2022 Vol. 11, No. 2
2022, 11(2): 183-197.
The discontinuous spectrum radar signal is a featured cognitive radar signal. Its spectrum is discontinuous and comprises multiple discrete frequency bands, and the distribution structure of the discrete frequency bands can be adapted to the change of external interference adequately. Therefore, this segmented signal is suitable for dense interference and congested spectrum based spectrum scenarios. The design of discontinuous spectrum signal is focused on two issues: (1) the optimal selection of the discontinuous spectrum structure in accordance with the interference environment to meet the requirements of radar anti-jamming and resolution performance, and (2) the solution of the time-domain emission based on the optimal discontinuous spectrum signal. A typical application of discontinuous spectrum radar signals is the anti-co-frequency interference derived of high-frequency radar. With the upgrade of electronic countermeasures and the spectrum congestion problem caused by the coexistence of multiple electronic devices, discontinuous spectrum signals are used in radar anti-jamming and electromagnetic spectrum compatibility. This paper discusses and summarizes the research on discontinuous signal design criteria and constraints, working frequency band selection and shaping, and time-domain signal waveform synthesis to promote the research and application of discontinuous spectrum signals.
The discontinuous spectrum radar signal is a featured cognitive radar signal. Its spectrum is discontinuous and comprises multiple discrete frequency bands, and the distribution structure of the discrete frequency bands can be adapted to the change of external interference adequately. Therefore, this segmented signal is suitable for dense interference and congested spectrum based spectrum scenarios. The design of discontinuous spectrum signal is focused on two issues: (1) the optimal selection of the discontinuous spectrum structure in accordance with the interference environment to meet the requirements of radar anti-jamming and resolution performance, and (2) the solution of the time-domain emission based on the optimal discontinuous spectrum signal. A typical application of discontinuous spectrum radar signals is the anti-co-frequency interference derived of high-frequency radar. With the upgrade of electronic countermeasures and the spectrum congestion problem caused by the coexistence of multiple electronic devices, discontinuous spectrum signals are used in radar anti-jamming and electromagnetic spectrum compatibility. This paper discusses and summarizes the research on discontinuous signal design criteria and constraints, working frequency band selection and shaping, and time-domain signal waveform synthesis to promote the research and application of discontinuous spectrum signals.
2022, 11(2): 198-212.
Radar and communication systems are hosted on the same platform in many civilian and military applications. Traditionally, radar and communication systems are separately designed, which increases the system size, cost, and power consumption, and decreases the electromagnetic compatibility. Joint radar and communication designs, which have drawn much attention from both the academic and industrial circles, overcome these problems by implementing radar and communication systems using the same hardware. Joint radar and communications systems can be realized by resource allocation and waveform sharing. Waveform sharing schemes have become popular in recent years because they have higher spectral and power efficiency and can fundamentally avoid interference between the different systems. This paper studies the existing strategies of shared waveforms for joint radar and communications systems. The existing strategies are divided into three categories, namely: the communication waveform-based approaches, the radar waveform-based methods, and the joint design schemes. The performance bounds of the joint radar and communication systems are also reviewed to reveal the trade-off between the performance metrics of radar and communications in these systems. The potential for future research into joint radar and communication designs is also discussed.
Radar and communication systems are hosted on the same platform in many civilian and military applications. Traditionally, radar and communication systems are separately designed, which increases the system size, cost, and power consumption, and decreases the electromagnetic compatibility. Joint radar and communication designs, which have drawn much attention from both the academic and industrial circles, overcome these problems by implementing radar and communication systems using the same hardware. Joint radar and communications systems can be realized by resource allocation and waveform sharing. Waveform sharing schemes have become popular in recent years because they have higher spectral and power efficiency and can fundamentally avoid interference between the different systems. This paper studies the existing strategies of shared waveforms for joint radar and communications systems. The existing strategies are divided into three categories, namely: the communication waveform-based approaches, the radar waveform-based methods, and the joint design schemes. The performance bounds of the joint radar and communication systems are also reviewed to reveal the trade-off between the performance metrics of radar and communications in these systems. The potential for future research into joint radar and communication designs is also discussed.
2022, 11(2): 213-226.
