2018年 7卷 第5期
栏目
2018, 7(5): 531-547.
摘要:
微动目标的雷达特征提取、成像与识别技术是雷达目标精确识别领域极具发展潜力的研究方向之一。该文首先简要阐述了微动的相关概念,然后综述了近年来微动目标回波建模、微动特征提取、微动目标成像以及基于微动特征的雷达目标分类与识别等方面的研究现状,并介绍了几种典型前沿应用,最后对微动目标雷达特征提取、成像与识别的研究发展趋势进行了展望。 微动目标的雷达特征提取、成像与识别技术是雷达目标精确识别领域极具发展潜力的研究方向之一。该文首先简要阐述了微动的相关概念,然后综述了近年来微动目标回波建模、微动特征提取、微动目标成像以及基于微动特征的雷达目标分类与识别等方面的研究现状,并介绍了几种典型前沿应用,最后对微动目标雷达特征提取、成像与识别的研究发展趋势进行了展望。
微动目标的雷达特征提取、成像与识别技术是雷达目标精确识别领域极具发展潜力的研究方向之一。该文首先简要阐述了微动的相关概念,然后综述了近年来微动目标回波建模、微动特征提取、微动目标成像以及基于微动特征的雷达目标分类与识别等方面的研究现状,并介绍了几种典型前沿应用,最后对微动目标雷达特征提取、成像与识别的研究发展趋势进行了展望。 微动目标的雷达特征提取、成像与识别技术是雷达目标精确识别领域极具发展潜力的研究方向之一。该文首先简要阐述了微动的相关概念,然后综述了近年来微动目标回波建模、微动特征提取、微动目标成像以及基于微动特征的雷达目标分类与识别等方面的研究现状,并介绍了几种典型前沿应用,最后对微动目标雷达特征提取、成像与识别的研究发展趋势进行了展望。
2018, 7(5): 548-556.
摘要:
微动是指目标或目标上某些部件沿雷达视线方向的小幅、非匀速运动。通过对微动目标进行逆合成孔径雷达(ISAR)高分辨3维成像,能够获得其结构和运动信息,从而为微动目标检测、跟踪、分类与识别提供重要依据,并在空间态势感知与防空反导中发挥着重要作用。由于微动目标运动形式复杂、回波非平稳性强,现有的参数化ISAR成像方法已经不再适用。针对该问题,该文提出基于散射中心航迹矩阵分解的微动目标高分辨3维成像方法。该方法首先生成距离-瞬时多普勒(RID)像序列,利用watershed图像分割方法提取RID像的散射中心支撑域,并基于最小欧氏距离准则实现航迹关联。然后,针对散射中心航迹关联时瞬时斜距估计精度受距离分辨率影响等问题,进一步提出基于现代谱估计的散射中心航迹矩阵精估计方法。最后,通过带约束的航迹矩阵分解实现微动目标的高分辨3维成像。仿真结果表明,该文所提的成像方法能够有效实现章动等复杂微动目标的高分辨3维成像。 微动是指目标或目标上某些部件沿雷达视线方向的小幅、非匀速运动。通过对微动目标进行逆合成孔径雷达(ISAR)高分辨3维成像,能够获得其结构和运动信息,从而为微动目标检测、跟踪、分类与识别提供重要依据,并在空间态势感知与防空反导中发挥着重要作用。由于微动目标运动形式复杂、回波非平稳性强,现有的参数化ISAR成像方法已经不再适用。针对该问题,该文提出基于散射中心航迹矩阵分解的微动目标高分辨3维成像方法。该方法首先生成距离-瞬时多普勒(RID)像序列,利用watershed图像分割方法提取RID像的散射中心支撑域,并基于最小欧氏距离准则实现航迹关联。然后,针对散射中心航迹关联时瞬时斜距估计精度受距离分辨率影响等问题,进一步提出基于现代谱估计的散射中心航迹矩阵精估计方法。最后,通过带约束的航迹矩阵分解实现微动目标的高分辨3维成像。仿真结果表明,该文所提的成像方法能够有效实现章动等复杂微动目标的高分辨3维成像。
