② (中国科学院电子学研究所 北京 100190)
② (Institute of Electronics, Chinese Academy of Sciences, Beijing 100190, China)
太赫兹波(THz waves)一般指电磁波频率从0.1 THz至10 THz之间的电磁波,具有光子能量低、穿透性好、高分辨等特性。太赫兹成像系统在无损探测和非接触式安检成像等领域有重大的应用价值[1]。现有的成像系统多采用机械扫描的方式实现2维波束扫描[2],这类天线体积大、加工难、成本高。此外,机械扫描体制使得成像时间长达数秒甚至数十秒,因此系统的实际应用价值大打折扣。为实现太赫兹高帧率成像,电控波束扫描体制是一种很有潜力的解决方案。通常采用基于移相器的相控阵天线实现电控波束扫描,但是在F波段以上频率,移相器很难实现180°以上的相移范围[3]。另一种实现电控波束扫描的方式是频率扫描天线[4]。本文提出将频率扫描天线应用于太赫兹成像系统,频率控制的波束扫描方式在太赫兹高帧率成像方面有巨大的应用潜力。
目前在高于0.1 THz的频段范围内,国内外关于频率扫描天线的研究逐渐增多[5–8],已有的研究中太赫兹波段频率扫描天线的实现方式主要有两种,一种是基于空间馈电的反射栅式频率扫描天线[5,6],这种天线通过将入射高斯波束转化成高阶衍射波模式,实现频率控制的波束扫描,该种天线具有高增益的优点,但是扫描角度较小。另一种实现方式是基于漏波体制的频率扫描天线,该种频率扫描天线可以克服扫描角度小的缺陷。文献[7]提出一种工作在212 GHz的介质波导加载周期金属栅条的漏波结构,介质导中传播的慢波主模,周期性金属栅条起到辐射电磁波的作用。文献[8]同样通过介质波导传播慢波,不同的是在介质波导侧壁周期性开槽实现漏波辐射,天线工作在97~103 GHz。基于复合左右手传输线理论的漏波天线可以实现法线两侧的波束扫描,目前该项技术可以实现X波段的大角度波束扫描[9];吴柯等人提出一种Ka波段的基于半模基片集成波导[10]的毫米波漏波天线,随后提出基于介质集成镜像波导的漏波天线[11],将工作频率提高到100 GHz[12]。西班牙学者提出通过控制电磁波在波导中传输的长度,实现了太赫兹频段的1维频控波束扫描[13],随后提出将波导结构在E面、H面同时控制传输路径,调节两个维度的相位差,实现了中心频率270 GHz的2维频率扫描天线[14]。由于电磁波在介质波导中传播不可避免地会引起损耗,基于介质波导的漏波天线效率比较低,采用金属波导传播太赫兹波可以达到提高效率的目的。
目前,波导缝隙天线已成功应用于从S波段到Ka波段的雷达系统中,波导缝隙天线通常采用矩形波导主模馈电,缝隙分布在波导宽边或者窄边[15],实现主模的漏波辐射。应用较多的波导缝隙天线多为谐振式固定波束的天线[16,17],具有波束扫描功能的波导缝隙天线实现难度较大,原因在于该种天线是一种行波结构,工作频带较宽,对于特定分布的缝隙结构,在整个宽频带内实现低副瓣性能是非常有挑战性的。2009年,美国加州理工学院喷气推进实验室的Rengarajan教授等人,提出一种Ka波段的波导缝隙天线用于“GLISTIN”空间干涉仪[18],该天线具有低副瓣、高辐射效率的优点。目前工作频段最高的波导缝隙阵列天线,为2012年Cullens等人提出的一种工作在130~180 GHz应用于行星探测器安全着陆雷达的波导缝隙阵列天线[19],该天线通过在金属波导宽边均匀开缝实现漏波辐射,天线的效率比较高;但是由于采用了均匀缝隙,天线的副瓣较高,不利于在成像和目标探测等领域的应用;另外该天线通过沉积工艺加工,工艺复杂且成本较高。该课题组2013年优化了波导阵列设计,提出一种2维波导缝隙阵列,天线增益大大提高[20]。