The pseudo-random agility technology for interpulse waveform parameters in airborne radar increases the complexity and uncertainty of radar waveform and improves its anti-clutter and anti-interference ability by optimizing the pulse repetition interval, initial phase, frequency, and amplitude, which is one of the main developmental directions of airborne radar technology. The pseudo-random agility of interpulse parameters makes multi-pulse coherent accumulation and modeling of clutter spectrum characteristics difficult. In this paper, a pseudo-random agility signal model of interpulse parameters is established. Furthermore, a non-uniform parameter coherent processing method is proposed, and the anti-interference performance is analyzed. Based on the analysis, the clutter echo model of airborne radar with random pulse repetition interval is studied, and a joint transmitter-receiver filter design is proposed for strong clutter processing. Finally, numerical simulation is conducted to verify the results.
The pseudo-random agility technology for interpulse waveform parameters in airborne radar increases the complexity and uncertainty of radar waveform and improves its anti-clutter and anti-interference ability by optimizing the pulse repetition interval, initial phase, frequency, and amplitude, which is one of the main developmental directions of airborne radar technology. The pseudo-random agility of interpulse parameters makes multi-pulse coherent accumulation and modeling of clutter spectrum characteristics difficult. In this paper, a pseudo-random agility signal model of interpulse parameters is established. Furthermore, a non-uniform parameter coherent processing method is proposed, and the anti-interference performance is analyzed. Based on the analysis, the clutter echo model of airborne radar with random pulse repetition interval is studied, and a joint transmitter-receiver filter design is proposed for strong clutter processing. Finally, numerical simulation is conducted to verify the results.
2022, 11(2): 227-239.
Multinode transceiver division systems can cooperate across multiple domains, including space, time, frequency, and energy, through waveforms. Moreover, it can provide greater anti-interference degrees of freedom than that from a single radar. Through this paper, we propose a frequency domain cooperative waveform design method based on two short baseline transceiver separation systems to resist multi-mainlobe interference. First, a narrowband detection signal with a locally good autocorrelation level was optimized using the Majorization-Minimization-based Proximal Method of Multipliers (MM-PMM) algorithm. Then, according to the characteristics of the frequency hopping of the narrowband detection signal, the corresponding wideband signal with a null spectrum was optimized as the cover signal of a narrowband signal. Further, two transmitting nodes were used to transmit the narrowband and wideband signals. Finally, a signal processing method based on phase-coherent and nonphase-coherent joint accumulation, with known frequency agility was used to process the cooperative waveform in the frequency domain. Numerical simulation results demonstrated the convergence of the MM-PMM algorithm, principle of frequency domain cover, and effectiveness of the frequency domain cooperative waveform design method against multi-mainlobe interference.
Multinode transceiver division systems can cooperate across multiple domains, including space, time, frequency, and energy, through waveforms. Moreover, it can provide greater anti-interference degrees of freedom than that from a single radar. Through this paper, we propose a frequency domain cooperative waveform design method based on two short baseline transceiver separation systems to resist multi-mainlobe interference. First, a narrowband detection signal with a locally good autocorrelation level was optimized using the Majorization-Minimization-based Proximal Method of Multipliers (MM-PMM) algorithm. Then, according to the characteristics of the frequency hopping of the narrowband detection signal, the corresponding wideband signal with a null spectrum was optimized as the cover signal of a narrowband signal. Further, two transmitting nodes were used to transmit the narrowband and wideband signals. Finally, a signal processing method based on phase-coherent and nonphase-coherent joint accumulation, with known frequency agility was used to process the cooperative waveform in the frequency domain. Numerical simulation results demonstrated the convergence of the MM-PMM algorithm, principle of frequency domain cover, and effectiveness of the frequency domain cooperative waveform design method against multi-mainlobe interference.
2022, 11(2): 240-254.