微动是指目标或目标上某些部件沿雷达视线方向的小幅、非匀速运动。通过对微动目标进行逆合成孔径雷达(ISAR)高分辨3维成像,能够获得其结构和运动信息,从而为微动目标检测、跟踪、分类与识别提供重要依据,并在空间态势感知与防空反导中发挥着重要作用。由于微动目标运动形式复杂、回波非平稳性强,现有的参数化ISAR成像方法已经不再适用。针对该问题,该文提出基于散射中心航迹矩阵分解的微动目标高分辨3维成像方法。该方法首先生成距离-瞬时多普勒(RID)像序列,利用watershed图像分割方法提取RID像的散射中心支撑域,并基于最小欧氏距离准则实现航迹关联。然后,针对散射中心航迹关联时瞬时斜距估计精度受距离分辨率影响等问题,进一步提出基于现代谱估计的散射中心航迹矩阵精估计方法。最后,通过带约束的航迹矩阵分解实现微动目标的高分辨3维成像。仿真结果表明,该文所提的成像方法能够有效实现章动等复杂微动目标的高分辨3维成像。 微动是指目标或目标上某些部件沿雷达视线方向的小幅、非匀速运动。通过对微动目标进行逆合成孔径雷达(ISAR)高分辨3维成像,能够获得其结构和运动信息,从而为微动目标检测、跟踪、分类与识别提供重要依据,并在空间态势感知与防空反导中发挥着重要作用。由于微动目标运动形式复杂、回波非平稳性强,现有的参数化ISAR成像方法已经不再适用。针对该问题,该文提出基于散射中心航迹矩阵分解的微动目标高分辨3维成像方法。该方法首先生成距离-瞬时多普勒(RID)像序列,利用watershed图像分割方法提取RID像的散射中心支撑域,并基于最小欧氏距离准则实现航迹关联。然后,针对散射中心航迹关联时瞬时斜距估计精度受距离分辨率影响等问题,进一步提出基于现代谱估计的散射中心航迹矩阵精估计方法。最后,通过带约束的航迹矩阵分解实现微动目标的高分辨3维成像。仿真结果表明,该文所提的成像方法能够有效实现章动等复杂微动目标的高分辨3维成像。
2018, 7(5): 557-564.
摘要:
无人机的日益流行在带来便利的同时也造成了潜在的威胁,对无人机进行分类识别具有重要意义。雷达微多普勒信号能够区分不同类型的无人机。为了提高基于微多普勒的无人机分类的鲁棒性,该文提出了一种多角度雷达观测微动特征融合的无人机识别方法。首先利用多部雷达同时从不同角度观测目标;然后对采集的雷达数据分别进行短时傅里叶变换(Short-Time Fourier Transform, STFT),得到时频谱图;接着利用主成分分析(Principal Component Analysis, PCA)从时频谱图中提取特征,将两个不同角度雷达传感器得到的特征融合在一起;最后利用支持向量机(Support Vector Machine, SVM)进行训练与分类识别。基于实际雷达数据的实验结果表明:两个雷达传感器观测融合得到的分类精度优于单个雷达传感器的分类精度,最终识别准确率较仅利用X波段雷达传感器方法提升了5%以上。 无人机的日益流行在带来便利的同时也造成了潜在的威胁,对无人机进行分类识别具有重要意义。雷达微多普勒信号能够区分不同类型的无人机。为了提高基于微多普勒的无人机分类的鲁棒性,该文提出了一种多角度雷达观测微动特征融合的无人机识别方法。首先利用多部雷达同时从不同角度观测目标;然后对采集的雷达数据分别进行短时傅里叶变换(Short-Time Fourier Transform, STFT),得到时频谱图;接着利用主成分分析(Principal Component Analysis, PCA)从时频谱图中提取特征,将两个不同角度雷达传感器得到的特征融合在一起;最后利用支持向量机(Support Vector Machine, SVM)进行训练与分类识别。基于实际雷达数据的实验结果表明:两个雷达传感器观测融合得到的分类精度优于单个雷达传感器的分类精度,最终识别准确率较仅利用X波段雷达传感器方法提升了5%以上。