频率扫描天线可以应用于诸多领域,例如机场外来物探测(Foreign Object Debris, FOD)[21]、行星着陆器成像雷达[22]、机场跑道成像雷达用于雨雾天气飞机安全着陆[23]、人体目标跟踪雷达[24] 等领域。在毫米波太赫兹成像领域,西班牙学者研究了合成孔径技术在频率扫描体制雷达上的应用,并进行了距离向和方位向的2维成像[13]。德国夫琅禾费高频物理研究所的研究人员,首先提出一种基于频率扫描天线的3维成像雷达[25],该雷达工作频率为60 GHz。本文设计的频率扫描天线工作在200 GHz,扫描角度宽,为大场景扫描、高分辨率太赫兹成像打下良好基础。
本文提出一种基于波导缝隙阵列的太赫兹频率扫描天线,考虑到太赫兹波的大气衰减和天线小型化和轻量化的要求,选择工作频段为165~215 GHz,天线通过标准WR-5波导馈电,如图1所示,波导缝隙阵列由31个缝隙单元组成。为增大波束扫描角度,天线辐射段波导宽度比馈电段小。通过微加工车削技术实现波导渐变结构,缝隙阵列刻在0.1 mm厚的铜箔上,铜箔固定在波导槽上侧实现波导缝隙阵列。采用泰勒综合法设计缝隙阵列分布以降低副瓣电平,经仿真和实验测试,波导缝隙天线具有扫描角度大、副瓣电平低的优良特性。据我们所知,本文提出的太赫兹波导缝隙阵列天线为目前工作频率最高的波导缝隙天线。
|
图 1 波导缝隙阵列结构示意图 Fig.1 Description of the slot array antenna |
波导缝隙天线的辐射方向图由缝隙分布来控制,波导内传输电磁波可以是行波也可以是驻波,传播驻波时为谐振式缝隙阵,谐振式缝隙阵在波导末端通过短路活塞将结构封闭化,通常谐振式缝隙阵的主瓣指向不变。采用非谐振式波导缝隙阵,在波导末端是开口结构,传播行波带宽较大,行波在传播的同时向外辐射,波束指向随频率变化。交错排列的相邻缝隙的相位差为
|
其中,
|
根据矩形波导的色散特性,当工作频率靠近基模截止频率时,波导中电磁波波长变化范围大,由式(1)可知波束扫描角度大。因此为使工作频率靠近波导截止频率,辐射段波导宽边宽度比馈电段窄,选择a1=0.95 mm, d=0.9 mm,缝隙尺寸一般根据中心频率确定,缝隙宽度通常小于
通常契比雪夫分布的阵列辐射特性比较好,在相同阵列长度下对给定的副瓣电平,其主瓣是最窄的,副瓣电平是最低的。但是它的等副瓣特性会造成能量的损耗较多,而且两端单元的激励电流的幅度往往比其相邻单元电流的幅度变化大得多,这对缝隙的馈电以及端口反射特性造成较大的损失,而且副瓣电平对激励电平的误差比较敏感。本文采用泰勒分布降低副瓣电平。根据太赫兹成像和目标探测要求,选定副瓣电平SLL=–30 dB,辐射缝隙个数为31时,根据功率传输法[26],对应于泰勒分布的缝隙电导为
|
其中,
|
图 2 归一化缝隙电导分布 Fig.2 Normalized admittance distribution |
下面求缝隙电导与其尺寸的关系,即缝隙电导函数。Stevenson根据传输线理论和波导的格林函数及边界条件推导了波导缝隙的阻抗计算公式,但是实际中缝隙间互耦很严重,必须要考虑。传统的驻波阵可以通过Eilliot公式优化设计。对于行波阵,缝隙参数在较宽的频带内有所变化,缝隙阵列在波导内外均会产生互耦,互耦的精确计算非常困难,一般通过数值的方法确定缝隙电导函数。采用全波仿真软件Ansys HFSS建立均匀分布的缝隙阵,缝隙单元数为20,模型中缝隙间距,缝隙宽度都与实际天线相同,相邻缝隙交替排布在波导中心线的两侧,变化缝隙偏移量求解端口S参数。假设每个缝隙辐射能量相同,每个缝隙的电导近似相等,且该电导包含了缝隙间的互耦;根据行波近似,可求得不同偏移量对应的缝隙电导[18]。再通过此偏移量与缝隙电导的对应关系,以及上一节中所需要的缝隙电导分布,拟合出所需要的缝隙偏移量。