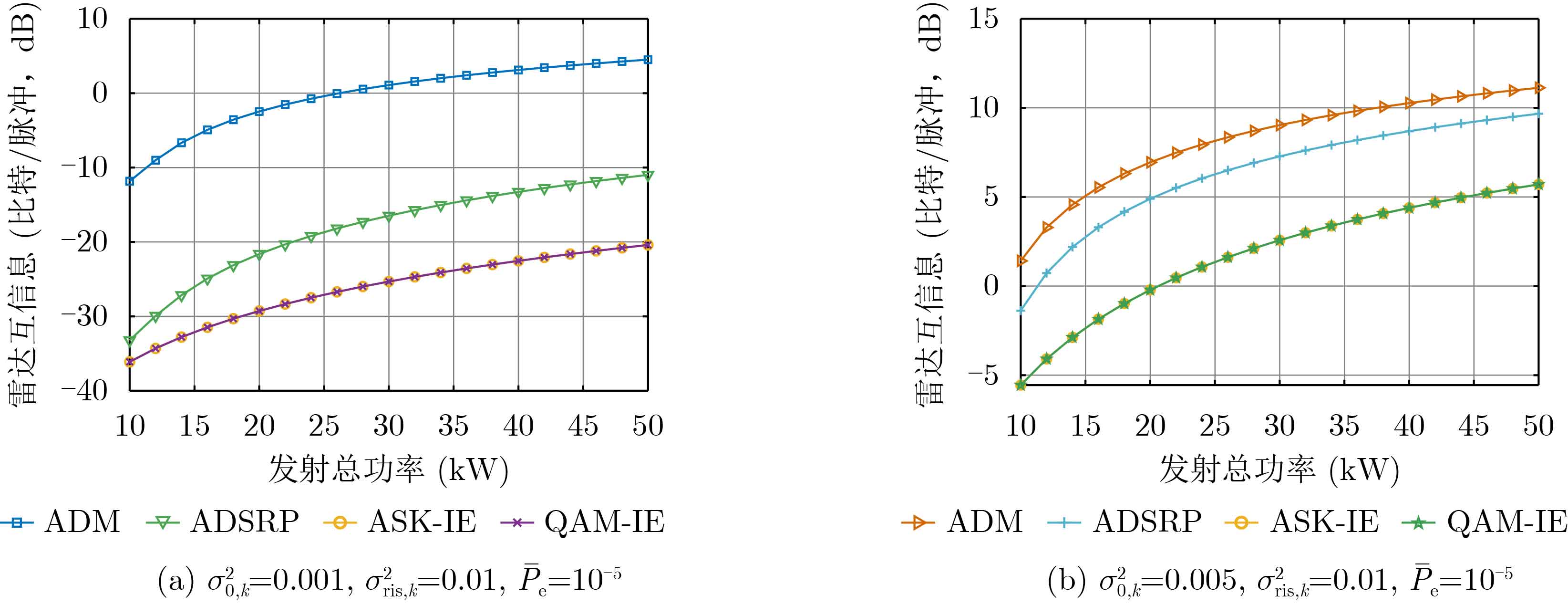
Radar-communication integration is an effective way to solve the congestion problem of spectrum resource. Sharing waveform design is the key technology that realizes the radar and communication functions simultaneously. This study solves the multicarrier waveform optimization problem for an Intelligent Reflecting Surface (IRS)-assisted Dual-function Radar-Communication (DRC) system. First, by maximizing Radar Mutual Information (RMI) along with the constraints of transmission power, Word Error Probability (WEP), sidelobe amplitude and IRS reflection coefficient, a joint optimization model with dual-functional transmit waveform, IRS reflecting units, radar and communication receiving beampattern is constructed. Second, a multicarrier waveform optimization algorithm based on Alternating Direction Maximization (ADM) is proposed. The original non-convex optimization problem is decomposed into several low-complexity subproblems and then iteratively optimized to obtain the local power allocation strategy of the multicarrier waveform. Finally, the simulation results show that the radar and communication functions can be simultaneously realized using the ADM algorithm. For the IRS-assisted DRC system, both the radar and communication performances can be effectively improved compared with those of the existing methods.