无人机的日益流行在带来便利的同时也造成了潜在的威胁,对无人机进行分类识别具有重要意义。雷达微多普勒信号能够区分不同类型的无人机。为了提高基于微多普勒的无人机分类的鲁棒性,该文提出了一种多角度雷达观测微动特征融合的无人机识别方法。首先利用多部雷达同时从不同角度观测目标;然后对采集的雷达数据分别进行短时傅里叶变换(Short-Time Fourier Transform, STFT),得到时频谱图;接着利用主成分分析(Principal Component Analysis, PCA)从时频谱图中提取特征,将两个不同角度雷达传感器得到的特征融合在一起;最后利用支持向量机(Support Vector Machine, SVM)进行训练与分类识别。基于实际雷达数据的实验结果表明:两个雷达传感器观测融合得到的分类精度优于单个雷达传感器的分类精度,最终识别准确率较仅利用X波段雷达传感器方法提升了5%以上。 无人机的日益流行在带来便利的同时也造成了潜在的威胁,对无人机进行分类识别具有重要意义。雷达微多普勒信号能够区分不同类型的无人机。为了提高基于微多普勒的无人机分类的鲁棒性,该文提出了一种多角度雷达观测微动特征融合的无人机识别方法。首先利用多部雷达同时从不同角度观测目标;然后对采集的雷达数据分别进行短时傅里叶变换(Short-Time Fourier Transform, STFT),得到时频谱图;接着利用主成分分析(Principal Component Analysis, PCA)从时频谱图中提取特征,将两个不同角度雷达传感器得到的特征融合在一起;最后利用支持向量机(Support Vector Machine, SVM)进行训练与分类识别。基于实际雷达数据的实验结果表明:两个雷达传感器观测融合得到的分类精度优于单个雷达传感器的分类精度,最终识别准确率较仅利用X波段雷达传感器方法提升了5%以上。
2018, 7(5): 565-574.
摘要:
该文利用深度学习的高维特征泛化学习能力,将卷积神经网络(CNN)用于海上目标微多普勒的检测和分类。首先,在海面微动目标模型的基础上,在实测海杂波背景中分别构建4种类型微动信号的2维时频图,并作为训练和测试数据集;然后,分别采用LeNet, AlexNet和GoogLeNet 3种CNN模型进行二元检测和多种微动类型分类,并进行比较,研究信杂比对检测和分类性能的影响。最后,与传统的支持向量机方法进行比较,结果表明,所提方法能够智能学习微动特征,具有更好的检测和分类性能,可为杂波背景下的雷达动目标检测和识别提供新的技术途径。 该文利用深度学习的高维特征泛化学习能力,将卷积神经网络(CNN)用于海上目标微多普勒的检测和分类。首先,在海面微动目标模型的基础上,在实测海杂波背景中分别构建4种类型微动信号的2维时频图,并作为训练和测试数据集;然后,分别采用LeNet, AlexNet和GoogLeNet 3种CNN模型进行二元检测和多种微动类型分类,并进行比较,研究信杂比对检测和分类性能的影响。最后,与传统的支持向量机方法进行比较,结果表明,所提方法能够智能学习微动特征,具有更好的检测和分类性能,可为杂波背景下的雷达动目标检测和识别提供新的技术途径。
该文利用深度学习的高维特征泛化学习能力,将卷积神经网络(CNN)用于海上目标微多普勒的检测和分类。首先,在海面微动目标模型的基础上,在实测海杂波背景中分别构建4种类型微动信号的2维时频图,并作为训练和测试数据集;然后,分别采用LeNet, AlexNet和GoogLeNet 3种CNN模型进行二元检测和多种微动类型分类,并进行比较,研究信杂比对检测和分类性能的影响。最后,与传统的支持向量机方法进行比较,结果表明,所提方法能够智能学习微动特征,具有更好的检测和分类性能,可为杂波背景下的雷达动目标检测和识别提供新的技术途径。 该文利用深度学习的高维特征泛化学习能力,将卷积神经网络(CNN)用于海上目标微多普勒的检测和分类。首先,在海面微动目标模型的基础上,在实测海杂波背景中分别构建4种类型微动信号的2维时频图,并作为训练和测试数据集;然后,分别采用LeNet, AlexNet和GoogLeNet 3种CNN模型进行二元检测和多种微动类型分类,并进行比较,研究信杂比对检测和分类性能的影响。最后,与传统的支持向量机方法进行比较,结果表明,所提方法能够智能学习微动特征,具有更好的检测和分类性能,可为杂波背景下的雷达动目标检测和识别提供新的技术途径。
2018, 7(5): 575-584.