在仿真中,馈电段波导宽边长度1.3 mm,高度0.65 mm,辐射段漏波波导的宽边长度0.95 mm,高度0.65 mm,缝隙周期0.9 mm,偏移量为0~0.2 mm。求得不同频率的缝隙偏移量变化时对应的缝隙电导。图3给出了170 GHz, 190 GHz和210 GHz 3个频点的缝隙电导随偏移量变化的曲线,从图中可知,相同偏移量不同频率对应的电导不同,因此在某一频率最优的缝隙偏移分布,在其他频率可能不是最优的。由于不同频率的缝隙偏移量理论值不同,将得到的200 GHz的缝隙偏移量分布作为初始值,利用粒子群优化算法[27],优化偏移量分布使得副瓣抑制效果达到频带内最优。最终的优化得到的缝隙偏移量分布如图4所示。
|
图 3 不同频率下缝隙偏移量与归一化电导对应关系 Fig.3 Relationship of the normalized admittance with slot offset for different frequencies |
|
图 4 缝隙偏移量分布 Fig.4 Distribution of the slot offsets |
由于此波导缝隙阵列只有一个维度的周期缝隙,因此只在扫描平面有内窄波束;为实现非扫描平面波束宽度的锐化,采用了E面喇叭的方法,使得辐射波束在垂直于扫描平面的维度有较窄的波束宽度;经过仿真对比,最后选择喇叭张角为15°。
3 仿真与实验测试 3.1 天线加工及测试环境如图5所示,实际加工的波导缝隙天线,缝隙通过微加工工艺在0.1 mm厚的铜箔上刻缝形成,E面喇叭与波导槽将铜箔夹起来形成波导缝隙天线结构,馈电段为标准波导端口,与太赫兹发射模块的波导端口直接相连。
|
图 5 波导缝隙天线实物图 Fig.5 Fabricated slotted waveguide antenna |
如图6所示波导缝隙天线测试场景,太赫兹发射模块通过计算机控制输出不同频率的电磁波,波导缝隙天线的辐射波束在xy平面扫描;检波器固定在可以2维移动的扫描平台上,检波器2维运动测量天线的辐射方向图,测量信号经数据采集后传回计算机。
|
图 6 波导缝隙天线实验测试示意图 Fig.6 Description of the measurement system |
如图7所示,扫描角度仿真与测试比较吻合,实测的扫描角度为–3.8°~53.8°,仿真的扫描角度为–7.37°~–56.98°,在60 GHz带宽内扫描了50°。如图8所示,若以–20 dB副瓣带宽计,在165~215 GHz频带范围内,扫描角度为–4.8°~–45.2°,在50 GHz带宽内扫描了40°,说明该太赫兹波导缝隙天线具有宽角度扫描特性;实测扫描角度比仿真的扫描角度整体向边射方向偏移,误差来自天线加工误差以及测量中天线摆放角度的误差。
|
图 7 实测和仿真扫描角度对比 Fig.7 Comparison of the measured and simulated scanned angles |
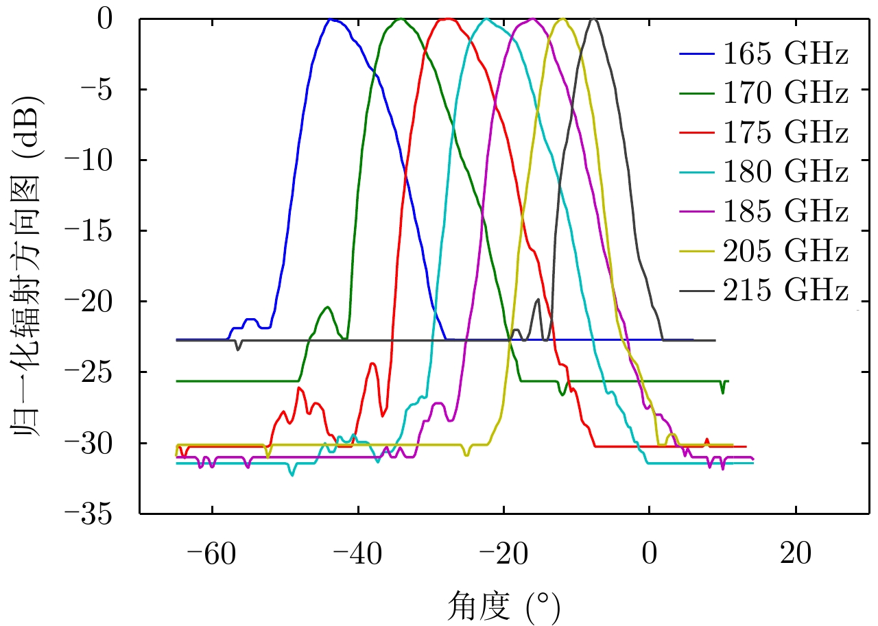
如图8所示实验测得xy平面内扫描波束的归一化方向图,主瓣方向图比较光滑,在扫描平面内波束比较窄,3 dB波束宽度为4°~7°,且波束宽度随着频率的升高而减小;除去两端的频率点外,在165~215 GHz频段内副瓣电平平均小于–20 dB。