Radar-communication integration is an effective way to solve the congestion problem of spectrum resource. Sharing waveform design is the key technology that realizes the radar and communication functions simultaneously. This study solves the multicarrier waveform optimization problem for an Intelligent Reflecting Surface (IRS)-assisted Dual-function Radar-Communication (DRC) system. First, by maximizing Radar Mutual Information (RMI) along with the constraints of transmission power, Word Error Probability (WEP), sidelobe amplitude and IRS reflection coefficient, a joint optimization model with dual-functional transmit waveform, IRS reflecting units, radar and communication receiving beampattern is constructed. Second, a multicarrier waveform optimization algorithm based on Alternating Direction Maximization (ADM) is proposed. The original non-convex optimization problem is decomposed into several low-complexity subproblems and then iteratively optimized to obtain the local power allocation strategy of the multicarrier waveform. Finally, the simulation results show that the radar and communication functions can be simultaneously realized using the ADM algorithm. For the IRS-assisted DRC system, both the radar and communication performances can be effectively improved compared with those of the existing methods.
2022, 11(2): 255-263.
Radar waveform optimization has recently drawn much attention. The radar waveform possesses not only constant amplitude but also a low autocorrelation sidelobe level. However, because of the presence of the constant modular constraint, the problem of optimizing the waveform is non-convex, which is difficult to address. The feasible domain used by the current methods usually contains the vector space with two dimensions: amplitude and phase. The optimization procedures accompanied by the constant constraint enlarge the difficulty and amount of calculation. Herein, the problem of designing unimodular sequences with low autocorrelation sidelobes is addressed, and a novel approach based on phase optimization is presented. The feasible domain is compressed into the vector space with only the phase dimension. The proposed method conducts a deep analysis of the relationship between the phases of the elements in the unimodular sequence and successively updates the vector with a closed-form solution in an element-by-element manner at each iteration using the coordinate descent method, which comprises low computational complexity. By compressing the feasible domain and updating the vector variable using the closed solution, the integrated sidelobe level and computation efficiency are improved. Representative numerical simulations are provided to verify the effectiveness of the proposed method.
Radar waveform optimization has recently drawn much attention. The radar waveform possesses not only constant amplitude but also a low autocorrelation sidelobe level. However, because of the presence of the constant modular constraint, the problem of optimizing the waveform is non-convex, which is difficult to address. The feasible domain used by the current methods usually contains the vector space with two dimensions: amplitude and phase. The optimization procedures accompanied by the constant constraint enlarge the difficulty and amount of calculation. Herein, the problem of designing unimodular sequences with low autocorrelation sidelobes is addressed, and a novel approach based on phase optimization is presented. The feasible domain is compressed into the vector space with only the phase dimension. The proposed method conducts a deep analysis of the relationship between the phases of the elements in the unimodular sequence and successively updates the vector with a closed-form solution in an element-by-element manner at each iteration using the coordinate descent method, which comprises low computational complexity. By compressing the feasible domain and updating the vector variable using the closed solution, the integrated sidelobe level and computation efficiency are improved. Representative numerical simulations are provided to verify the effectiveness of the proposed method.
2022, 11(2): 264-277.
To suppress interrupted sampling jamming, a joint waveform and filter design method was proposed in this study. A fast algorithm was also suggested to design sequences with large code lengths. The joint design problem was formulated on the basis of the penalty function and Pareto optimization method. By deriving the theoretical solution of the trace of matrices in each iteration, the computation order of the proposed algorithm was decreased significantly compared to that of the conventional algorithm. Moreover, an accelerated scheme based on the squared iterative method, which further improves the running speed of the algorithm, was proposed. Simulation results demonstrate that the proposed algorithm runs faster than traditional algorithms. Moreover, the designed waveform and filter can be applied to suppress interrupted sampling repeater jamming when the false targets are inseparable from the true targets in time-frequency domains.
To suppress interrupted sampling jamming, a joint waveform and filter design method was proposed in this study. A fast algorithm was also suggested to design sequences with large code lengths. The joint design problem was formulated on the basis of the penalty function and Pareto optimization method. By deriving the theoretical solution of the trace of matrices in each iteration, the computation order of the proposed algorithm was decreased significantly compared to that of the conventional algorithm. Moreover, an accelerated scheme based on the squared iterative method, which further improves the running speed of the algorithm, was proposed. Simulation results demonstrate that the proposed algorithm runs faster than traditional algorithms. Moreover, the designed waveform and filter can be applied to suppress interrupted sampling repeater jamming when the false targets are inseparable from the true targets in time-frequency domains.