摘要:
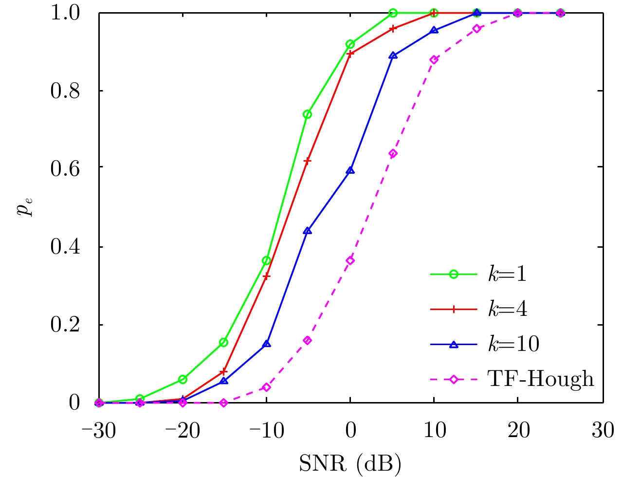
微动特征是空间目标识别的重要特征信息之一。然而,现有的多功能多输入多输出(Multi-Input Multi-Output, MIMO)雷达通常需要在完成目标搜索和跟踪任务之后为目标微动特征提取分配大量连续的时间资源,导致目标识别实时性能和雷达系统整体工作性能均不高。针对该问题,该文提出了一种基于跟踪脉冲的MIMO雷达多目标微动特征提取方法。首先依据各目标的方位信息对MIMO雷达发射波形进行设计,为不同方向目标同时发射跟踪脉冲;在此基础上,综合考虑目标微动特征提取性能以及目标跟踪性能的需求,对跟踪脉冲的发射时间序列进行优化设计;最后,直接利用窄带跟踪脉冲实现对不同方向目标微动特征的同时提取,无需再为目标微动特征提取分配额外的时间资源,有效提升目标识别实时性和雷达工作效率。仿真实验表明,在信噪比大于–10 dB时,所提方法能够实现多目标微动特征的准确提取,具有良好的有效性和鲁棒性。 微动特征是空间目标识别的重要特征信息之一。然而,现有的多功能多输入多输出(Multi-Input Multi-Output, MIMO)雷达通常需要在完成目标搜索和跟踪任务之后为目标微动特征提取分配大量连续的时间资源,导致目标识别实时性能和雷达系统整体工作性能均不高。针对该问题,该文提出了一种基于跟踪脉冲的MIMO雷达多目标微动特征提取方法。首先依据各目标的方位信息对MIMO雷达发射波形进行设计,为不同方向目标同时发射跟踪脉冲;在此基础上,综合考虑目标微动特征提取性能以及目标跟踪性能的需求,对跟踪脉冲的发射时间序列进行优化设计;最后,直接利用窄带跟踪脉冲实现对不同方向目标微动特征的同时提取,无需再为目标微动特征提取分配额外的时间资源,有效提升目标识别实时性和雷达工作效率。仿真实验表明,在信噪比大于–10 dB时,所提方法能够实现多目标微动特征的准确提取,具有良好的有效性和鲁棒性。
微动特征是空间目标识别的重要特征信息之一。然而,现有的多功能多输入多输出(Multi-Input Multi-Output, MIMO)雷达通常需要在完成目标搜索和跟踪任务之后为目标微动特征提取分配大量连续的时间资源,导致目标识别实时性能和雷达系统整体工作性能均不高。针对该问题,该文提出了一种基于跟踪脉冲的MIMO雷达多目标微动特征提取方法。首先依据各目标的方位信息对MIMO雷达发射波形进行设计,为不同方向目标同时发射跟踪脉冲;在此基础上,综合考虑目标微动特征提取性能以及目标跟踪性能的需求,对跟踪脉冲的发射时间序列进行优化设计;最后,直接利用窄带跟踪脉冲实现对不同方向目标微动特征的同时提取,无需再为目标微动特征提取分配额外的时间资源,有效提升目标识别实时性和雷达工作效率。仿真实验表明,在信噪比大于–10 dB时,所提方法能够实现多目标微动特征的准确提取,具有良好的有效性和鲁棒性。 微动特征是空间目标识别的重要特征信息之一。然而,现有的多功能多输入多输出(Multi-Input Multi-Output, MIMO)雷达通常需要在完成目标搜索和跟踪任务之后为目标微动特征提取分配大量连续的时间资源,导致目标识别实时性能和雷达系统整体工作性能均不高。针对该问题,该文提出了一种基于跟踪脉冲的MIMO雷达多目标微动特征提取方法。首先依据各目标的方位信息对MIMO雷达发射波形进行设计,为不同方向目标同时发射跟踪脉冲;在此基础上,综合考虑目标微动特征提取性能以及目标跟踪性能的需求,对跟踪脉冲的发射时间序列进行优化设计;最后,直接利用窄带跟踪脉冲实现对不同方向目标微动特征的同时提取,无需再为目标微动特征提取分配额外的时间资源,有效提升目标识别实时性和雷达工作效率。仿真实验表明,在信噪比大于–10 dB时,所提方法能够实现多目标微动特征的准确提取,具有良好的有效性和鲁棒性。
2018, 7(5): 585-592.