如图9所示仿真与实验方向图对比,可以发现在175 GHz, 190 GHz, 210 GHz处,仿真与实测的扫描角度大致相同,说明加工尺寸比较精确,波导缝隙天线中的相位常数变化不大;实测的副瓣电平比扫描的稍低,同时实测的波束宽度比仿真宽,说明金属波导损耗比仿真稍大,缝隙激励电压分布比仿真更加尖锐,使得波束变宽副瓣降低。经过试验验证,波导缝隙天线的增益可达15 dB。
如图10所示仿真与实验副瓣电平对比,在165~215 GHz频段内,仿真副瓣电平在–20 dB附近变化,实验测试的副瓣电平优于–20 dB,在整个频段内在–24 dB附近变化。在频带的两端,实测的副瓣电平都比较高,原因是两端的频率对应的缝隙电导变化较大,副瓣电平抑制效果没有中间频段好。
如图6所示,检波器固定在可以2维移动的扫描平台,记录不同角度的辐射强度,检波器前端连接一个全向性的波导端口,保证对各个入射方向的电磁波增益相同。测量波导缝隙阵的增益时,首先将波导缝隙阵列位置替换为VDI公司的增益为20 dBi的标准圆锥喇叭天线,通过检波器记录标准喇叭天线做发射时的辐射强度;然后再通过检波器测试波导缝隙阵列的辐射强度。两次测试相比较即可得到波导缝隙阵列的增益。经测试在中心频率190 GHz处,波导缝隙阵列增益约为15 dB。
表1比较了太赫兹频段几种典型的频扫天线的性能。频率扫描反射栅天线的突出优点是增益高,但是扫描范围较小。基于漏波或相移原理的频率扫描天线,可以克服扫描角度小的缺陷。几种见报道的波导缝隙行波天线,扫描角度都可以达到40°,但是副瓣电平比较高。本文设计的波导缝隙天线,扫描角度大同时副瓣电平低,由于采用1维阵列,天线增益适中,可以通过扩展到2维阵列的方式提高天线增益。
|
图 8 实测扫描方向图 Fig.8 Normalized radiation patterns of the antenna in experiment |
|
图 9 实测和仿真的扫描方向图对比 Fig.9 Comparison of the scanning radiation patterns for different frequencies |
|
图 10 实测和仿真的副瓣电平比较 Fig.10 Comparison of the measured and simulated sidelobe levels |
| 表 1 太赫兹频率扫描天线性能对比 Tab.1 Performance comparison of the Terahertz frequency scanning antennas |
太赫兹成像系统在无损探测和非接触式安检成像等领域有重大的应用价值,但是现有的成像系统多为机械扫描体制,成像时间较长。本文提出将频率扫描天线应用于太赫兹成像系统中,有望实现高帧率成像,并且提出一种基于波导缝隙阵列的太赫兹频率扫描天线。本文重点描述了天线的设计方法,采用泰勒综合法降低副瓣电平,通过软件仿真结合功率传输法设计最优的缝隙分布。实际加工了太赫兹波导缝隙阵列天线,通过太赫兹准光测试系统对天线性能进行测试,实测天线扫描角度超过40°,增益约为15 dB,副瓣电平抑制优于20 dB。本文提出的太赫兹频率扫描天线实现波束在一个维度的快速扫描,可以替代目前太赫兹成像系统中一个维度的机械扫描,接下来研究实现2维快速波束扫描的方法。测试结果表明波导缝隙天线具有大扫描角度和低副瓣的优良特性,可以应用于太赫兹成像和目标探测系统中,在太赫兹实时成像方面有重要的应用价值。
| [1] |
Appleby R and Bruce Wallace H.. Standoff detection of weapons and contraband in the 100 GHz to 1 THz region[J].