2022, 11(2): 278-288.
As a typical coherent jamming method, Interrupted Sampling Repeater Jamming (ISRJ) can generate multiple false targets with high fidelity at the radar receiver using under-sampling, which causes real targets detection to become invalid. To solve this problem, an anti-ISRJ method based on the joint design of Doppler-tolerant complementary sequences and receiving filters is proposed in this paper. First, by considering the Doppler tolerance of sequences, the sum of the energy of the ambiguity function of transmitted sequences and receiving filters and energy of the ambiguity function of ISRJ signals and receiving filters is chosen as the objective function. Meanwhile, the constant modulus constraint on sequences and signal-to-noise ratio constraint are considered. Then, an alternately iterative algorithm based on the Majorization-Minimization (MM) method is proposed to solve the non-convex optimization problem. Finally, numerical results are presented as a way to compare with conventional methods, and the sequences and receiving filters designed by the proposed method show better pulse compression correlation and anti-ISRJ performance. These procedures can substantially improve the radar detection ability to move targets in the jamming scene.
As a typical coherent jamming method, Interrupted Sampling Repeater Jamming (ISRJ) can generate multiple false targets with high fidelity at the radar receiver using under-sampling, which causes real targets detection to become invalid. To solve this problem, an anti-ISRJ method based on the joint design of Doppler-tolerant complementary sequences and receiving filters is proposed in this paper. First, by considering the Doppler tolerance of sequences, the sum of the energy of the ambiguity function of transmitted sequences and receiving filters and energy of the ambiguity function of ISRJ signals and receiving filters is chosen as the objective function. Meanwhile, the constant modulus constraint on sequences and signal-to-noise ratio constraint are considered. Then, an alternately iterative algorithm based on the Majorization-Minimization (MM) method is proposed to solve the non-convex optimization problem. Finally, numerical results are presented as a way to compare with conventional methods, and the sequences and receiving filters designed by the proposed method show better pulse compression correlation and anti-ISRJ performance. These procedures can substantially improve the radar detection ability to move targets in the jamming scene.
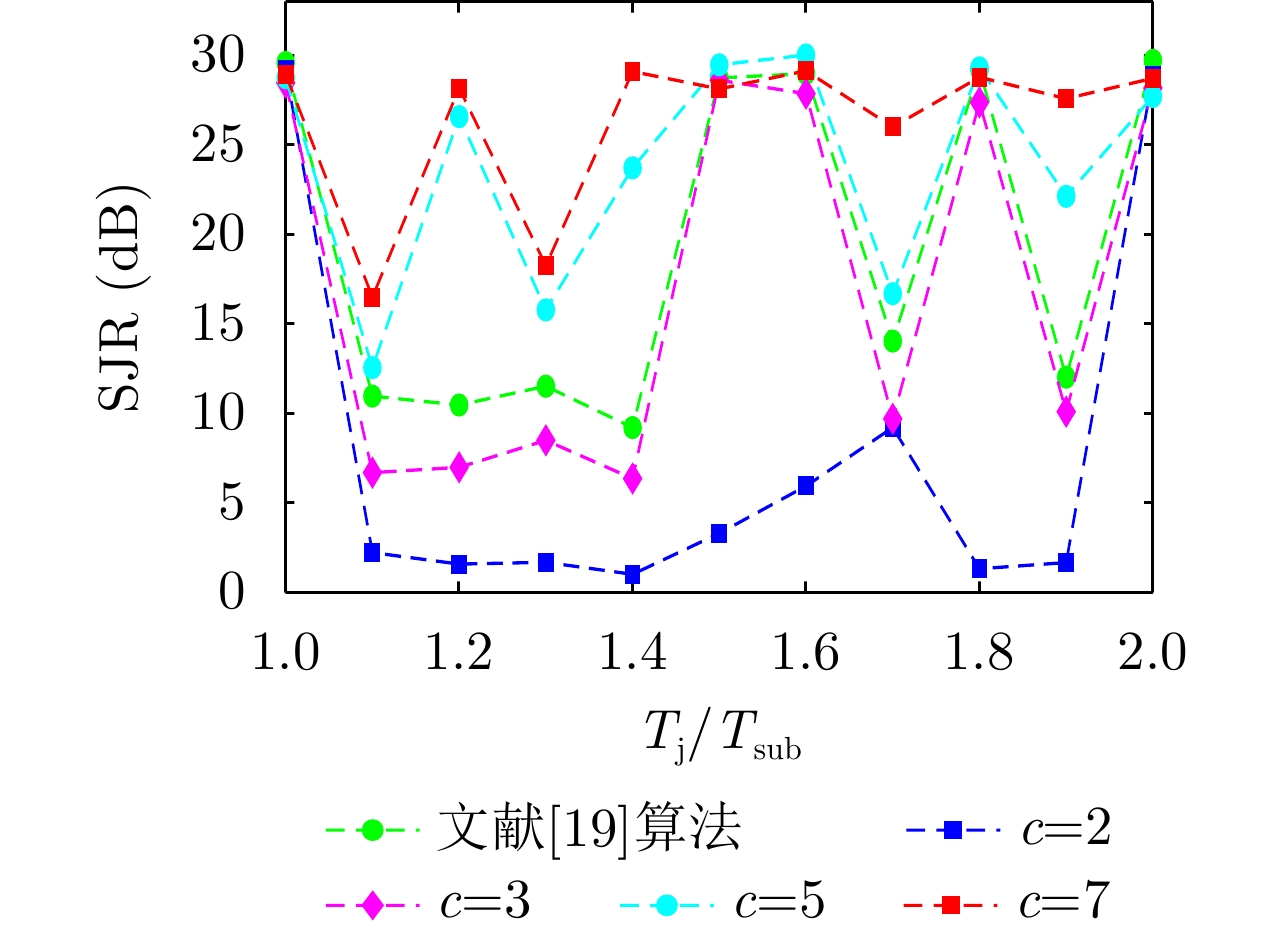
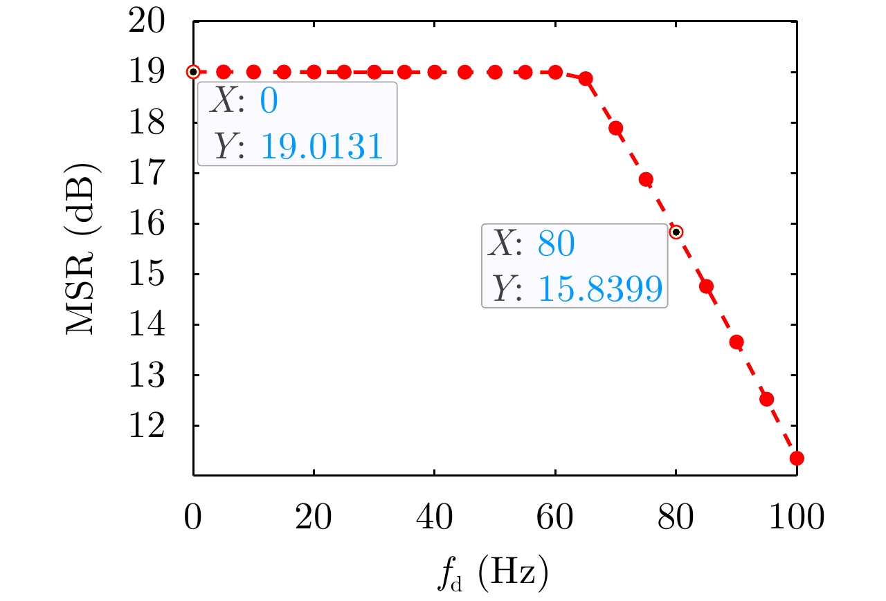
Anti-interrupted Sampling Repeater Jamming Method Based on Frequency-agile Radar Joint Fuzzy C-means
2022, 11(2): 289-300.