摘要:
该文论述了利用数字电视外辐射源雷达开展多旋翼无人机微多普勒效应实验的研究结果。首先建立了双基地外辐射源雷达无人机微动信号模型,接着简要阐述了微动信号提取的相关关键技术,最后重点介绍了实验开展情况,包括实验场景配置、无人机微多普勒效应实验典型结果与分析。实验结果与无人机运动参数的理论分析相符合,证实了利用数字电视外辐射源雷达实现多旋翼无人机微多普勒效应探测的技术可行性。 该文论述了利用数字电视外辐射源雷达开展多旋翼无人机微多普勒效应实验的研究结果。首先建立了双基地外辐射源雷达无人机微动信号模型,接着简要阐述了微动信号提取的相关关键技术,最后重点介绍了实验开展情况,包括实验场景配置、无人机微多普勒效应实验典型结果与分析。实验结果与无人机运动参数的理论分析相符合,证实了利用数字电视外辐射源雷达实现多旋翼无人机微多普勒效应探测的技术可行性。
该文论述了利用数字电视外辐射源雷达开展多旋翼无人机微多普勒效应实验的研究结果。首先建立了双基地外辐射源雷达无人机微动信号模型,接着简要阐述了微动信号提取的相关关键技术,最后重点介绍了实验开展情况,包括实验场景配置、无人机微多普勒效应实验典型结果与分析。实验结果与无人机运动参数的理论分析相符合,证实了利用数字电视外辐射源雷达实现多旋翼无人机微多普勒效应探测的技术可行性。 该文论述了利用数字电视外辐射源雷达开展多旋翼无人机微多普勒效应实验的研究结果。首先建立了双基地外辐射源雷达无人机微动信号模型,接着简要阐述了微动信号提取的相关关键技术,最后重点介绍了实验开展情况,包括实验场景配置、无人机微多普勒效应实验典型结果与分析。实验结果与无人机运动参数的理论分析相符合,证实了利用数字电视外辐射源雷达实现多旋翼无人机微多普勒效应探测的技术可行性。
2018, 7(5): 593-601.