IEEE Transactions on Antennas and Propagation, 2007, 55(11): 2944-2956. DOI:10.1109/TAP.2007.908543 ( 0)
|
| [2] |
Cooper K B, Dengler R J, Llombart N, et al.. THz imaging radar for standoff personnel screening[J].
IEEE Transactions on Terahertz Science and Technology, 2011, 1(1): 169-182. DOI:10.1109/TTHZ.2011.2159556 ( 0)
|
| [3] |
Shah U, Decrossas E, Jung-Kubiak C, et al.. Submillimeter-wave 3.3-bit RF MEMS phase shifter integrated in micromachined waveguide[J].
IEEE Transactions on Terahertz Science and Technology, 2016, 6(5): 706-715. ( 0)
|
| [4] |
Johnson R C. Antenna Engineering Handbook[M]. 3rd Ed., New York: McGraw-Hill, 1993: 19–26.
( 0)
|
| [5] |
Li S C, Li C, Zhang Xi J, et al.. Achievement of beam steering in terahertz band based on frequency-scanning grating-reflector antenna[J].
Electronics Letters, 2014, 50(3): 136-138. DOI:10.1049/el.2013.3708 ( 0)
|
| [6] |
Li S C, Li C, Zhang Xi J, et al.. A planar binary structure for realizing frequency controlled beam-steering at 0.2-Terahertz band[J].
IEEE Antennas and Wireless Propagation Letters, 2014, 13: 1007-1010. DOI:10.1109/LAWP.2014.2326794 ( 0)
|
| [7] |
Basu A and Itoh T. Dielectric waveguide-based leaky-wave antenna at 212 GHz[J].
IEEE Transactions on Antennas and Propagation, 1998, 46(11): 1665-1673. DOI:10.1109/8.736619 ( 0)
|
| [8] |
Zandieh A, Abdellatif A S, Taeb A, et al.. Low-cost and high-efficiency antenna for millimeter-wave frequency-scanning applications[J].
IEEE Antennas and Wireless Propagation Letters, 2013, 12: 116-119. DOI:10.1109/LAWP.2013.2243572 ( 0)
|
| [9] |
Dong Y D and Itoh T. Composite right/left-handed substrate integrated waveguide and half mode substrate integrated waveguide leaky-wave structures[J].
IEEE Transactions on Antennas and Propagation, 2011, 59(3): 767-775. DOI:10.1109/TAP.2010.2103025 ( 0)
|
| [10] |
Xu J F, Hong W, Tang H J, et al.. Half-mode substrate integrated waveguide leaky-wave antenna for millimeter wave applications[J].
IEEE Antennas and Wireless Propagation Letters, 2008, 7: 85-88. DOI:10.1109/LAWP.2008.919353 ( 0)
|
| [11] |
Patrovsky A and Wu K. Substrate integrated image guide (SIIG)—A planar dielectric waveguide technology for millimeter-wave application[J].
IEEE Transactions on Antennas and Propagation, 2006, 54(6): 2872-2879. ( 0)
|
| [12] |
Mondal P and Wu K. A leaky-wave antenna in substrate integrated non-radiative dielectric (SINRD) waveguide with controllable scanning rate[J].
IEEE Transactions on Antennas and Propagation, 2013, 61(4): 2294-2297. DOI:10.1109/TAP.2012.2231914 ( 0)
|
| [13] |
Alvarez Y, Camblor R, Garcia C, et al.. Submillimeter-wave frequency scanning system for imaging applications[J].
IEEE Transactions on Antennas and Propagation, 2013, 61(11): 5689-5696. DOI:10.1109/TAP.2013.2275747 ( 0)
|
| [14] |
Camblor R, Ver Hoeye S, Fernández M, et al.. Full 2-D submillimeter-wave frequency scanning array[J].
IEEE Transactions on Antennas and Propagation, 2017, 65(9): 4486-4494. DOI:10.1109/TAP.2017.2722538 ( 0)
|
| [15] |
赵一, 曹祥玉, 张迪, 等. 一种兼有高增益和宽带低散射特征的波导缝隙天线设计[J].