Intermittent sampling noise modulation and forward jamming is a novel active jamming method with both suppression and deception characteristics and is a challenge often encountered in radar anti-jamming. To improve the capability of frequency-agile radar to resist noise-modulated Intermittent Sampling Repeater Jamming (ISRJ), we propose an anti-ISRJ method based on frequency-agile radar joint Fuzzy C-Means (FCM). First, we designed a radar-transmitted waveform with intra pulse frequency coding and inter pulse frequency agility. Second, after receiving the echo signal, we obtained the sub pulse signals corresponding to different intra-pulse frequency codes via narrow-band filtering in the frequency domain. Third, we adopted the FCM algorithm to determine the presence of ISRJs in the sub pulses after pulse compression. Finally, we realized the phase-coherent accumulation of inter pulse frequency-hopping waveform using the compressed sensing algorithm. Theoretical analysis and simulation experiments showed that the proposed method can effectively resist ISRJ.
Intermittent sampling noise modulation and forward jamming is a novel active jamming method with both suppression and deception characteristics and is a challenge often encountered in radar anti-jamming. To improve the capability of frequency-agile radar to resist noise-modulated Intermittent Sampling Repeater Jamming (ISRJ), we propose an anti-ISRJ method based on frequency-agile radar joint Fuzzy C-Means (FCM). First, we designed a radar-transmitted waveform with intra pulse frequency coding and inter pulse frequency agility. Second, after receiving the echo signal, we obtained the sub pulse signals corresponding to different intra-pulse frequency codes via narrow-band filtering in the frequency domain. Third, we adopted the FCM algorithm to determine the presence of ISRJs in the sub pulses after pulse compression. Finally, we realized the phase-coherent accumulation of inter pulse frequency-hopping waveform using the compressed sensing algorithm. Theoretical analysis and simulation experiments showed that the proposed method can effectively resist ISRJ.
2022, 11(2): 301-312.
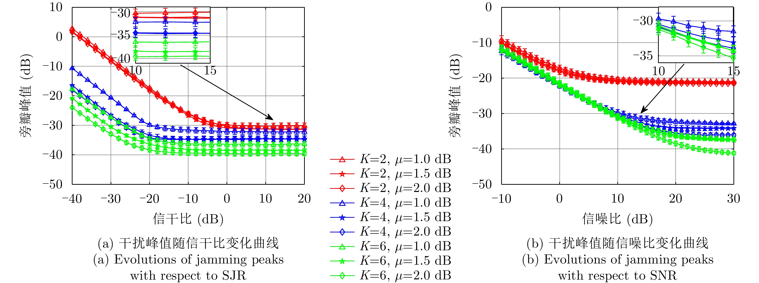
To improve radar’s anti-Interrupted Sampling Repeater Jamming (ISRJ) capability, this study proposes a parallel interference suppression method based on the fractional Fourier transform, which uses the “active” anti-jamming capability of the interpulse and intrapulse frequency-agile waveform according to the characteristics of ISRJ transceiver splitting. First, the interfered sub-pulses are extracted in the time domain, and the extracted signals are sliced. Then, the narrowband filter banks are used to suppress the interference in the fractional Fourier domain. Finally, matching filter banks are constructed to achieve subpulse integration by applying segmented pulse compression. The theoretical analysis and simulation results show that the proposed method effectively suppresses multi-mainlobe interferences comprising different types of ISRJ and exhibits good anti-interference performance under a high jamming-to-signal ratio, which considerably improves the anti-jamming capability of the radar.
To improve radar’s anti-Interrupted Sampling Repeater Jamming (ISRJ) capability, this study proposes a parallel interference suppression method based on the fractional Fourier transform, which uses the “active” anti-jamming capability of the interpulse and intrapulse frequency-agile waveform according to the characteristics of ISRJ transceiver splitting. First, the interfered sub-pulses are extracted in the time domain, and the extracted signals are sliced. Then, the narrowband filter banks are used to suppress the interference in the fractional Fourier domain. Finally, matching filter banks are constructed to achieve subpulse integration by applying segmented pulse compression. The theoretical analysis and simulation results show that the proposed method effectively suppresses multi-mainlobe interferences comprising different types of ISRJ and exhibits good anti-interference performance under a high jamming-to-signal ratio, which considerably improves the anti-jamming capability of the radar.
Submit Manuscript
Peer Review
Editor Work
Previous Issue
Abstract
2843KB
微信 | 公众平台 