次,并系统性地梳理了辐射源指纹特征提取方法的研究现状。最后,该文对辐射源指纹特征提取的几个潜在研究方向进行了分析和展望, 希望对辐射源个体识别的研究和应用有所裨益。
飞机尾流是飞机飞行时在其后方产生的一对反向旋转的强烈湍流,对后续飞机飞行安全具有重大影响,其探测已成为制约机场容量增长和影响空中交通安全管理的瓶颈,亟需发展飞机尾流雷达探测和监视的技术与系统。该文构建了基于激光雷达探测的飞机尾流特征参数反演系统,可基于实测数据反演得到尾流涡心位置和速度环量等特征参数。同时构建了尾流动力学、散射特性与雷达回波仿真模块,可实现参数反演算法的性能评估。该系统的参数反演性能优良,运行稳定,可为机场安全管控提供有效技术手段,为飞机尾流的短时行为预测、危害评估和动态间隔标准制定等提供基础支撑。 飞机尾流是飞机飞行时在其后方产生的一对反向旋转的强烈湍流,对后续飞机飞行安全具有重大影响,其探测已成为制约机场容量增长和影响空中交通安全管理的瓶颈,亟需发展飞机尾流雷达探测和监视的技术与系统。该文构建了基于激光雷达探测的飞机尾流特征参数反演系统,可基于实测数据反演得到尾流涡心位置和速度环量等特征参数。同时构建了尾流动力学、散射特性与雷达回波仿真模块,可实现参数反演算法的性能评估。该系统的参数反演性能优良,运行稳定,可为机场安全管控提供有效技术手段,为飞机尾流的短时行为预测、危害评估和动态间隔标准制定等提供基础支撑。
两维自聚焦是高机动条件下机载合成孔径雷达(SAR)高分辨率成像的重要保障。现有的双基SAR两维自聚焦算法没有充分利用相位误差的先验结构信息,是对相位误差的一种盲估计,在计算效率和参数估计精度方面仍然存在很大限制。该文从双基SAR极坐标格式成像算法新解释入手,从残留距离徙动(RCM)校正的观点出发,将极坐标格式(PFA)算法的实现解释为距离频率和方位时间两个变量的解耦过程。利用这一观点分析了极坐标格式算法中的距离和方位重采样对两维相位误差的影响,揭示了残留两维相位误差固有的解析结构。基于这一固有的先验信息,该文提出了一种结合先验信息和图像数据的双基SAR两维自聚焦算法。算法通过引入先验知识,将两维相位误差估计降维成一维方位相位误差的估计;同时,在估计方位相位误差时,通过多子带数据平均,充分挖掘了所有数据的信息。相比于已有算法,无论是参数估计精度还是计算效率都有明显改善。实验结果验证了该文理论分析的正确性以及所提两维自聚焦方法的有效性。 两维自聚焦是高机动条件下机载合成孔径雷达(SAR)高分辨率成像的重要保障。现有的双基SAR两维自聚焦算法没有充分利用相位误差的先验结构信息,是对相位误差的一种盲估计,在计算效率和参数估计精度方面仍然存在很大限制。该文从双基SAR极坐标格式成像算法新解释入手,从残留距离徙动(RCM)校正的观点出发,将极坐标格式(PFA)算法的实现解释为距离频率和方位时间两个变量的解耦过程。利用这一观点分析了极坐标格式算法中的距离和方位重采样对两维相位误差的影响,揭示了残留两维相位误差固有的解析结构。基于这一固有的先验信息,该文提出了一种结合先验信息和图像数据的双基SAR两维自聚焦算法。算法通过引入先验知识,将两维相位误差估计降维成一维方位相位误差的估计;同时,在估计方位相位误差时,通过多子带数据平均,充分挖掘了所有数据的信息。相比于已有算法,无论是参数估计精度还是计算效率都有明显改善。实验结果验证了该文理论分析的正确性以及所提两维自聚焦方法的有效性。
随着雷达探测逐步进入强电子对抗、隐身时代,传统雷达体制在战术主动性、能量、数量方面均处于劣势。雷达亟需从探测体制方面进行创新,充分挖掘其合作式探测的主动性、充分利用信号波形的信息维度优势,才能适应未来新型防空作战。该文提出一种新的雷达体制——通信化雷达,其通过在发射信号波形中嵌入发射站动态位置、天线扫描指向、发射时刻等辅助信息,并在接收处理中提取、利用该信息进行目标检测、定位、识别、抗干扰和多目标分辨,可提升远程、隐身、强对抗条件下的雷达探测能力和战场生存力。该文从系统架构、探测原理、性能分析等方面对通信化雷达进行了阐述。 随着雷达探测逐步进入强电子对抗、隐身时代,传统雷达体制在战术主动性、能量、数量方面均处于劣势。雷达亟需从探测体制方面进行创新,充分挖掘其合作式探测的主动性、充分利用信号波形的信息维度优势,才能适应未来新型防空作战。该文提出一种新的雷达体制——通信化雷达,其通过在发射信号波形中嵌入发射站动态位置、天线扫描指向、发射时刻等辅助信息,并在接收处理中提取、利用该信息进行目标检测、定位、识别、抗干扰和多目标分辨,可提升远程、隐身、强对抗条件下的雷达探测能力和战场生存力。该文从系统架构、探测原理、性能分析等方面对通信化雷达进行了阐述。
作者中心
专家审稿
责编办公
编辑办公
上一期
摘要
5245KB
微信 | 公众平台 