物理学报, 2014, 63(3): 034101 Zhao Yi, Cao Xiang-Yu, Zhang Di, et al.. Design of high-gain broadband low-RCS waveguide slot antenna[J]. Acta Physica Sinica, 2014, 63(3): 034101 DOI:10.7498/aps.63.034101 ( 0)
|
| [16] |
刘涛, 曹祥玉, 高军, 等. 基于超材料的吸波体设计及其波导缝隙天线应[J].
物理学报, 2012, 61(18): 184101 Liu Tao, Cao Xiang-Yu, Gao Jun, et al.. Design of metamaterial absorber and its applications for waveguide slot antenna[J]. Acta Physica Sinica, 2012, 61(18): 184101 DOI:10.7498/aps.61.184101 ( 0)
|
| [17] |
李文强, 曹祥玉, 高军, 等. 基于超材料吸波体的低雷达散射截面波导缝隙阵列天线[J].
物理学报, 2015, 64(9): 094102 Li Wen-Qiang, Cao Xiang-Yu, Gao Jun, et al.. Low-RCS waveguide slot array antenna based on a metamaterial absorber[J]. Acta Physica Sinica, 2015, 64(9): 094102 DOI:10.7498/aps.64.094102 ( 0)
|
| [18] |
Rengarajan S R, Zawadzki M S and Hodges R E. Waveguide-slot array antenna designs for low-average-sidelobe specifications[J].
IEEE Antennas and Propagation Magazine, 2010, 52(6): 89-98. DOI:10.1109/MAP.2010.5723227 ( 0)
|
| [19] |
Cullens E D, Ranzani L, Vanhille K J, et al.. Micro-fabricated 130–180 GHz frequency scanning waveguide arrays[J].
IEEE Transactions on Antennas and Propagation, 2012, 60(8): 3647-3654. DOI:10.1109/TAP.2012.2201089 ( 0)
|
| [20] |
Ranzani L, Kuester D, Vanhille K J, et al.. G-Band micro-fabricated frequency-steered arrays with 2°/GHz beam steering
[J].
IEEE Transactions on Terahertz Science and Technology, 2013, 3(5): 566-573. DOI:10.1109/TTHZ.2013.2271381 ( 0)
|
| [21] |
Melezhik P N, Razskazovskiy V B, Reznichenko N G, et al.. High-efficiency millimeter wave coherent radar for airport surface movement monitoring and control[C]. Proceedings of the 8th European Radar Conference, Manchester, UK, 2011: 361–364.
( 0)
|
| [22] |
Pollard B D and Sadowy G. Next generation millimeter-wave radar forsafe planetary landing[C]. The 2005 IEEE Aerospace Conference, Big Sky, MT, USA, 2005: 1213–1219.
( 0)
|
| [23] |
Martin C A, Clark S E, Lovberg J A, et al.. Real-time wide-field-of-view passive millimeter-wave imaging[C]. Proceedings of SPIE Infrared and Passive Millimeter-Wave Imaging Systems: Design, Analysis, Modeling, and Testing, Orlando, FL, 2002: 341–349.
( 0)
|
| [24] |
Yang S T and Ling H. Application of a microstrip leaky wave antenna for range-azimuth tracking of humans[J].
IEEE Geoscience and Remote Sensing Letters, 2013, 10(6): 1384-1388. DOI:10.1109/LGRS.2013.2243401 ( 0)
|
| [25] |
Geibig T, Shoykhetbrod A, Hommes A, et al.. Compact 3D imaging radar based on FMCW driven frequency-scanning antennas[C]. Proceedings of 2016 IEEE Radar Conference, Philadelphia, PA, USA, 2016: 1–5.
( 0)
|
| [26] |
Hosseininejad S E and Komjani N. Optimum design of traveling-wave SIW slot array antennas[J].
IEEE Transactions on Antennas and Propagation, 2013, 61(4): 1971-1975. DOI:10.1109/TAP.2012.2233704 ( 0)
|
| [27] |
Robinson J and Rahmat-Samii Y. Particle swarm optimization in electromagnetics[J].
IEEE Transactions on Antennas and Propagation, 2004, 52(2): 397-407. DOI:10.1109/TAP.2004.823969 ( 0)
|



0)