摘要:
针对微动目标特征提取问题,该文提出了一种正弦调频Fourier-Bessel变换(Sinusoidal Frequency Modulation Fourier-Bessel Transform, SFMFBT),并基于SFMFBT提出了一种雷达目标微动频率的精确提取方法。首先给出了SFMFBT的定义,分析了变换的相关性质,并通过频率提取误差分析给出了一种修正方法,最后讨论了离散信号处理中的若干问题。相比于傅里叶-贝塞尔变换,SFMFBT将k分辨率参数引入Bessel函数基,克服了其对应频率不可细分的缺陷,并且通过误差分析提高了信号分解精度,从而将Bessel函数基引入特征提取领域,拓展了其应用范围。仿真结果表明该方法同样适用于微动群目标频率提取与回波分离重构,且在SNR>0 dB条件下具有较好的鲁棒性。 针对微动目标特征提取问题,该文提出了一种正弦调频Fourier-Bessel变换(Sinusoidal Frequency Modulation Fourier-Bessel Transform, SFMFBT),并基于SFMFBT提出了一种雷达目标微动频率的精确提取方法。首先给出了SFMFBT的定义,分析了变换的相关性质,并通过频率提取误差分析给出了一种修正方法,最后讨论了离散信号处理中的若干问题。相比于傅里叶-贝塞尔变换,SFMFBT将k分辨率参数引入Bessel函数基,克服了其对应频率不可细分的缺陷,并且通过误差分析提高了信号分解精度,从而将Bessel函数基引入特征提取领域,拓展了其应用范围。仿真结果表明该方法同样适用于微动群目标频率提取与回波分离重构,且在SNR>0 dB条件下具有较好的鲁棒性。
针对微动目标特征提取问题,该文提出了一种正弦调频Fourier-Bessel变换(Sinusoidal Frequency Modulation Fourier-Bessel Transform, SFMFBT),并基于SFMFBT提出了一种雷达目标微动频率的精确提取方法。首先给出了SFMFBT的定义,分析了变换的相关性质,并通过频率提取误差分析给出了一种修正方法,最后讨论了离散信号处理中的若干问题。相比于傅里叶-贝塞尔变换,SFMFBT将k分辨率参数引入Bessel函数基,克服了其对应频率不可细分的缺陷,并且通过误差分析提高了信号分解精度,从而将Bessel函数基引入特征提取领域,拓展了其应用范围。仿真结果表明该方法同样适用于微动群目标频率提取与回波分离重构,且在SNR>0 dB条件下具有较好的鲁棒性。 针对微动目标特征提取问题,该文提出了一种正弦调频Fourier-Bessel变换(Sinusoidal Frequency Modulation Fourier-Bessel Transform, SFMFBT),并基于SFMFBT提出了一种雷达目标微动频率的精确提取方法。首先给出了SFMFBT的定义,分析了变换的相关性质,并通过频率提取误差分析给出了一种修正方法,最后讨论了离散信号处理中的若干问题。相比于傅里叶-贝塞尔变换,SFMFBT将k分辨率参数引入Bessel函数基,克服了其对应频率不可细分的缺陷,并且通过误差分析提高了信号分解精度,从而将Bessel函数基引入特征提取领域,拓展了其应用范围。仿真结果表明该方法同样适用于微动群目标频率提取与回波分离重构,且在SNR>0 dB条件下具有较好的鲁棒性。
2018, 7(5): 602-612.
摘要:
合成孔径雷达(SAR)与通信一体化可提升SAR的信息交互能力,实现探测数据实时传输,提升系统整体性能。一体化平台在工作过程中,将引入多普勒偏移和多径效应,这使得广泛研究的正交频分复用(OFDM)一体化波形的正交性无法保持,成像与通信性能受限。该文提出利用滤波器组多载波(FBMC)波形实现SAR与通信一体化,一方面,FBMC波形对子载波间的正交性要求低,可以对抗多普勒与多径效应,另一方面,FBMC波形不采用循环前缀(CP),因此可以避免出现虚假目标,提升了频谱利用率。该文分析了FBMC波形的一体化性能,针对一体化系统中的多径效应与多普勒偏移对FBMC波形的影响展开了研究,并针对大频偏的情况提出了适用于FBMC一体化波形的多普勒补偿算法。基于FBMC的SAR与通信一体化波形在宽测绘带SAR与通信一体化系统中有更好的性能,仿真试验验证了该结论。 合成孔径雷达(SAR)与通信一体化可提升SAR的信息交互能力,实现探测数据实时传输,提升系统整体性能。一体化平台在工作过程中,将引入多普勒偏移和多径效应,这使得广泛研究的正交频分复用(OFDM)一体化波形的正交性无法保持,成像与通信性能受限。该文提出利用滤波器组多载波(FBMC)波形实现SAR与通信一体化,一方面,FBMC波形对子载波间的正交性要求低,可以对抗多普勒与多径效应,另一方面,FBMC波形不采用循环前缀(CP),因此可以避免出现虚假目标,提升了频谱利用率。该文分析了FBMC波形的一体化性能,针对一体化系统中的多径效应与多普勒偏移对FBMC波形的影响展开了研究,并针对大频偏的情况提出了适用于FBMC一体化波形的多普勒补偿算法。基于FBMC的SAR与通信一体化波形在宽测绘带SAR与通信一体化系统中有更好的性能,仿真试验验证了该结论。
合成孔径雷达(SAR)与通信一体化可提升SAR的信息交互能力,实现探测数据实时传输,提升系统整体性能。一体化平台在工作过程中,将引入多普勒偏移和多径效应,这使得广泛研究的正交频分复用(OFDM)一体化波形的正交性无法保持,成像与通信性能受限。该文提出利用滤波器组多载波(FBMC)波形实现SAR与通信一体化,一方面,FBMC波形对子载波间的正交性要求低,可以对抗多普勒与多径效应,另一方面,FBMC波形不采用循环前缀(CP),因此可以避免出现虚假目标,提升了频谱利用率。该文分析了FBMC波形的一体化性能,针对一体化系统中的多径效应与多普勒偏移对FBMC波形的影响展开了研究,并针对大频偏的情况提出了适用于FBMC一体化波形的多普勒补偿算法。基于FBMC的SAR与通信一体化波形在宽测绘带SAR与通信一体化系统中有更好的性能,仿真试验验证了该结论。 合成孔径雷达(SAR)与通信一体化可提升SAR的信息交互能力,实现探测数据实时传输,提升系统整体性能。一体化平台在工作过程中,将引入多普勒偏移和多径效应,这使得广泛研究的正交频分复用(OFDM)一体化波形的正交性无法保持,成像与通信性能受限。该文提出利用滤波器组多载波(FBMC)波形实现SAR与通信一体化,一方面,FBMC波形对子载波间的正交性要求低,可以对抗多普勒与多径效应,另一方面,FBMC波形不采用循环前缀(CP),因此可以避免出现虚假目标,提升了频谱利用率。该文分析了FBMC波形的一体化性能,针对一体化系统中的多径效应与多普勒偏移对FBMC波形的影响展开了研究,并针对大频偏的情况提出了适用于FBMC一体化波形的多普勒补偿算法。基于FBMC的SAR与通信一体化波形在宽测绘带SAR与通信一体化系统中有更好的性能,仿真试验验证了该结论。
2018, 7(5): 613-621.
摘要:
雷达目标分类在军事和民用领域发挥着重要作用。极限学习机(Extreme Learning Machine, ELM)因其学习速度快、泛化能力强而被广泛应用于分类任务中。然而,由于其浅层结构,ELM无法有效地捕获数据深层抽象信息。虽然许多研究者已经提出了深度极限学习机,它可以用于自动学习目标高级特征表示,但是当训练样本有限时,模型容易陷入过拟合。为解决此问题,该文提出一种基于Dropout约束的深度极限学习机雷达目标分类算法,在雷达测量数据上的实验结果表明所提算法在分类准确率上达到93.37%,相较栈式自动编码器算法和传统深度极限学习机算法分别提高了5.25%和8.16%,验证了算法有效性。 雷达目标分类在军事和民用领域发挥着重要作用。极限学习机(Extreme Learning Machine, ELM)因其学习速度快、泛化能力强而被广泛应用于分类任务中。然而,由于其浅层结构,ELM无法有效地捕获数据深层抽象信息。虽然许多研究者已经提出了深度极限学习机,它可以用于自动学习目标高级特征表示,但是当训练样本有限时,模型容易陷入过拟合。为解决此问题,该文提出一种基于Dropout约束的深度极限学习机雷达目标分类算法,在雷达测量数据上的实验结果表明所提算法在分类准确率上达到93.37%,相较栈式自动编码器算法和传统深度极限学习机算法分别提高了5.25%和8.16%,验证了算法有效性。
雷达目标分类在军事和民用领域发挥着重要作用。极限学习机(Extreme Learning Machine, ELM)因其学习速度快、泛化能力强而被广泛应用于分类任务中。然而,由于其浅层结构,ELM无法有效地捕获数据深层抽象信息。虽然许多研究者已经提出了深度极限学习机,它可以用于自动学习目标高级特征表示,但是当训练样本有限时,模型容易陷入过拟合。为解决此问题,该文提出一种基于Dropout约束的深度极限学习机雷达目标分类算法,在雷达测量数据上的实验结果表明所提算法在分类准确率上达到93.37%,相较栈式自动编码器算法和传统深度极限学习机算法分别提高了5.25%和8.16%,验证了算法有效性。 雷达目标分类在军事和民用领域发挥着重要作用。极限学习机(Extreme Learning Machine, ELM)因其学习速度快、泛化能力强而被广泛应用于分类任务中。然而,由于其浅层结构,ELM无法有效地捕获数据深层抽象信息。虽然许多研究者已经提出了深度极限学习机,它可以用于自动学习目标高级特征表示,但是当训练样本有限时,模型容易陷入过拟合。为解决此问题,该文提出一种基于Dropout约束的深度极限学习机雷达目标分类算法,在雷达测量数据上的实验结果表明所提算法在分类准确率上达到93.37%,相较栈式自动编码器算法和传统深度极限学习机算法分别提高了5.25%和8.16%,验证了算法有效性。
2018, 7(5): 622-631.
摘要:
近年来,基于卷积神经网络(Convolutional Neural Network, CNN)的合成孔径雷达(Synthetic Aperture Radar, SAR)图像目标识别得到深入研究。全卷积神经网络(Fully Convolutional Neural Network, FCNN)是CNN结构上的改进,它比CNN能获得更高的识别率,但在训练过程中仍需要大量的带标签训练样本。该文提出一种基于FCNN和改进的卷积自编码器(Improved Convolutional Auto-Encoder, ICAE)的SAR图像目标识别方法,即先用ICAE无监督训练方式获得的编码器网络参数初始化FCNN的部分参数,后用带标签训练样本对FCNN进行训练。基于MSTAR数据集的十类目标分类实验结果表明,在不扩充带标签训练样本的情况下,该方法不仅能获得98.14%的平均正确识别率,而且具有较强的抗噪声能力。 近年来,基于卷积神经网络(Convolutional Neural Network, CNN)的合成孔径雷达(Synthetic Aperture Radar, SAR)图像目标识别得到深入研究。全卷积神经网络(Fully Convolutional Neural Network, FCNN)是CNN结构上的改进,它比CNN能获得更高的识别率,但在训练过程中仍需要大量的带标签训练样本。该文提出一种基于FCNN和改进的卷积自编码器(Improved Convolutional Auto-Encoder, ICAE)的SAR图像目标识别方法,即先用ICAE无监督训练方式获得的编码器网络参数初始化FCNN的部分参数,后用带标签训练样本对FCNN进行训练。基于MSTAR数据集的十类目标分类实验结果表明,在不扩充带标签训练样本的情况下,该方法不仅能获得98.14%的平均正确识别率,而且具有较强的抗噪声能力。
近年来,基于卷积神经网络(Convolutional Neural Network, CNN)的合成孔径雷达(Synthetic Aperture Radar, SAR)图像目标识别得到深入研究。全卷积神经网络(Fully Convolutional Neural Network, FCNN)是CNN结构上的改进,它比CNN能获得更高的识别率,但在训练过程中仍需要大量的带标签训练样本。该文提出一种基于FCNN和改进的卷积自编码器(Improved Convolutional Auto-Encoder, ICAE)的SAR图像目标识别方法,即先用ICAE无监督训练方式获得的编码器网络参数初始化FCNN的部分参数,后用带标签训练样本对FCNN进行训练。基于MSTAR数据集的十类目标分类实验结果表明,在不扩充带标签训练样本的情况下,该方法不仅能获得98.14%的平均正确识别率,而且具有较强的抗噪声能力。 近年来,基于卷积神经网络(Convolutional Neural Network, CNN)的合成孔径雷达(Synthetic Aperture Radar, SAR)图像目标识别得到深入研究。全卷积神经网络(Fully Convolutional Neural Network, FCNN)是CNN结构上的改进,它比CNN能获得更高的识别率,但在训练过程中仍需要大量的带标签训练样本。该文提出一种基于FCNN和改进的卷积自编码器(Improved Convolutional Auto-Encoder, ICAE)的SAR图像目标识别方法,即先用ICAE无监督训练方式获得的编码器网络参数初始化FCNN的部分参数,后用带标签训练样本对FCNN进行训练。基于MSTAR数据集的十类目标分类实验结果表明,在不扩充带标签训练样本的情况下,该方法不仅能获得98.14%的平均正确识别率,而且具有较强的抗噪声能力。
作者中心
专家审稿
责编办公
编辑办公
上一期
摘要
3583KB
微信 | 公众平台 